Der Film "Andrej Rublëv" von Andrej Tarkovskij
Eine Reflexion unter Einbeziehung filmtheoretischer und -geschichtlicher Aspekte
Diplomarbeit zur Erlangung des Magistergrades der Philosophie an der Grund- und Integrativwissenschaftlichen Fakultät der Universität Wien
Eingereicht von Michaela M. Kastinger-Haslinger
Wien, Jänner 1998
$Date: 2000/02/05 17:43:17 $ $Revision: 1.5 $
Inhaltsverzeichnis
- Vorwort
- Film als Untersuchungsgegenstand
- Methodische Überlegungen
- ANDREJ TARKOVSKIJ im Spiegel seiner Filme und theoretischen Schriften
- Andrej Rublëv- remythisierte Wirklichkeit
- Anhang 1: Einstellungsprotokoll zum Film Andrej Rublëv
- Anhang 2: Zeitachse zum Film Andrej Rublëv
- Anhang 3: Zeitachse der Schlußsequenz (Ikonen)
- Anhang 4: Andrej Rublëv- Handlungsabriß
- Anhang 5: Filmographie
- Bibliographie
1. Vorwort
[0] Als ich vor Jahren das erste Mal einen Film des russischen Regisseurs ANDREJ TARKOVSKIJ sah, beeindruckte mich dessen eigenwilliger und komplexer Stil außerordentlich. Hier fand ich eine eigenständige, unverbrauchte Ausdrucksweise, deren Konnotationsfeld jenes der Mehrheit der Filme bei weitem übersteigt und nicht allzu schnell ein fragwürdig klares Spiegelbild der Wirklichkeit entstehen läßt. Mit dieser Arbeit soll nun der Versuch unternommen werden, anhand eines speziellen Films, nämlich Andrej Rublëv (UdSSR 1966 bzw. 1971), der Vieldimensionalität seiner "Filmsprache" und den darin implizierten Aussagen nachzuspüren.
[1] Da ich mich mit meinem Analyseinteresse in einer bereits "bewohnten" Landschaft befinde, werde ich zu Beginn einige theoretische Positionen hinsichtlich Film im allgemeinen skizzieren. Ich möchte damit auch jene Pluralität in den Blick bekommen, die den im Laufe der Zeit unreflektiert erworbenen "Filmblick" relativiert und neue Aspekte zum Tragen kommen läßt. Diese Vorarbeit stellt weiters die Voraussetzung dar, die Ziele und Probleme der anschließend dargestellten Methoden der Filmanalyse genauer umreißen zu können, da jede Vorgehensweise schon eine bestimmte Sicht von Film impliziert. Nach dieser theoretischen Abklärung sollen das film- und zeitgeschichtliche Umfeld des Films Andrej Rublëv, seine Produktionsgeschichte sowie der Regisseur ANDREJ TARKOVSKIJ und seine theoretischen Positionen näher betrachtet werden. In der Beschäftigung mit dem Film sollen schließlich die erarbeiteten Zusammenhänge eingebracht und interpretatorisch fruchtbar gemacht werden.
[2] Dabei bin ich mir über die Grenzen dieser Untersuchung durchaus im klaren bzw. beschränke mich bewußt auf bestimmte Zugänge. Gerade bei einer "nichtvereinnahmenden" Beschäftigung mit Film, wie sie hier angestrebt wird, verbleibt - auch nach intensiver Auseinandersetzung - ein Moment der Offenheit für immer neue Wahrnehmung und Interpretation, da er sich in seiner Komplexität völliger Erfaßbarkeit entzieht. Die angestellten Reflexionen sollen vielmehr der Auslöser für weiterführende Diskussionen über das Filmschaffen TARKOVSKIJs sein.
[3] Ein weiterer Punkt, der Filmbetrachtung immer unabgeschlossen hält, ist die jedem Menschen eigene Wahrnehmung. Für die Arbeit ergibt sich daraus die Aufgabe, in der Vorgehensweise ein Höchstmaß an bewußtgemachter Wahrnehmung anzustreben.1 Denn Filmanalyse muß kommunikabel sein - sonst sind Diskussion und Auseinandersetzung unmöglich bzw. ist Filmanalyse und -interpretation nur Selbstzweck. Um ein bestimmtes Ausmaß an am Film objektiv feststellbaren Daten zu erhalten, wurde ein Einstellungsprotokoll erarbeitet sowie eine graphisch umgesetzte Zeitachse aufgestellt. Für die detaillierte Analyse der Schlußsequenz wird im Anhang 3 eine zusätzliche Aufschlüsselung angeführt.
[4] Trotz der genauen Aufarbeitung im Einstellungsprotokoll zeigten sich bei jedem neuerlichen Durchdenken des Films neue Aspekte und Zusammenhänge, die den Blick veränderten und schon Entdecktes relativierten. Meines Erachtens spricht dies für die Gedankenvielfalt und Differenziertheit, die in Andrej Rublëv steckt, und die zumindest teilweise aufzudecken ich mir vorgenommen habe.
2. Film als Untersuchungsgegenstand
[5] Die Arbeiten, die Film theoretisch zu erfassen suchen, sind bemerkenswert vielfältig und unterschiedlich, was in einer kurzen Darstellung natürlich starke Vereinfachungen zur Folge hat. Dennoch sollen einige besonders markante Positionen umrissen werden, um darzulegen, welch mannigfache Zugänge es gibt und in welcher "Landschaft" sich diese Arbeit bewegt. Daß es bereits - oder: gerade auch - in den "Anfangsjahren" schwer war, über Film angemessen nachzudenken, drückt GEORG LUKÁCS in seinem Aufsatz Gedanken zu einer Ästhetik des Kinos (1913) treffend aus:
Wir kommen aus dem Zustand der Begriffsverwirrungen nie heraus: etwas Neues und Schönes ist in unseren Tagen entstanden, doch statt es so zu nehmen, wie es ist, will man es mit allen möglichen Mitteln in alte, unpassende Kategorien einordnen, es seines wahren Sinnes und Wertes entkleiden. (...) Daß aber eine neue Schönheit eben eine Schönheit ist, daß ihr Bestimmen und Bewerten der Ästhetik zukommt, daran denken heute nur die wenigsten.2
[6] In etlichen Aufarbeitungen der Theoriegeschichte des Films wird die Frage nach dem Verhältnis zwischen Film und Wirklichkeit als zentral für filmtheoretische und -praktische Überlegungen gesehen und somit als simplifizierendes Einteilungskriterium verwendet. So gliedert z.B. JAMES MONACO in seinem weit verbreiteten Buch Film verstehen3 die früheren Ansätze grob gesprochen in zwei Gruppen: einerseits in den Realismus, in dem die strenge Reproduktion der Realität durch den Film angestrebt wird, und andererseits in den Expressionismus, bei dem die Möglichkeiten der Manipulation der Wirklichkeit durch den Künstler im Vordergrund stehen. Diese Unterscheidung wird gemeinhin bereits auf die "Filmpioniere" Gebrüder LUMIÈRE, denen es vor allem um die "rohe Realität" ging, und MÉLIÉS, den anscheinend die Gestaltung des Rohmaterials mehr faszinierte, zurückgeführt.4
[7] Mit dieser Dichotomie sind wesentlich Fragen hinsichtlich der Funktionen und Fähigkeiten von Film verbunden. Denn je nachdem, ob sozusagen das "Rohmaterial" im Vordergrund steht oder die Macht des Filmemachers, das Rohmaterial zu verändern, ergeben sich andere Zielsetzungen und Wertungskategorien. Grundsätzlich geht es dabei eigentlich um den Begriff von Kunst und ihrer Funktion, sowie das Problem der Manipulation bzw. dem Grad ihrer Bewußtmachung, der von vorgeblich authentischem, sozusagen "realistischem" Vorgehen und dem Einsatz verschiedenster "Mittel" an sich unabhängig ist ("Dokumentarmaterial" kann bekanntermaßen extrem verfälschend eingesetzt werden, wie auch stark "stilisiertes" Material eine reale Situation manchmal treffend einzufangen vermag).
[8] RUDOLF ARNHEIM fällt in Film als Kunst ein klares Urteil: Für ihn ergibt sich der Kunstcharakter des Films direkt aus den ausgeschöpften Möglichkeiten der Manipulation der Wirklichkeit durch den Künstler. Der Umstand, daß es damals außerdem darum ging, dem Film aus dem Ambiente einer Jahrmarktattraktion hin zu einer künstlerischen Identität zu verhelfen, darf dabei nicht vergessen werden. Auch aus dieser Motivation heraus plädiert er für eine "gesteigerte" Wirklichkeitsdarstellung in der Kunst:
Die Möglichkeit, daß mit der Filmkamera Kunst gemacht werden kann, ist also (...) Unterschieden zwischen Filmbild und Wirklichkeit zu danken.5
Es ist nicht dasselbe, ob wir einen Vorgang in Wirklichkeit oder im Kino miterleben. Die Filmhandlung muß dem Zuschauer alles Wesentliche des Vorgangs zeigen und muß alles Überflüssige weglassen. (...) zur Form eines Kunstwerks gehört, daß es alles Wesentliche und nichts Überflüssiges enthalte.6
[9] Die Darstellung bestimmter Themen tritt zurück, wohingegen das Moment des scheinbar Zeitlosen und Allgemeinen in den Vordergrund rückt. Damit ordnet sich ARNHEIM für WOLFGANG BECKER7 in die Tradition bürgerlicher Kunst und Ästhetik ein, da sie nicht als zum unmittelbaren Gebrauch geeignet gesehen wird, sondern einen Wert an sich darstellt.
[10] Die russischen Expressionisten bzw. Formalisten, die sich aus dem Legitimationsdruck befreiten, wollten ebenfalls Realität nicht reproduzieren, sondern diese im Prozeß des Films verändern. Begründet war dies nicht in der künstlerischen Selbstdarstellung, sondern in der Komplexität und Vielschichtigkeit der Wirklichkeit selbst. Grundlegendes Formprinzip des frühen Sowjetkinos wurde die Montage. Diese erlaubt es nach VSEVOLOD I. PUDOVKIN, einen künstlerisch darstellbaren Verweis auf die vielfältigen Zusammenhänge menschlicher Lebenswirklichkeit zu schaffen. Dies gelingt ihr aber nur, wenn sie ihre Aufgabe wahrnimmt, die Erzählung zu unterstützen und nicht, sie zu verändern.8 Demgegenüber zeigt sich bei SERGEJ M. EISENSTEIN die Vorliebe für eine realitätsverzerrende Montage mit dem Ziel, dem Zuschauer ein "neues Sehen" zu ermöglichen: "Die Behauptung nämlich, das Wesen des Films bestehe einzig und allein in der Demonstration des Alltags, muß angezweifelt werden."9 Er verstand die Montage, das "stärkste Kompositionsmittel zur Verwirklichung des Sujets"10, als Idee, neue Realitäten zu schaffen und nicht die Erzählung, die alte Wirklichkeit der Erfahrung zu unterstützen. Die bewußt antiillusionistische Fragmentierung von Raum, Zeit und Perzeption durch die Montage sollte den Zuschauer zu aktiver, kritischer Rezeption anstacheln.
[11] Der filmische Realismus hingegen, dessen theoretische Entwicklung mit den Arbeiten SIEGFRIED KRACAUERs in untrennbarem Zusammenhang steht, zeichnet sich aus durch die Ausrichtung auf die "äußere Realität", ohne sich darin zu erschöpfen. Gemäß KRACAUER läßt der Film sein Rohmaterial mehr oder weniger intakt, bzw. "was an Kunst in Filme eingeht, entspringt daher der Fähigkeit ihrer Schöpfer, im Buch der Natur zu Lesen".11 Dabei geht es ihm nicht um einen platten Dokumentarismus, sondern um eine Ästhetik des Realen. Diese fordert nur einen geringen Eingriff des Künstlers in die Realität vor der Kamera. Nur so vermag der Film sich dem "wirklichen Leben" anzunähern. Für das, was dabei herauskommt, die "Kamera-Realität", fordert er Genauigkeit und absolute Wahrhaftigkeit.12 Somit kann in Filmen die Realität adäquat zum Ausdruck kommen, sofern die Vorgangsweise richtigerweise von "unten", d.h. der Materie, nach "oben" erfolgt:
Wenn sie (die Filme, d. V.) dem Medium gemäß sind, werden sie nicht von einer vorgefaßten Idee zur materiellen Welt herabsteigen, um diese Idee zu erhärten; umgekehrt, sie beginnen damit, physische Gegebenheiten auszukundschaften, und arbeiten sich dann in der von ihnen gewiesenen Richtung nach oben, zu irgendeinem Problem oder Glauben hin.13
[12] Jedoch kann eine bestimmte Zweckdienlichkeit nicht die auszeichnende Eigenheit von Filmen ausmachen, womit er sich gegen die Position BÉLA BALÀZS´ wendet:
Béla Balàzs´ These, das Kino sei nur dann wirklich Kino, wenn es revolutionären Zwecken diene, ist so unhaltbar, wie es die ihr verwandten Ansichten der Neorealisten und anderer Gruppen sind, die eine enge Beziehung des Mediums zum Sozialismus oder Kollektivismus postulieren.14
[13] Für BALÀZS hat nämlich das Medium Film die Fähigkeit, Wirklichkeit entlarvend darzustellen und damit auf eine Entwicklung hin zu einem gerechteren gesellschaftlichen Zustand zu wirken. Und insofern der Film seinem Wesen entspricht, dient er dieser Aufgabe und ist daher revolutionär:
Der Film ist die Kunst des Sehens. Seine innerste Tendenz drängt also zur Enthüllung und Entlarvung. Trotzdem er das gewaltigste Blendwerk liefert, ist er seinem Wesen nach die Kunst der offenen Augen. Wird auch gerade sein Realismus zeitweilig zur ideologischen Flucht vor der Wirklichkeit, so wirkt Realismus letzten Endes doch immer revolutionär. Im Kampfe um die Wahrheit bleibt das Aufzeigen der Tatsachen die entscheidende Waffe. Im Kampfe um den Menschen ist die beste Propaganda das Aufzeigen des Menschen.15
[14] So schlägt sich auch die Realismus-Theorie auf die Seite der Kunst, aber der "wahren Kunst". Es wird versucht, die für die idealistische Position konstitutive Trennung zwischen Kunst und Leben, zwischen dem Schönen und dem Nützlichen - wenn nicht aufzuheben - so doch zu verringern. Dennoch kann BALÀZS nicht einfach dem Realismus zugezählt werden:
Gewiß ist das Bedürfnis nach Wirklichkeit ursprünglich aus einer Auflehnung gegen die verlogene Romantik entstanden. Aber Einzelwirklichkeiten ergeben noch keine Wirklichkeit, Tatsachen noch keine Wahrheit. Hingegen kann die Bedeutung der Zusammenhänge, der Sinn der Wirklichkeit, auch in einem Märchen enthalten sein. (...) Dieselbe Kritik, die von dem Film unbedingten Naturalismus fordert, kann nicht umhin, sich für Chaplin zu begeistern.16
[15] Er erkannte außerdem, daß die ökonomische Basis des Films ausschlaggebenden Einfluß auf seine Gestaltung hat und der Film insgesamt in einem engen Zusammenhang mit verschiedensten kulturellen und gesellschaftlichen Kräften steht. Die unterschiedlichen Zuordnungen BALÀZS zu einer bestimmten Richtung der Filmtheorie sind bezeichnend für die Diffusität bzw. Komplexität - je nach Sichtweise - der verschiedenen Theorien und ihrer Einordnung. J. DUDLEY ANDREW zum Beispiel ordnet ihn in seiner vielzitierten Einführung The Major Film Theories17 der "formative tradition" zu und stellt ihn in die Linie der russischen Formalisten (auch wenn er ihm ein gewisses Angezogen-Sein durch "the natural" zugesteht). In deutschsprachigen Publikationen hingegen wird BALÀZS häufig entweder als "Filmtheoretiker des Realismus"18 oder als jener definiert, der expressionistische mit realistischen Positionen zu verbinden suchte19. Für sich genommen hat dies für diese Arbeit natürlich keine weiterführende Bedeutung, es wirft aber ein bezeichnendes Licht auf die verschlungenen, widersprüchlichen und schwer einzuordnenden Gedankenbahnen der Filmtheorie.
[16] Ebenso wie von BALÀZS (und auch KRACAUER) wird von ANDRÉ BAZIN die Polarität von Naturalismus, äußerster Zurückhaltung des Filmemachers einerseits und Anwendung der Komplexität der Filmtechnik, d.h. extrem gestaltetem Eingriff des Filmemachers andererseits hervorgehoben. Auch ihm geht es um die Aufdeckung des "Wirklichen", und er sieht einen ähnlichen Realismus als Ideal des Films. Doch setzt er sich von BALÁZS´ EISENSTEIN nachempfundener Idee vom vorgegebenen Sinn ab: BAZIN fordert in Bewunderung Rossellinis, "dem Kino den Sinn für die Vieldeutigkeit der Wirklichkeit zurückzugeben"20. Die Mise en Scène, womit er im besonderen Tiefenschärfe und Plansequenzen meint, ist die wesentliche Technik, dies herbeizuführen. Zu ihren Auswirkungen stellt er fest:
1. daß die Tiefenschärfe den Zuschauer in eine Beziehung zum Bild setzt, die enger ist als seine Beziehung zur Realität. Man kann deshalb zu Recht sagen, daß selbst unabhängig vom Inhalt des Bildes dessen Struktur realistischer ist;
2. daß sie folglich eine aktivere Geisteshaltung impliziert und sogar eine positive Mitwirkung des Zuschauers an der Regie. (...) Von der Aufmerksamkeit des Zuschauers und seinem Wollen hängt es teilweise ab, ob das Bild einen Sinn bekommt.
3. (...) die Montage widerspricht grundsätzlich und ihrer Natur nach der Vieldeutigkeit. (...)
Die Tiefenschärfe dagegen führt die Vieldeutigkeit in der Bildstruktur wieder ein, wenn nicht als Notwendigkeit (...), so doch als Möglichkeit.21
[17] BAZIN setzt damit der Montage der Formalisten die Mise en Scène entgegen, die die Form des Films aufs engste mit räumlichen Beziehungen verknüpft.
[18] WOLFGANG BECKER wirft BAZIN - ebenso wie BALÀZS und KRACAUER - vor, daß der Film für ihn zum Vehikel der jeweiligen "Wahrheit" werde, die er zu transportieren hätte.22 Wenn wie bei BALÀZS die Wahrheit als "Geist" angesehen wird, darf der Film zur Vermittlung der Wirklichkeit die Vielfalt filmästhetischer Mittel und letztlich somit gegenstandslosere, abstraktere Formen benutzen; wird hingegen die Wahrheit "materialistisch" verstanden - wie er dies bei BAZIN und KRACAUER konstatiert -, ist die objektive Realität möglichst unberührt zu vermitteln. "Die im Laufe der Geschichte erfolgte Entlassung der Kunst aus den direkten Aufgaben der Gesellschaft entgeht allen diesen Realismusauffassungen."23
[19] Auch wenn der Kunstbegriff der oben genannten Theoretiker zu diskutieren ist, bleibt doch ihr Einfluß unbestritten. BAZIN war als Mitbegründer der Zeitschrift Cahiers du Cinéma auch Ausgangspunkt für die Entwicklung der Nouvelle Vague und die beginnende semiologische Beschäftigung mit dem Medium Film in den sechziger Jahren. Einer ihrer hervorstechendsten Vertreter ist JEAN-LUC GODARD, der Mitte der fünfziger Jahre eine Theorie der Montage entwickelte, in der die Thesen von der Mise en Scène als realistisches und der Montage als expressionistisches Stilmittel in einer dialektischen Synthese zusammengefaßt wurden. Seine Überlegungen machten zweierlei klar: zunächst, daß die Mise en Scène genauso unaufrichtig wie die Montage sein kann, wenn ein Regisseur sie benutzt, um die Wirklichkeit zu verzerren. Zum zweiten, daß die Montage nicht notwendigerweise der Beweis für Unaufrichtigkeit des Filmemachers ist. Mise en Scène und Montage können als Organisationsprinzipien gesehen werden, bei denen die Mise en Scène im Raum tut, was die Montage in der Zeit macht. Die Montage hängt von der Mise en Scène ab und umgekehrt. Geht eine Filmfigur durch die Tür in einen anderen Raum, so wird meist durch einen Schnitt dieser Ortswechsel (formal) vollzogen. Weder die Mise en Scène, wie sie von BAZIN als Ausdrucksmittel realistischer Filmkunst favorisiert wurde, noch EISENSTEINs Montage-Theorie haben so eine vorrangige Stellung.
(...) Godard hat die Grenzen der Wirklichkeit neu definiert, so daß wir uns nun nicht mehr auf die plastische Realität zentrieren (die konkrete Beziehung des Filmemachers zu seinem Rohmaterial) und auch nicht auf die psychologische Realität (die manipulative Beziehung des Filmemachers zum Publikum), sondern auf die intellektuelle Realität (die dialektische oder kommunikative Beziehung zum Publikum).24
[20] GODARD versuchte nicht nur theoretisch, sondern auch mittels seiner Filmen auszudrücken, daß die Filmsprache durch ihre manipulative Verwendung mißbraucht wurde und kein Film die Wirklichkeit genau wiedergeben kann. Ähnlich wie EISENSTEIN, der glaubte, sich der Realität nur durch die Dekonstruktion des Realismus annähern zu können, schlägt auch er - sich auf ROLAND BARTHES´ "semioclasme" berufend - die "wiederbelebende Zerstörung der Zeichen"25 vor.
[21] Neben GODARD gehörten u.a. FRANCOIS TRUFFAUT, JACQUES RIVETTE, ERIC ROHMER und CLAUDE CHABROL jenem Kritikerkreis im Umfeld der Cahiers du Cinéma an, die unter der Bezeichnung der "politique d´auters" eine kritische Theorie der Praxis formulierten. BORDWELL26 ist der Auffassung, daß in einem weiteren Zusammenhang diese Theorie eine Unterbrechung etlicher Schlüsselthemen des Films, die die vorangegangenen fünfzig Jahre leitend waren, zum Ausdruck bringt; und zwar in bezug auf die Betrachtung des Films als einer neuen Kunst und einer für die moderne Massengesellschaft charakteristischen politischen und kulturellen Kraft. Von BAZIN und den Kritikern der Cahiers du cinéma wurde sowohl mit den Argumenten der Ästhetik der zwanziger Jahre hinsichtlich der Besonderheit des Mediums gebrochen als auch mit der politischen Linksorientierung des Großteils der Filmkultur seit den späten Zwanzigern.
[22] Nachdem GODARD seine frühere Synthese von Montage und Mise en Scène in ökonomischen Begriffen überarbeitet hat, sieht er Film nicht als ein Ästhetiksystem, sondern als eine ökonomische, wahrnehmende und politische Struktur, in der die Beziehung zwischen Produzent und Konsument die Form der Filmerfahrung bestimmen. Insofern schon BALÁZS bewußt war, daß die Ethik und Politik des Films seine Natur bestimmen, kann die Ansicht BORDWELLs nicht pauschal als zutreffend angesehen werden. In den dreißiger und vierziger Jahren haben dann WALTER BENJAMIN, THEODOR W. ADORNO und MAX HORKHEIMER Film weiter in diesem Kontext untersucht. BENJAMIN stellt die technische Reproduzierbarkeit und den damit einhergehenden Verlust des Auratischen als wesentliche Eigenheiten von Photographie und Film heraus.27 Denn auch die perfekteste Reproduktion zerstört das Hier und Jetzt des Kunstwerks, sein "einmaliges" Dasein (d.h. die originäre Bindung eines Kunstwerks an einen bestimmten Ort und einen bestimmten Besitzer).
Der einzigartige Wert des "echten" Kunstwerks hat seine Fundierung im Ritual, in dem es seinen originären und ersten Gebrauchswert hatte.28
Die Reproduktionstechnik, so ließe sich allgemein formulieren, löst das Reproduzierte aus dem Bereich der Tradition ab.29
[23] Aus der Befreiung des Kunstwerks von der Inanspruchnahme durch den Kult und dessen Nachfolgeerscheinungen resultiert aber nicht nur dessen Verlassen des religiösen Raums, sondern auch ein Hineintreten in den politisch besetzten Raum.
In dem Augenblick aber, da der Maßstab der Echtheit an der Kunstproduktion versagt, hat sich auch die gesamte soziale Funktion der Kunst umgewälzt. An die Stelle ihrer Fundierung aufs Ritual tritt ihre Fundierung auf eine andere Praxis: nämlich ihre Fundierung auf Politik.30
[24] Darin sah BENJAMIN ungeheure Möglichkeiten der Ausgestaltung von Demokratie, insofern die Politisierung der Kunst nicht in eine Ästhetisierung der Politik bzw. in Depolitisierung und Manipulation umschlägt. Eine solche Einbettung der Überlegungen in eine allgemeine kritische Gesellschaftstheorie erfolgte auch bei HORKHEIMER und ADORNO. Sie betrachten Film als eine gesellschaftliche Einrichtung, d.h. als gesellschaftlich produziert, historisch entstanden und damit auch veränderbar. Gesellschaftliche Wahrheit wird immer zugleich auch als ästhetische Qualität verstanden.
[25] Neben dieser "Kritischen Theorie" entstand in den Sechzigern eine von der strukturalistischen Literaturwissenschaft ausgehende, semiologische Filmforschung. Deren primäre Intention eine umfassende und spezifisch wissenschaftliche Beschäftigung mit dem Film war, die sich gegen das generalisierende Denken in der Filmtheorie wandte. Dementsprechend versteht sie ihre Aufgabe als "nothing more nor less than the exact description of the processes of signification in the cinema".31
[26] Außer CHRISTIAN METZ haben sich u.a. auch UMBERTO ECO, EMILIO GARRONI und ROLAND BARTHES mit semiologischen Fragen des Films auseinandergesetzt. METZ unterteilt, die Kategorien von GILBERT COHEN-SÉAT erweiternd, den Forschungsgegenstand Film in zwei grundlegende Bereiche: Das "fait cinematographique" und das "fait filmique". Letzteres umfaßt all jenes, das auf den Film einwirkt (Ökonomie, Technologie, Biographisches etc.) bzw. aus ihm resultiert (Publikumssoziologie, Rezeptionsforschung, Starkult oder Zensurmaßnahmen etc.), während "das Kinematographische in unserem Sinne (...) Untersuchungsgegenstand für den Semiologen [ist], denn es besteht aus einem Komplex von Codes, die in einem Diskurs kombiniert werden".32 Hier wird schon ein grundsätzliches Prinzip semiologischer Tätigkeit - Trennung von Code und Nachricht - in Abgrenzung zur allgemein üblichen Diskussion über Film angedeutet. Oder wie es auch ANDREW formuliert:
Most film discussions and film criticism concentrate on what a film says (on its messages); semiotics aims at the laws governing those messages, at the possibility of filmic speech itself. It does not want to repeat what the text (the film) says; rather it hopes to isolate all the logical mechanisms which permit the raw material to speak such messages.33
[27] METZ wählt eine Vorgangsweise der Dekonstruktion und Rekonstruktion der Bedeutungen bzw. Codes, die sich nach den Kriterien ihrer filmischen Spezifität, nach ihrem generellen oder speziellen Auftreten in Filmen sowie ihrer Reduzierbarkeit auf weitere Subcodes aufgliedern lassen. Die Montage etwa ist eine spezifisch zum Medium Film gehörige Technik, während die Mise en Scène auch im Theater ihre Anwendung findet und die Beleuchtung oder Erzählung dem Feld der Allgemeinkultur zuzurechnen sind.
"Generelle kinematographische Codes" sollen also jene (vom Forscher zu konstruierenden) systematischen Instanzen genannt werden, denen die Eigenschaften zugerechnet werden, die nicht allein die Filmkunst im eigentlichen Sinne charakterisieren, sondern darüber hinaus allen Filmen (tatsächlich oder virtuell) gemeinsam sind.
Gegenüber diesen allgemeinen kinematographischen Codes ordnen die "besonderen kinematographischen Codes " die Bedeutungseigenschaften, die nur in bestimmten Klassen von Filmen auftreten (= insofern sind sie besondere), die sich aber dennoch nur in Filmen zeigen (= insofern sind sie kinematographisch);34
[28] Genau diese "besonderen kinematographischen Codes" sind es auch, die nicht nur die Identifikation und Zuordnung eines Stoffes zu einem bestimmten Genre (z.B. Western), sondern auch die mediale Differenzierung etwa des Films zu einer schriftlichen oder musikalischen Aufzeichnungsquelle (z.B. des Westernstoffes) ermöglichen. Das filmische Genre Western verwendet so spezielle kinematographische Codes, die es als solches kennzeichnet und abgrenzt gegenüber anderen Genres. Das gleiche gilt auch, noch differenzierter, auf der Ebene der einzelnen Regisseure ("auteurs"), deren Stimmen sich, wie weiter oben bemerkt, durch ihre Verwendung spezifisch kinematographischer Codes unterscheiden. Um schließlich die Überleitung zu den Subcodes zu finden, wählt METZ vorerst die Analogie des Subgenres Italo-Western zum Western-Genre allgemein. Diese Parallelisierung läßt sich nun auch auf die einzelnen, den Film konstituierenden Codes (spezifisch-filmisch oder nicht spezifisch-filmisch) übertragen. Ein Subcode zur Montage (spezifisch-filmisch) wäre z.B. die Assoziations-Montage, die sich übrigens wieder in weitere Subcodes einteilen läßt.
[29] Jedoch stehen die einzelnen Kategorien von Codes nicht isoliert nebeneinander - einzelne Mitteilungen werden im Film nicht allein für sich erfahren - , sondern in (un)mittelbarer Verbindung zueinander und überlagern sich teilweise mehrfach. Dieses bedeutungskonstituierende Überschneiden wird bei METZ in einer Kapitelüberschrift als "Vom Code zum System, von der Nachricht zum Text" tituliert.35 Text bzw. System organisieren die Nachrichten bzw. Codes nach syntagmatischen und paradigmatischen Achsen, nach den Möglichkeiten der Selektion bzw. Kombination ihrer Elemente. Das Syntagma bezieht sich auf die Syntax des Textes, d.h. auf das Nebeneinander einzelner Wörter bzw. Einstellungen, während das Paradigma die Auswahl einzelner Elemente, Codes bzw. Gestaltungsmittel aus ihrem inhärenten Textrepertoire zum Gegenstand hat. In der Beobachtung möglicher syntagmatischer und paradigmatischer Regelmäßigkeiten, die sich durch die Zergliederung des Textes (Films) ergeben, offenbart sich seine Struktur, aufgrund der festgestellt werden kann, wie sich Bedeutungen im Film konstituieren, wie sie zu verbindlichen Codes des Verstehens werden. Wichtig dabei ist, daß jeder Code seine Bedeutung allein schon aus seiner Existenz bekommt, d.h. dadurch daß ein anderer an seiner Stelle nicht existiert, nicht gewählt wurde. So erklären sich aus Sicht der Filmsemiotik unter anderem auch die unterschiedlichen Strömungen der Filmtheorie, die eben jeweils ganz bestimmte Selektions- und Kombinationsmechanismen zum Zweck einer diesem Vorgehen entsprechenden Botschaft in den Vordergrund stellten.
[30] Manche Kritiker (wie z.B. PROKOP36) meinen jedoch, daß in den Versuchen der mediensemiotischen Ansätze das sprachsemiotische Interesse an der grundlegenden grammatikalischen Struktur ("Zeichengrammatik") meist auf ein Interesse an Medientechnik (Filmschnitte etc.) und am Herausarbeiten konventioneller Bedeutungen oder Autorenintentionen reduziert werde. Und NORBERT SCHÖLL kommt zu dem Schluß, daß "reine", konsequente semiotische Analyse zumindest ein Gefühl von Unbefriedigtheit zurückläßt, da der Film sich nicht in einem System der darin angewandten Mittel erschöpft.37
[31] Abschließend bleibt aber anzumerken, daß der semiologische Zugang zu Filmen bis zu einem gewissen Grad durchaus eine nützliche Grundlage in der wissenschaftlich fundierten Veranschaulichung der formalen Bedeutungskonstitution und Funktionsweise des Films bietet. Die eigentliche Interpretation der Struktur und letztlich des Films als Gesamtphänomen bedarf aber zusätzlicher externer Methoden biographischer, historiographischer, soziologischer, psychologischer und genrespezifischer Ausrichtung.38
[32] In weiterer Folge bildete sich in den siebziger und achtziger Jahren im Anschluß an oder in kritischer Auseinandersetzung mit METZ eine heterogen bleibende Schule von Filmsemiotikern heraus, deren Vertreter mit Arbeiten hervorgetreten sind, die die METZschen Vorgaben mit unterschiedlichem Erfolg weiterzuentwickeln suchten. Von einer Renaissance speziell der "Filmtheorie" in den Achtzigern und Neunzigern im deutschen Sprachraum kann nach der Ansicht von ALBERSMEIER39 jedenfalls nicht gesprochen werden. In Frankreich bildet JEAN MITRYs Streitschrift La sémiologie en question. Langage et cinéma (1987)40 den vorläufigen Abschluß einer Kontroverse zwischen "alter" und "neuer" Filmtheorie, an deren Ende die Beantwortung der Frage, welche Fortschritte denn die Filmsemiotik in der wissenschaftlichen Auseinandersetzung mit dem Film gebracht habe, die Dimension eines Glaubenskrieges annahm. MITRY hielt METZ vor, seine "sémiologie du film" könne zwar mit ihrer der (wort- und schriftsprachlich orientierten) Linguistik entlehnten Begriffsbildung Filmstrukturen beschreiben, sei indes unfähig, deren Bedeutungen zu erklären und allgemein gültige Gesetzmäßigkeiten aufzuzeigen. Unbestreitbar bleibt allerdings der Erkenntnisschub, den die französische Filmsemiotik gerade auch außerhalb Frankreichs bewirkt hat - bis hinein in die stark verbreiteten Arbeiten amerikanischer Forscher (u.a. DAVID BORDWELL) zur Narrativik des Films.
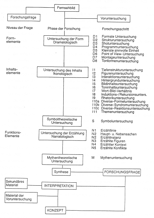
[33] STANLEY CAVELL relativiert diese Zugangsweise zum Film dahingehend, daß er Film nur als ganzen für lesbar hält.41 Die Filmsprache besitzt eine eigenständige Metaphorik, die sich nicht mit ausgebauten linguistischen Mitteln einlösen läßt. Sie ist auch keine Sprache, die dem Publikum erst beigebracht werden müßte, da Film auf Formen außerfilmischer Narrativität aufruht. Insofern ist er eine Massenkunst, in der das Versprechen von Kunst als etwas Allgemeines noch vorhanden ist. CAVELL ist sich aber auch dessen bewußt, daß das Kino als eine Mischung aus Probehandlung und Entlastung die Gefahr in sich birgt, daß die Deckbildästhetik die reale Welterfahrung zu überlagern beginnt. Dennoch liegt im Film ein großes Potential, das nicht im Abbilden von Realismus-Sequenzen besteht, sondern im Aufreißen von Denkräumen, in Anstößen zu Denkbildern.
[34] Die Relativierung linguistischer Mittel findet in abgewandelter Form ebenfalls bei GILLES DELEUZE statt, der in seinem Versuch der Klassifizierung der Bilder42 zwischen dem Bewegungs- und dem Zeit-Bild unterscheidet. Das Bewegungs-Bild findet seine charakteristische Verwirklichung im sogenannten Mainstream-Film, wohingegen das Zeit-Bild mit der Nouvelle Vague einsetzt. In letzterem geht es um die indirekte Präsentation des Nicht-Bewegten, die Dauer, die einbricht. Durch die Verknappung des Kaders, d.h. das gegenstandsärmere Bild, wird das Bild besser lesbar. Dieser Ansatz ist auf eine gewisse Weise, die später erörtert werden soll, hinsichtlich der Filme TARKOVSKIJs43 besonders interessant.
[35] Auch wenn es keine richtungweisende, einheitliche Theorie in früherem Sinne gab, so entwickelte sich im angloamerikanischen Raum in den siebziger Jahren dennoch ein abstraktes Gedankengebäude, das sich mehr oder weniger aus LACAN´scher Psychoanalyse, Strukturalismus bzw. Filmsemiotik, post-strukturalistischer Literaturtheorie und verschiedenen Varianten des althusserianischen Marxismus zusammensetzte. Damit entstand, was BORDWELL und CARROLL "Grand Theory"44 nennen und womit ein anscheinend unerläßlicher Rahmen geschaffen zu sein worden schien, in dem alle filmischen Phänomene - angefangen von den Aktivitäten des Zuschauers, der Struktur des Films, der Entwicklung von Filmtechnik und -industrie bis zu den sozialen und politischen Funktionen des Kinos - analysiert werden konnten. Es wurde sozusagen versucht, Filmstudien allgemeinen, umfassenden Schemata, die entwickelt wurden, um Gesellschaft, Sprache oder die Psyche zu erklären, unterzuordnen. Aber es gibt nach der Ansicht von BORDWELL und CARROLL nicht nur die Alternative zwischen LACAN und dem Zusammenstellen eines Filmverzeichnisses bzw. einem gedankenlosen, primitiven "Empirismus". Die Aufsätze im 1996 erschienen Buch Post-Theory zeigen, daß eine stichhaltige und gründliche Untersuchung möglich ist, ohne sich auf Grundsätze zu berufen, die vorgeblich als Grundlage einer angemessenen Reflexion über das Kino aufzustellen sind. Gerade in der Forschungsarbeit der letzten zehn Jahre sind für BORDWELL genügend Beispiele dafür vorhanden, daß die darin realisierte "Vorgangsweise auf mittlerer Ebene" ("middle-range inquiry")45, die mühelos von unmittelbar Einsichtigem zu allgemeineren Argumenten und Folgerungen schreitet, eine starke Konkurrenz zur "Grand Theory" darstellt. Eine solche schrittweise, problemorientierte Untersuchungsweise und Reflexion ist ebenso weit davon entfernt, einfach Daten zu sammeln, wie von den vergeistigten Spekulationen der "Grand Theory".
What is coming after Theory is not another Theory but theories and the activity of theorizing. A theory of film defines a problem within the domain of cinema (defined nondogmatically) and sets out to solve it through logical reflection, empirical research, or a combination of both. Theorizing is a commitment to using the best canons of inference and evidence available to answer the question posed. The standards ought to be those of the most stringent philosophical reasoning, historical argument, and sociological, economic, and critical analysis we can find, in film studies or elsewhere (even in science).46
[36] Dieser Ansicht - nämlich daß die passendsten und zielführendsten Umgangsweisen mit Film jeweils neu und adäquat zu wählen sind - möchte ich beipflichten.
[37] Die obige Darstellung ausgewählter Positionen sollte dazu dienen, verschiedene Zugänge zum Phänomen "Film" zu skizzieren und dessen theoretisch uneinholbare Vielschichtigkeit darzulegen. Damit ist aber nicht die Wahl einer bestimmten "Theorie" erfolgt, die nun auf den zu untersuchenden Film anzuwenden wäre. Vielmehr wird gerade auch in Anbetracht dieser vielfältigen Ansätze einsichtig, daß eine dem Gegenstand entsprechende Filmanalyse vor allem durch einen offenen, reflektierten "Dialog" mit dem jeweiligen Werk selbst entsteht.
3. Methodische Überlegungen
[38] Bewegte Bilder sind heute als Kulturform so allgemein verbreitet und akzeptiert, daß ihre Narrationsweisen und Inhalte oberflächlich zwar leicht nachvollzogen und verstanden werden können, ihre schematisierten und manipulativen Funktionsweisen, d.h. wie und warum diese wirksam werden, jedoch kaum bewußt sind. Und weil so selten einsichtig gemacht wird, wie Film zustande kommt, bleibt auch sein allgemeiner Charakter des Gemachtseins oft unbemerkt. Die Realität des Sehens verschmilzt so latent mit der Fiktionalität des Gesehenen. Sicherlich kann Filmanalyse ihren Gegenstand nicht erschöpfend beschreiben und muß einen unerklärbaren Rest respektieren; doch sie kann auf dem Weg der Bewußtmachung die scheinbare sinnliche Unmittelbarkeit des audiovisuellen Bildes als vermittelte und absichtsvoll gestaltete erkennbar und Suggestionen durchschaubar machen.
[39] In der vorangegangenen Darstellung verschiedener filmtheoretischer Überlegungen zeigte sich Film als extrem "'viel-dimensionales' Phänomen"47, das für eine adäquate Untersuchung die selbe Vieldimensionalität an Wissen und Methode verlangt.
[40] Insofern jede filmanalytische Methode eine bestimmte Auffassung darüber impliziert, was Film sei bzw. wie er funktioniere, setzen sich die angedeuteten Problemstellungen der Theorie in der Analyse fort. Der harschen Kritik von BECKER möchte ich mich aber nicht anschließen: "Die Theorien über den Film sind nicht minder kritikabel als die Filmanalysen. Davon gar, daß jede Theorie über einen Gegenstand dessen Analyse bedingt, kann keinerlei Rede sein."48 An der Forderung, daß die Brauchbarkeit einer Analyse immer erst durch die Untersuchung am Gegenstand zu überprüfen wäre, scheint mir nichts auszusetzen zu sein. Jedoch ist der Vorwurf zu pauschal, da viele Arbeiten mehr oder weniger überzeugende Beispiele ihrer Anwendbarkeit geben.
[41] Als wesentliche Stichworte und Leitbegriffe der gegenwärtigen Diskussion sieht HELMUT KREUZER "Protokoll und Transkript, Rekonstruktion und Dokumentation, Interpretation und Analyse, filmischer und kultureller Code, 'Regelpoetik' und mediengerechte Kreativität, Produktionsästhetik und Filmerlebnis, Ideologiekritik und radikaler Konstruktivismus, Einzel- und Gruppenanalyse, interdisziplinäres Teamwork und spezialisierte Fragestellung, Gefahr und Nutzen des Computers für die Beschreibung, Untersuchung und Veranschaulichung von Filmstrukturen (...)"49.
[42] Dieses breite Spektrum wird durch ein gemeinsames Wollen geeint, nämlich, "in der konkreten Untersuchung der Strukturen des einzelnen Produkts charakteristische Merkmale von Film (...) heraus[zu]arbeiten, auch neue Erkenntnisse [zu] sammeln und neue Dimensionen der filmischen (...) Ästhetik [zu] erschließen"50.
[43] In ähnlicher Weise wird die Zielsetzung der Filmanalyse bei mehreren Autoren und Autorinnen formuliert, z.B. bei ENGELHARD und SCHAUFELBERGER: "Die Filmanalyse als zentrales Element der Beschäftigung mit dem Film soll sowohl den Blick für das Detail als auch für die Zusammenhänge der filmischen Darstellung schärfen und damit das Verständnis des Films im ganzen fördern."51
[44] Dabei begründet die Filmanalyse keine selbständige Forschungsrichtung, sondern stellt nur eine spezielle Annäherungsweise dar. Nichtsdestoweniger hat sie immer wieder aufs Neue ihre eigenen Ansätze zu problematisieren, nicht zuletzt auch, um neue theoretische Konzepte und historiographische Erkenntnisse in die analytische Praxis einzubeziehen.
[45] Daß Filmtheorie und -analyse einander bedingen wurde bereits angesprochen, nicht jedoch inwiefern sie mit Filminterpretation und -kritik zusammenhängen bzw. sich von ihnen unterscheiden. MONACO erklärt ihr Verhältnis zueinander anhand einer Skala: Für ihn befindet sich die abstrakte Theorie am oberen Ende der Skala, die unten von einer Art von Filmkritik begrenzt wird, die ein Rezensent praktiziert. Dazwischen liegt das breite Gebiet von allgemeiner Kritik (auch Interpretation und Analyse) und Theorie.52 Ihm zufolge ist der praktische Aspekt der Kritik nicht nur die aktuelle Information über filmische Ereignisse, sondern auch die Anwendung und Überprüfung der Theorien, die sich mit der Frage auseinandersetzen, was Film sei. Zur systematischen Filmanalyse setzt ARNOLD SCHNÖTZINGER die Filmkritik dahingehend ab, daß sich die Kritik "mehr auf die Aussage und den Gehalt eines Films mit hermeneutischen Zugangsverfahren [konzentriert], ohne jedoch zugleich die formalen, wenn auch nicht streng empirisch überprüfbaren, Aspekte eines jeden Films zu ignorieren"53. Da ich aber nicht die "empirische" Methode als einzige Möglichkeit einer Filmanalyse sehe, erscheint mir die Hermeneutik als Unterscheidungsmerkmal nicht zutreffend. (Ich könnte eher zustimmen, wenn die Vorgehensweise der Filmkritik wie bei KANZOG als das "Prinzip der assoziativen Verknüpfung" bezeichnet werden würde.54) Vielmehr dürfte sich der wesentlichste Unterschied aus der Funktion und dem Umfang ergeben: Die Filmkritik steht im allgemeinen in einem stark journalistischen Kontext und hat meist nur einen begrenzten (Zeilen-)Raum zur Verfügung, wohingegen die Filmanalyse sich im wissenschaftlichen Kontext bewegt und meist mehr Zeit und Raum in Anspruch nehmen kann. Jedoch sind eindeutige Trennlinien schwer zu ziehen, was sich u.a. an folgendem Beispiel zeigt: KRACAUER, der gemeinhin zu den Filmtheoretikern gezählt wird, hat mit seiner "qualitativen Inhaltsanalyse" in den sechziger Jahren die Konzeption der Zeitschrift "Filmkritik" stark beeinflußt.55
[46] Daß die Unterscheidung von Filmanalyse und -interpretation noch schwieriger ist, zeigen u.a. die sich widersprechenden Aussagen von FAULSTICH und KANZOG. FAULSTICH definiert die Analyse als reflektierter und umfassender als die Interpretation, die im Grunde von jedem Zuschauer geleistet wird. Die "normale" Interpretation ist zwar unverzichtbarer Ausgangspunkt für die analytische Arbeit, bleibt jedoch bloß der Ausgangspunkt.56 KLAUS KANZOG hingegen unterscheidet innerhalb der "geordneten Rede über den 'Gegenstand Film'"57 vier Schritte auf dem Weg von der Beschreibung zur Interpretation (d.h. die Interpretation wird sozusagen als "krönender" Abschluß gesehen):
- Befund: die Notierung eines filmischen Sachverhaltes, wie er sich ohne zusätzliches Wissen aus der Filmbetrachtung formulieren läßt.
- Erläuterung: zusätzliche Informationen zum weiteren Verständnis des Sachverhalts werden eingebracht.
- Kommentar: Der Sachverhalt wird mit weiteren beobachteten Sachverhalten auf der Ebene des Films verknüpft. (Dieser Arbeitsschritt entspricht der Analyse.)
- Interpretation: Der Sachverhalt wird im Gesamtzusammenhang des Films, der Intention des Regisseurs und dessen Werkkontext gesehen, sowie mit weiteren Erkenntnissen aus anderen Kontexten des Films verbunden.
[47] Letztlich ist jedoch in der praktischen Arbeit mit und über Film eine streng definierte Trennung nicht erforderlich; besonders wenn man die Ansicht von ALBERSMEIER ernst nimmt, daß die besten Arbeiten aus den letzten anderthalb Jahrzehnten (es geht um den Zeitraum von 1980 bis 1995) "dem Bewußtsein von der Vernetzung filmtheoretischer, -analytischer, -historischer und -kritischer Ansätze (...) verpflichtet [sind]"58.
[48] Abgesehen von der unterschiedlichen Form der Aussageweise können auch einige differente Frageinteressen ausgemacht werden, die FAULSTICH als verschiedene methodische Zugriffsweisen beschreibt.59 Zunächst führt er den eher allgemeinen strukturalistischen Zugriff an, der für ihn noch keine unmittelbar sinnkonstituierende Arbeit leistet, sondern eher als Analyseinstrument dient. Davon setzt er die biographische, literar- oder filmhistorische, soziologische, psychologische und genrespezifische Filminterpretation ab. Die Differenz der vorgeschlagenen Zugangsweisen liegt nicht nur in der Perspektive, unter der sie den Gegenstand Film betrachten, sondern auch in ihren unterschiedlichen Arbeitsschritten sowie in dem zusätzlich an den einzelnen Film herangetragenen Material.
[49] Ein Manko dieser Ansätze sowie vieler anderer ist die geringe Auseinandersetzung mit dem bildnerischen Element selbst, obwohl in den ersten zwei Jahrzehnten des Films sich viele hervorragende Regisseure besonders intensiv damit auseinandersetzten und, man denke nur an die russischen Formalisten, Pionierarbeit auf diesem Gebiet leisteten.60 Dies ist aber vielleicht aus dem Umstand zu erklären, daß sich die Kunstgeschichte in der Auseinandersetzung mit Film stark zurückhielt. Die Literaturwissenschaft hingegen kannte solche Hemmungen nicht und zeigte bald Interesse an der wissenschaftlichen Auseinandersetzung mit Film, so auch die Philosophie, die relativ junge Theaterwissenschaft, die Philologie und die Semiotik. Dadurch, daß das Kino ein kommerzieller Massenbetrieb wurde, dem es technisch möglich war, wiederum Massen zu erreichen, wurde der Film auch Gegenstand der Soziologie, der Politikwissenschaft, der Psychologie und der neuen Kommunikationswissenschaften. All diese verschiedenen Disziplinen untersuchten den Film nach Kriterien, die sie aus ihrem Aufgabenbereich her kannten und rückten je nachdem diese für sie interessanten Elemente, die Teile des Films oder Teile des Kinos sind, in den Vordergrund (s.o.). Die Auswahl der auf den folgenden Seiten angeführten Ansätze und Methoden ist unabhängig von ihrer "Herkunft" erfolgt, stellt keinen Anspruch auf Vollständigkeit und ist insofern eine willkürliche.
[50] Eine grundlegende tabellarische Aufstellung der Ansätze und der daraus zu folgernden Fragestellungen gibt OPL (Abb. 1)61 in seiner Arbeit Das filmische Zeichen als kommunikationswissenschaftliches Phänomen.
| Paradigma | Fragestellung | Ansatz | |
|---|---|---|---|
| 1) | Film als ästhetischer Gegenstand | Was ist "schön" am Film | Filmkritik und Filmessayistik |
| 2) | Film als sprachähnliches u. Sprache verwendendes Kommunikationsmittel | Welche Codes verwendet/ besitzt d. Film (im Vgl. zur Sprache) | Linguistischer, präsemiotischer Ansatz |
| 3) | Film als Medium der Massenkommunikation | Welche gesellschaftlich rele-vanten Themen vermittelt der Film wie | Kommunikations- u. sozial-wissenschaftliche Ansätze |
| 4) | Film als Teil der Literatur; Literatur u. Sprache als Teil des Films; Film als "Text" | Wie werden Literatur u. Spra-che im/ vom Film verwendet/ behandelt? Was u. wie "berich-tet" bzw. "erzählt" d. Film | Philologische, sprach- u. literaturwissenschaftliche Ansätze |
| 5) | Film als Dokumentations- u. Darstellungsmittel für alle sicht- u. hörbaren Objekte u. Ereignisse | Welche Gegenstände doku-mentiert/ behandelt d. Film wie | Theaterwissenschaftl., histor., wahrnehmungs-psycholog. usw., je fachspezifische Ansätze |
| 6) | Film als komplexe Struktur von interdependenten Zeichensystemen | Welche Zeichensysteme verwendet/ produziert der Film auf welche Art | Semiotische Ansätze |
| 7) | Film als Kommunikations-mittel auf spezifische Weise kommuniziert | Was sind die filmspezif. Code-systeme u. wie überlagern sie sich mit den afilmischen | Filmwissenschaftlicher Basisansatz |
Abb. 1
[51] Darin vertritt er die These, daß man, um das Superzeichen62 Film verstehen zu können, von einer formalen Strukturanalyse ausgehen müsse. Die Vermittlung, das "Wie" steht im Vordergrund seiner Überlegungen, wobei ausschließlich die Kamerahandlung - wie Einstellungslänge, Kamerabewegung, Kameraperspektive, Einstellungsgröße, etc. - in den Blick genommen wird. Somit setzt OPL der Filmanalyse geisteswissenschaftlicher Tradition, deren primärer Untersuchungsgegenstand die Handlung vor der Kamera ist, einen kommunikationsanalytischen Ansatz entgegen. Dieser rückt die mediale Funktion des Films bzw. Filmbilds, die durch die Kamerahandlung bestimmt wird, als das spezifisch Filmische ins Zentrum. Da sich OPL derart stark von der filmtechnischen Seite nähert, taucht die Frage auf, was damit letztlich (abgesehen von der reinen Form) über die Beziehungen der bildhaften Elemente innerhalb des Bildes an sich ausgesagt wird bzw. welche Veränderungen sich insgesamt betrachtet ergeben, wenn die Kamera ihre Position wechselt.
[52] Ein wesentlich breiteres Spektrum an Herangehensweisen listet SCHAAF63 auf: Er unterscheidet die statistische, die morphologische, die wirkungsgenetische, die filmographische sowie die Bedeutungsanalyse. Dabei bezieht er sich in jeder der genannten Methoden hauptsächlich auf die Handlung vor der Kamera und ihre inhaltliche Beschreibung und Relevanz. Seine statistische Analyse ist darauf beschränkt, die einzelnen Einstellungen unter Angabe zeitlicher Länge inhaltlich niederzuschreiben. Auch die morphologische Analyse ist inhaltlich orientiert, da das Einordnen von "Einstellungstopoi" in Bedeutungsraster im Mittelpunkt steht, womit SCHAAF das Aufstellen einer Morphematik dem Zuordnen von Bedeutungen gleichsetzt.64 Wie der Name schon sagt, geht es in der wirkungsgenetischen Analyse "um die wahrnehmungspsychologische Komponente bei der filmischen Codierung".65 Die filmographische sowie die Bedeutungsanalyse untersuchen nicht den Einzelfilm, sondern versuchen im Vergleich, Zusammenhänge bzw. Unterschiede aufzudecken.
[53] Ein anscheinend sehr beliebtes und verbreitetes Werk über den Umgang mit Film (wenn man das Vorkommen in Bibliotheken und Bibliographien als Maßstab heranzieht) ist die Einführung in die Filmanalyse66 von WERNER FAULSTICH. Im Kapitel Filmanalyse werden folgende "Groblernziele" angeführt:
- Erstellen von Filmprotokollen;
- Erkennen und Beschreiben von Bauformen der Filmhandlung - wobei auffällt, daß von Filmhandlung gesprochen wird und nicht vom filmischen Aufbau des Films, womit Faulstich sich nur auf Bauformen bezieht, die den Fortgang der Handlung betreffen;
- die Qualifizierung quantitativer Daten;
- Beschreiben von Handlungsfiguren;67
- Bestimmen und Erkennen der Funktion von Geräusch und Filmmusik;
- Ideologiebegriffe und die Problematisierung von Ideologie;
- Hinterfragen der Filminhalte sowie ihrer Dramaturgie auf ihre ideologische Aussage ("message") hin;
- Einbeziehen der Geschichtlichkeit des Films auf Produktions- und Rezeptionsseite.68
[54] Allein aus dieser Aufzählung der wesentlichen Punkte ist zu erkennen, daß inhaltliche und ideologische Aspekte im Vordergrund der Untersuchung stehen und die formalen Strukturen des Films nur daraufhin untersucht werden, inwieweit sie inhaltlich relevant (siehe Ziel 2) oder ideologiebildend sind (siehe Ziel 6). Nur dort werden Aufbau und Dramaturgie als wesentliche Bestandteile einer Analyse genannt. Das größte Problem, das sich bei FAULSTICH und auch den meisten anderen Analysemethoden stellt, ist die Filmprotokollierung. Sie wird immer wieder als wesentlichstes Ausgangsmaterial für Analysen verwendet. Es ist aber offensichtlich, wie schwierig es sich gestaltet, den visuellen Bestandteil des Films zu protokollieren, wenn man ihn wie eine Fremdsprache in eine andere Sprache transferieren muß. So erläutert FAULSTICH ganz richtig, daß die drei linken Spalten seines Sechs-Spalten Protokolls (Nr. der Einstellung, Geschehen / Handlungsverlauf, Dialog) leicht lesbar sind im Unterschied zu den rechten Spalten (Musik / Geräusche, Kamera, Zeit), welche vornehmlich Daten für eine quantitative Analyse enthalten.
[55] Die Schwierigkeit in der Protokollierung und in der Lesbarkeit dieser Daten liegt wohl darin, daß jede Übertragung von einem Medium in ein anderes einen Informationsverlust erleidet. Es gibt keine 1:1 Übersetzung eines Filmbildes in einen geschriebenen Text, genauso wie es eigentlich keine 1:1 Übersetzung eines gesprochenen Dialogs in einen niedergeschriebenen Dialog geben kann. Das Filmprotokoll bietet schon gefilterte Information, was darauf hinauslaufen könnte, daß aus einer Filmanalyse eine Filmprotokollanalyse wird. So ist es nicht weiter verwunderlich, daß FAULSTICH die Daten in der Spalte "Kamera" fast ausschließlich zur qualitativen Analyse verwendet, da sie nicht viel mehr Information enthalten als die bloße Angabe eines Vorkommens, z.B. "Naheinstellung". Die Schwierigkeit, ein Bild in Worten zu beschreiben, braucht nicht weiter erläutert werden - es erhebt sich die Frage, ob es nicht möglich wäre, eine qualitative Analyse der filmtechnischen Mittel sowie des Bildaufbaus durchzuführen, wenn man primär auf bildhaftes Material zurückgreifen würde. Ob auf eine qualitative Formanalyse verzichtet werden kann, ist fragwürdig, da FAULSTICH selbst meint, "daß die Filmsprache als die Weise in der der Film etwas erzählt, ja bereits Teil des Inhalts ist, den er insgesamt vermittelt"69. Er scheint seine eigene Aussage jedoch nur auf den ideologiekritischen Teil seiner Analyse zu beziehen, da seiner Ansicht nach durch die Kenntnis der eingesetzten Mittel wesentliche Mechanismen der Ideologisierung aufgedeckt und ihre Funktionsweise erklärt werden können.70
[56] Im Rahmen dieses ideologiekritischen Ansatzes, in dem die Frage, "welche dramaturgischen / filmsprachlichen Mittel sind für welche Ideologieteile hauptsächlich verantwortlich"71 als zentral für die Filmanalyse formuliert wird, sei nur kurz auf die Einführung in die Film- und Fernsehanalyse - Ein ABC für Zuschauer von KNILLI und REISS verwiesen. Die Autoren versuchen, die visuellen Bestandteile des Films einzig auf ihren ideologischen Gehalt hin, sprich die Vereinnahmung des Mediums, das entgegen BALÁSZ durch den Kapitalismus doch Monopol der herrschenden Klasse geblieben ist, zu untersuchen. Dabei driften sie meines Erachtens in einen bedenklichen, wohl nur aus der damaligen politischen Situation her verständlichen, ideologischen Sprachgebrauch ab72, der selbst einer ideologiekritischen Untersuchung unterzogen werden müßte. Da die verwendete Sprache und die angeführten Beispiele so stark politisch gefärbt sind und sich dadurch inhaltliche Aussagen automatisch in den Vordergrund drängen, dürfte eine dem Medium angemessene Analyse kaum möglich sein. Außerdem fällt eine starke Verwendung komplizierter, fremdsprachlicher (v.a. griechischer und lateinischer) Begriffe auf, die mir gewisse Zweifel an der Nützlichkeit für "Zuschauer" im allgemeinen kommen lassen.
[57] Nochmals zurückgehend auf FAULSTICH und das angeführte Problem der Filmprotokollierung soll KANZOG erwähnt werden, der in seinem Artikel Konstruktivistische Probleme der Filmwahrnehmung und Filmprotokollierung73 die Möglichkeiten einer quantitativen Analyse, die sich in Zahlen und Daten erschöpft, anzweifelt. Er vertritt die Meinung, daß bei einer ausschließlich schriftlich gestützten Filmprotokollierung das subjektive Wahrnehmen und Verstehen durch den notwendigen Akt der Umsetzung einen großen Einfluß auf das Ergebnis hätte. Aus diesem Grund tritt er für ein Filmtranskript ein, das - unter besonderer Beachtung von Objektivität und Kommunizierbarkeit - eine größtmögliche Nähe zum Überlieferungsträger aufweist. Die Codes der Kamerahandlung und der Montage sind als die einzig filmischen mehr in den Mittelpunkt zu rücken und nicht länger als Stiefkind der Filmwissenschaft zu behandeln.74 KANZOG sieht die Erfahrungen und Methoden der Literaturwissenschaft, aus deren Tradition er ja kommt, nur dann für den Film als angebracht an, wenn es um dessen narrative Struktur geht. Aufbauend auf VLADIMIR PROPPS strukturaler Erzähltheorie entwickelt er ein Raumordnungsverfahren, in dem er die einzelnen Figuren semantischen Räumen zuordnet, um dadurch Textschichten festzustellen.75 Daß KANZOG bei aller Aufgeschlossenheit den formalen Gestaltungsmitteln gegenüber der Literaturwissenschaft verhaftet bleibt, zeigt sich in einem kurzen Absatz über die Point-of-view-Technik76, wo er auf Wahrnehmungs- und Konstruktionsprinzipien zu sprechen kommt: Die Analyse von Kameraführung und Schnittechnik wird hier einzig unter dem Aspekt des Erzählers und dessen Verhältnisses zum Betrachter beleuchtet.
[58] Auch KUCHENBUCH77 nähert sich im Rahmen seines Entwurfes für eine produktionsorientierte78 Filmanalyse dem filmbildlichen Diskurs, wie er es nennt, von der inhaltlichen Seite. Er setzt sich mit Elementen und Strukturen des Filmbildes auseinander, insofern sie den Inhalt unterstützend auftreten, und sieht den "gesamtfilmischen Diskurs"79 als filmspezifische Umsetzung eines Themas, das an oberster Stelle der praktischen wie theoretischen Filmarbeit steht - d.h. die inhaltliche Linie bestimmt die Auseinandersetzung.
[59] Die Analyse der visuellen Bestandteile des Films hingegen fand vor allem in der Filmsemiotik statt, die die formalen Elemente in den Vordergrund stellte und das Bildzeichen als die Basis für die filmische Kommunikation bestimmte.80 Infolgedessen wurde die traditionelle Analyse um quantitativ-graphische Beschreibungsformen erweitert, die auch qualitativ aussagekräftig zu machen sich HELMUT KORTE bemüht.81 Da die filmische Gestaltung und letztlich das Filmbild weitgehend die filmische Botschaft tragen, ist ihre Analyse unerläßlich; was nach der Ansicht KORTEs bedeutet, daß besondere Instrumentarien einer visuellen Beschreibung des Films entwickelt werden müssen, um dem Informationsverlust einer rein verbalen Protokollierung (s.o.) entgegenzuwirken.
Inwieweit hierbei [Vergleiche von Filmen mittels verbaler Einstellungsprotokolle, d. V.] eine strikte Reduzierung der Angaben ausschließlich auf die objektiven Filmdaten weiterhilft, erscheint fraglich. Denn genaugenommen lassen sich am Film neben der exakten Wiedergabe des Dialogs und der Musik (als Notation) objektiv nur die Schnitte, Länge und Abfolge der Einstellungen angeben und dieses auch nur, wenn man die Besonderheiten wie Reißschwenks, Überblendungen, Auf- oder Abblende, Schwarzbild, Zeitlupe, Zeitraffer bis hin zu den Möglichkeiten der Plansequenz umfassend definiert. Häufig sind es ja gerade diese nicht eindeutig und intersubjektiv feststellbaren Informationen, die den eigentlichen analytischen Wert des Protokolls ausmachen.82
[60] Um eben diesen angesprochenen analytischen Wert eines Protokolls zu erreichen, stützt er sich einerseits auf visuelle Beschreibungen wie zum Beispiel Storyboards, andererseits auf quantitativ-graphische Verfahren wie Einstellungsgraphik, Sequenzgraphik oder Zeitachse, die aber im Unterschied zur klassischen Verwendung nicht in einer mathematischen Formel enden, sondern "Ausgangspunkt für gezielte inhaltliche und formale Untersuchungen" sind und so eine bessere Beschreibung filmischer Strukturen erlauben. KORTE bezieht sich in seiner Methode hauptsächlich auf Einheiten wie Einstellung, Sequenz bis hin zum gesamten Film. Dadurch gelingt es ihm, den prozessualen Charakter festzuhalten und in die Analyse miteinzubringen.
[61] Das von ihm entwickelte Instrumentarium bietet eine breite Basis für einen bildhaften und filmspezifischen Zugang, versteht sich aber im Sinne einer interdisziplinären filmanalytischen Methode nicht als einziger Weg, sondern vielmehr als Wegabschnitt, d.h. die einzelnen quantitativ-qualitativen graphischen Methoden müssen erstens untereinander, zweitens mit anderen - z.B. inhaltlichen - in Beziehung gesetzt werden, um zu einer Gesamtaussage kommen zu können.
[62] Es liegt nahe, für eine Vielfalt der Methoden zu plädieren, da die angeführten Zugangsweisen einzelne Segmente bearbeiten, andere dagegen vernachlässigen, so daß aus der Synthese der verschiedenen Ansätze ein umfassendes Bild des Films entsteht.83 Daß dies keine "Methodenkombination" bedeuten kann, hat KLAUS KANZOG84 hervorgehoben und betont, es gehe immer nur um eine Präzisierung der Standpunkte und Vermittlung unterschiedlicher Perspektiven. Gerade die Verschiedenheit möglicher Perspektiven zwingt dazu, sich des eigenen Erkenntnisziels zu vergewissern.
[63] Ein Versuch in diese Richtung begegnet im "interdisziplinär" angelegten Sammelband Sinnwelt Film85, in dem keine theoretische, abstrakte Auseinandersetzung mit Filmanalyse stattfindet, sondern von Autoren und Autorinnen verschiedener Wissenschaftsdisziplinen jeweils konkrete Filme behandelt werden. Unter Berufung auf LUHMANN stellt Herausgeber HOFMANN die notwendige Verwiesenheit moderner Gesellschaften auf die massenmediale Reproduktion von Sinn heraus, da die Menschen gemeinsame Konstruktionen ihrer sozialen und subjektiven Realität benötigen, damit sie ihre Erfahrungen unter Bedingungen der Kontingenz auslegen können. Dem kommt das Medium Film augenscheinlich sehr entgegen, da es "einerseits die Bereitstellung von kollektiven Situationsdefinitionen [ermöglicht], was es unter Umständen zum beliebten Propagandamedium macht, während es andererseits gleichzeitig höchst interpretationsbedürftig ist"86.
[64] Wenn diese Publikation aus jüngster Vergangenheit als richtungsweisend für die derzeitige Entwicklung in der Filmanalyse genommen werden darf, dann scheint der bewußt individuelle, frei assoziierende Umgang mit Film als Vorgangsweise favorisiert zu werden. Dabei will man die Bandbreite der Zugänge so weit als möglich offen halten und eine Vielzahl von Perspektiven zulassen. Die mögliche Gefahr einer Analyse unter solch "offenen" Bestimmungen und aus "ausschließlich inhaltsanalytischer Perspektive"87 dürfte sein, daß einerseits bloß der Film mit eigenen Worten gewissermaßen "nacherzählt" wird und andererseits im freien Spiel der Assoziationen manche Elemente nach Gutdünken mit Bedeutung versehen werden. Neben der großen Chance einer offenen, sich der eigenen Subjektivität bewußten Analyse sollten deshalb die angesprochenen Probleme im Auge behalten werden.
[65] Damit die unleugbare Subjektivität jeder Filmbetrachtung nicht als Hindernis auftritt, sondern als bewußte Bereicherung, hält es JOHAN HAHN88 für zielführend, sich vor der eigentlichen Analyse in einer Voruntersuchung der eigenen subjektiven Überzeugungen und Erwartungen gegenüber dem Gegenstand seiner Anstrengungen bewußt zu werden und ein Protokoll darüber anzufertigen.
[66] Auch HICKETHIER beurteilt die Formulierung eines ersten Verständnisses des Films, in dem auch Mißverständnisse und Nichtverstehen deutlich werden, als unerläßlichen ersten Schritt im Rahmen einer hermeneutischen Vorgangsweise. Indem die Subjektivität der Seherfahrung deutlich gemacht wird, soll sich der/ die Analysierende in einem zweiten Schritt seines/ ihres Kontextes bewußt werden und die Seh-Erfahrung als eine spezifische Lesart oder Wahrnehmungsart artikulieren und damit zugleich eine Auslegungshypothese formulieren. Daran knüpft die Analyse des Films an, "in der nun die Bedingungen des Film- (...) Verständnisses reflektiert werden, die Struktur des Produkts untersucht, seine Ausdrucksformen, seine filmästhetische (...) Gestaltung, seinen [sic!] Bezug zu den filmischen (...) Traditionen und die in ihm vorhandenen Bedeutungspotentiale entschlüsselt werden"89. Insofern in dieser Analyse das Verstehen des einzelnen Werks in Beziehung zum zeitgenössischen Horizont möglicher Erfahrung gesehen wird, kann sie immer nur eine historische sein. Im vierten und letzten Schritt werden Seh-Erfahrung, Lesart des Films und Analyse der Struktur des Films in einen Zusammenhang gebracht, "die subjektiven Erfahrungen mit dem Potential der im Film ermittelten Bedeutungen konfrontiert und die in der Analyse beschriebenen Strukturen der filmischen Erzählung und Darstellung mit den eigenen Erlebnisweisen in Beziehung gesetzt"90.
[67] Die hier benannten Verlaufsformen der Analyse drücken jedoch noch nicht aus, was am Film zu beschreiben und zu analysieren ist. HAHN gliedert diese zu beschreibenden Elemente in völlig flexibel verwendbare Module, die unter verschiedenen Perspektiven zusammengefaßt werden (Abb. 2)91.

Abb. 2: Die modulare Methode der analytischen
Interpretation im Überblick
[68] Die unter phänomenologischer Perspektive zentralen Fragen sind jene nach den konstituierenden Teilen und Details des Bilds und des Tons, damit der Film aus verschiedenen Gesichtspunkten untersucht werden kann. Dabei werden neben bestimmten Inhalten natürlich auch bestimmte Formen unterschieden, mit dem Bewußtsein, diese beiden Aspekte des Bildes nicht voneinander trennen zu können. Bei der Form des Bildes92 ist folgendes näher zu beachten:
- 1. die subjektiven Bewegungen des Fernsehbildes, d.h. die Bewegungen des gesamten Bildes, die das Ergebnis der verschiedenen Kamerabewegungen darstellen.
- 2. den subjektiven Ausschnitt des Fernsehbildes, d.h. den Bildrahmen, der durch die Kamera und/oder den Fernsehschirm entsteht.
- 3. die subjektive Perspektive des Fernsehbildes, d.h. das Formelement, das durch die Position der Kamera in bezug auf das Objekt vor der Kamera zustande kommt.
- 4. die subjektive Dauer des Fernsehbildes, d.h. die Zeitspanne, die durch das Ein- beziehungsweise Ausschalten der Kamera und die Kombination verschiedener Bildelemente entsteht, um den Zeitverlauf zu suggerieren.
Beim Inhalt des Fernsehbildes können wir ebenfalls eine Reihe von Kennzeichen unterscheiden:
- 5. die Objekte im Fernsehbild, worunter ich alles das verstehe, was im Bild zu sehen ist. Objekt ist hier ein Terminus technicus; (...).
- 6. die Objektbewegungen im Fernsehbild, worunter alle Bewegungen der Objekte im Fernsehbild in ihrer Beziehung zueinander fallen.
- 7. die Objektverhältnisse im Fernsehbild, das sind die Beziehungen zwischen allen Objekten im Fernsehbild. 93
[69] Dasselbe gilt für den Ton, der ebenfalls nach verschiedenen Kriterien betrachtet werden kann, wodurch eine komplexe Darstellung des Filmkaders erfolgt.
[70] Dies zusammengenommen ist das Basisinstrument, mit dem das Wissen darüber erarbeitet wird, auf welche Art und Weise der Film audiovisuell nach Form und Inhalt aufgebaut ist (Abb. 3a-c), um aus den verschiedenen folgenden Perspektiven Details näher zu untersuchen. Dazu werden aus der jeweiligen Perspektive mehrere Module verwendet, die einerseits teilweise bereits vorgegeben sind und andererseits im Verlauf der Untersuchung entwickelt werden müssen.
Abb. 3a: Die Komplexität des Fernsehbildes: Bildteil
Abb. 3b: Die Komplexität des Fernsehbildes: Das Verhältnis
von Bild und Ton
Abb. 3c: Die Komplexität des Fernsehbildes auf Grund der
phänomenologischen Perspektive: Tonteil
Abb. 4: Wirklichkeitsschichten und Symbolschichten
[71] Die dramatologische Perspektive betrachtet zunächst das Bild unter dem Gesichtspunkt des komplizierten Ineinandergreifens dramatisierter Handlungsabläufe. Ausgehend von der Überlegung, daß jede im Film gezeigte Wirklichkeit als dramatisierte aufzufassen ist, steht die Frage nach den dramatisierenden und formgebenden Elementen des Bildes hier im Mittelpunkt. Die für Film möglicherweise relevanten Module sind die Strukturuntersuchung, die Shotuntersuchung, die Untersuchung der kleinsten sinnvollen Einheiten, die Untersuchung des Point-of-view, die Montageuntersuchung und die Tonformenuntersuchung.

Abb. 5
[72] Die bildinhaltlichen Elemente stehen dann bei der ikonologischen Perspektive im Vordergrund, wobei auch der Aspekt zu beachten ist, daß das Filmbild in der Tradition eines jahrhundertelangen kunsthistorischen Entwicklungsprozeß steht. HAHN will das Filmbild sozusagen aus der Perspektive des "Icons" (d.i. ein Objekt, das ein anderes Objekt auf Basis ihrer Gemeinsamkeit darstellt) betrachten. Die für den Film relevanten Module sind die Tiefenstrukturuntersuchung, die Figurenanalyse, die Interaktionsanalyse (die Beziehung zwischen den Figuren), Hintergrundanalyse (das konkrete Setting), Bildinhaltsanalyse (inhaltliche Komposition des Bildes), Toninhaltsanalyse (Text, Herkunft der Musik, Geräusche), das Verhältnis zwischen Wort und Bild sowie die Induktions-/ Rekursionsanalyse (der gegenseitige bedeutungs- und sinngebende Einfluß von aufeinander folgenden Bildern). Innerhalb dieser Perspektive kann ein symboltheoretischer Aspekt unterschieden werden, dem die Auffassung zugrunde liegt, daß das Filmbild eine komplizierte Kombination verschiedener Symbole unterschiedlicher Symbolisierungsebenen ist. HAHN faßt ein Symbol als ein Element der wahrnehmbaren Wirklichkeit auf, das auf ein Element der nicht wahrnehmbaren Wirklichkeit verweist. In diesem Sinn besteht ein Bild aus einer Vielheit einzelner und zusammengesetzter Symbole und stellt letztlich ein "Totalsymbol" dar, in dem sich eine Reihe von Symbolschichten und Symbolen unterscheiden lassen (Abb. 4).
[73] Die narratologische Perspektive untersucht dann das Filmbild als eine eigene Form der erzählten Wirklichkeit, als audiovisuelle Erzählung, wobei seine kulturtheoretische Funktion im Mittelpunkt steht. Es soll dabei das Bild als Erzählung, als Text der Geschichte auf der Grundlage des ihm zugrunde liegenden weltanschaulichen Konzepts untersucht werden. Hier möchte ich besonders die Erzähllinienanalyse, die Erzählinstanzanalyse, die Kontextanalyse, die Konflikt- und Spannungsanalyse sowie die Untersuchung der "erzählten" Figuren herausgreifen. In diesem Rahmen ist auch die mythentheoretische Ebene zu untersuchen, auf der der Film als Träger historischer und zeitgenössischer Mythen verstanden wird.
[74] Weiters fordert HAHN als sekundäres Material biographische und filmhistorische Zusammenhänge einzubringen sowie die jeweils neu zu fällende Entscheidung, ob psychologisch-psychoanalytische Gesichtspunkte ein weiterführendes Verständnis ermöglichen könnten.
[75] Insgesamt betrachtet erfolgt die Analyse in einer spiralförmigen hermeneutischen Bewegung, in der das zu analysierende Material eine besondere Aufmerksamkeit des Untersuchers für das kleinste Detail bedingt, wobei einerseits jedes Detail aus dem Verständnis des Ganzen zu betrachten ist, andererseits das Ganze im Licht eines jeden Details gesehen werden muß. Dies bedeutet, daß diese Methode auf dem Prozeß einer "Analyse-Synthese-Interpretation" beruht, die dem Untersucher im Arbeitsvorgang bewußt einen Platz einräumt. Der Komplexität des Films versucht dieses offene methodologische System eben dadurch gerecht zu werden, daß es größtmögliche Flexibilität (aufgrund der im Prinzip nicht begrenzten Anzahl von Untersuchungsmodulen) und angemessenere Interaktion zwischen "untersuchendem Subjekt" und "zu untersuchendem Objekt" ermöglicht.94 Außerdem richtet es sich auf die Entwicklung theoretischer Überlegungen und nicht auf das Beweisen von auf theoretischen Prämissen beruhenden Hypothesen. Da HAHN Wissenschaft als eine menschliche Aktivität sieht, die sich in einem vorgegebenen soziokulturellen und gesellschaftlichen Kontext abspielt, erscheint es ihm notwendig, daß die Methode auf kontextuelle Veränderungen reagieren kann. "Das Resultat der Untersuchung ist darum kein feststehendes 'Ergebnis', sondern ein Prozeß, der ebenso variabel sein kann wie die an den veränderten Kontext angepaßte Fragestellung."95 In diesem Sinne sollen in dieser Arbeit verschiedene Aspekte oder "Module" mit ständigem Rückbezug auf den Film als ganzen untersucht werden, wobei jedoch nicht als Ziel angesehen wird, alle möglichen Einzelheiten penibel aufzulisten, sondern der Gesamteindruck im Vordergrund steht.
[76] Zusammenfassend können mit HICKETHIER96 zwei grundlegende Richtungen der Filmanalyse unterschieden werden: die empirisch-sozialwissenschaftliche Methode und das hermeneutische Interpretationsverfahren. Der früher scharfe Gegensatz zwischen ihnen hat sich heute entschärft, da in der hermeneutisch orientierten Filmanalyse auch quantitative Daten herangezogen werden bzw. die qualitative Interpretation häufig Fortsetzung einer Auswertung ermittelter quantitativer Ergebnisse ist. (Der oben ausgeführte Ansatz von HAHN kombiniert meines Erachtens in zielführender Weise den "quantitativen" mit dem "qualitativen" Zugang.)
[77] Die erstere Methode arbeitet v.a. mit der Inhaltsanalyse, deren Ziel es ist, "Strukturen in den Äußerungen in den Massenmedien auf eine objektivierbare, d.h. quantifizierbare Weise zu ermitteln"97. Dabei werden bevorzugt Häufigkeiten bestimmter Merkmale erhoben (Frequenzanalyse), Argumente bzw. Kennzeichen für oder gegen etwas ausgezählt (Valenzanalyse) und ähnliches. Die hinter dieser Vorgehensweise stehende Vorstellung der Erkenntnisgewinnung ist die, daß schließlich ein gesicherter Bestand von Wissen über die Welt entstehen soll. Notwendigerweise wird dabei die ästhetische Struktur des einzelnen Untersuchungsobjekts mit seinen differenzierten Binnenbeziehungen vernachlässigt.
[78] Hermeneutisch orientierte Filmanalyse geht hingegen von der Mehrdeutigkeit filmischer Werke aus und versucht, diese Mehrdeutigkeit erkennbar zu machen. Anders als die strikt lineare Abfolge der Arbeitsschritte der Inhaltsanalyse ist sie durch ein "zirkuläres" Verfahren gekennzeichnet, in dem immer wieder aufs Neue der Film befragt und mit Einzelbefunden und Interpretationsergebnissen konfrontiert wird. Ziel ist es, "die 'hermeneutische Differenz' zwischen dem 'Eigensinn' des Textes, dem vom produzierenden Subjekt gemeinten und dem vom rezipierenden Subjekt aufgefaßten Sinn zu reduzieren, auch wenn diese Differenz letztlich nie völlig aufgehoben werden kann"98. Die dabei zu beachtende Gefahr ist, in Analyse und Interpretation das Werk nicht beständig fortzuschreiben und disparate Elemente gewaltsam zu harmonisieren. Da es in der hermeneutisch orientierten Filmanalyse aber um ein Sinnverstehen geht, kann sie nicht von der Subjektivität des Rezipienten und Analysierenden absehen. Insofern ist es von grundlegender Bedeutung, daß man sich - wie es oben ausgeführt wurde - seines Vorverständnisses bewußt wird und in die Analyse seinen Standort, seine Interessen und seine Rezeptionsbedingungen einbezieht.
[80] Über die Frage aber, in welcher Form die Analyse stattfinden soll, herrschen geteilte Meinungen (s.o.). Wie schon kurz angedeutet, stellt WERNER FAULSTICH die Protokollierung eines Films an den Beginn einer Strukturanalyse, weil diese ohne Protokoll "nicht möglich und schon gar nicht für andere nachvollziehbar" sei, weil "ohne [sie] die Gesamtstruktur nur eingeschränkt fundiert werden" kann, und damit "der einfachsten Verpflichtung wissenschaftlichen Arbeitens", "exakt zu dokumentieren und zu zitieren" nicht nachgekommen werden kann.99 Auch für KLAUS KANZOG ist die Protokollierung des Films (die er als Literarisierung des Films darstellt) "die Basis für wissenschaftliche Diskurse, die das 'Kommunikat Film' ohne Geschmacksurteile kommunizierbar"100 macht. HICKETHIER hingegen befremdet das "in den letzten Jahren verstärkte Insistieren auf der schriftlichen Transkription von Filmen (...), denn die Protokollierung eines Filmes ist in der Regel arbeitsintensiv und in ihrer Notwendigkeit nicht immer einsehbar"101.
[82] Ebenso wie HICKETHIER betont PROKOP, daß eine pedantische Protokoll-Technik seit der Möglichkeit der Video-Aufzeichnung überholt ist, und daß "ein solches Verfahren veradministriert und eine Sache (...) in ihren Ursachen und Eigenstrukturen [verändert]"102. Es erscheint ihm sinnvoller, "sich einen Film mehrmals anzusehen und seine Struktur und die darin enthaltenen Widersprüche und Spannungen herauszuarbeiten"103. Insofern es als zusätzliche Information einer Analyse dessen, was der Film gestaltet und wie er seinen Gegenstand inhaltlich und formal umsetzt, verwendet wird, ist ein "qualitatives Protokoll" jedoch wichtig (wobei klassifikatorische Pedanterien nicht mit wissenschaftlicher Redlichkeit verwechselt werden dürfen).
[83] Dem bei PROKOP angestimmten Grundtenor, nämlich daß ein Protokoll nichts weiter sein kann als eine Festlegung positiver Daten, aber in keinem Fall die "Erklärung" des Films, pflichtet auch NORBERT SCHÖLL bei.
Die Erklärung des Films aber, die nur dem Zusammenwirken aller Mittel in bezug auf die Inhalte zu entnehmen und deren Herausarbeiten eine geistige Arbeit unter Ansehen des Films ist, läßt sich aus einem Protokoll nicht herstellen und ist vor allem nicht mit ihm identisch.104
[84] Der Ansicht, daß ein Protokoll nie eine Erklärung oder Interpretation eines Films darstellen kann, bleibt nichts hinzuzufügen. Jedoch wird diese Kritik etwas durch den Umstand geschwächt, daß SCHÖLL selbst keine adäquatere Vorgehensweise ausführt und sich bei seiner Arbeit an konkreten Filmen in eher verallgemeinernden Gedankensprüngen mit sozialkritisch-filmgeschichtlichen Themen - bloß einzelne Aspekte verschiedener Filme herausgreifend - auseinandersetzt.
[85] Mit der Einschränkung, daß nicht für jede Filmanalyse die minutiöse Transkription aller Einstellungen eines Filmes notwendig ist, gesteht HICKETHIER dem Filmprotokoll aber zu, "für spezielle Fragen an den Film sinnvoll und begründet"105 zu sein. Diese Einschränkung resultiert wie oben erwähnt aus dem simplen Umstand, daß angesichts der allgemeinen Verbreitung von Videorecordern und der Weiterentwicklung der Aufzeichnungstechnik der Aufwand einer allumfassenden Protokollierung nicht mehr plausibel zu begründen ist. Als bewährte, jedoch reduzierte Protokollierungsverfahren schlägt HICKETHIER deshalb die Sequenzliste und das Einstellungsprotokoll vor.106 Unter dem Erstgenannten versteht er ein Protokoll, in dem für die einzelnen Sequenzen (die jeweils eine Handlungseinheit umfassen) Handlungsort sowie auftretende Personen festgehalten werden sowie in wenigen Sätzen das Geschehen beschrieben wird. Einer genaueren Erfassung der filmischen Struktur dient das Einstellungsprotokoll, in dem die einzelnen Einstellungen festgehalten werden, auf der Bildebene die kameraästhetischen Merkmale angeführt und Merkmale des Handlungsortes, der Figuren, ihrer Ausstattung und Bewegungen notiert werden. Auf der Ebene des Tons werden die Dialoge und Off-Texte festgehalten sowie die Geräusche und die Musik notiert. Ziel ist die genaue Erfassung der filmästhetischen Merkmale, die Überprüfung gestalterischer Strategien des Films. Es sollte dort angefertigt werden, wo Irritationen über das filmische Erzählen entstanden sind, wo bereits eine präzise Frage formuliert ist und Strukturmomente des Films im Detail genauer untersucht und erörtert werden sollen.
[86] Protokolle sind kein Selbstzweck, dies kann nicht oft genug wiederholt werden. Meine Entscheidung für eine bestimmte Form des Einstellungsprotokolls entspringt nicht einer heimlichen Hoffnung, mit dem Protokoll des Films sich bereits in intensiver Weise seiner versichert zu haben, sondern dem Bedürfnis nach einer leicht verfügbaren "Erinnerungsstütze", die als Hilfsmittel und nicht als Ausgangsbasis der Überlegungen dient. Dabei habe ich bewußt die Anführung der Dialoge unterlassen, da bereits eine einigermaßen korrekte Niederschrift existiert.107 Eine Aufzählung und Erläuterung der einzelnen Spalten findet sich im Anhang unmittelbar vor dem Protokoll.
[87] Das Auseinanderdividieren eines Films in Handlung, Kameraeinstellung, Musik u.a. kann meiner Meinung nach nie einem Gesamteindruck als einheitlicher Erfahrung entsprechen. Jedoch halte ich es für notwendig, die auf andere Weise nicht faßbare Komplexität zunächst in diese Form zu bringen, um bei der Interpretation nicht durch zufällig unbeachtete oder überbewertete Aspekte im Reich der Spekulationen zu landen. Dies auch im Bewußtsein, daß sich das interpretierende Moment in der Analysearbeit nicht völlig ausschließen läßt, da sich der bzw. die Betrachter/in aus der stets interpretierenden Beziehung zum Film niemals befreien kann. Die Chance einer Filmanalyse auf dem Hintergrund der bewußteren eigenen Wahrnehmungsperspektive ist aber darin zu sehen, daß interpretierende Momente einfacher transparent gemacht werden können.
[88] Weiters erscheint mir ein Mindestmaß an Kontextualität unerläßlich, da eine rein inhaltliche Filmanalyse den Gegenstand völlig ungeschichtlich und daher verzerrt darstellen würde. Jedoch kann in einem festgesetzten Rahmen wie diesem nicht alles möglicherweise Interessante gründlich erfaßt werden, wodurch ganz bewußt Grenzen und Schwerpunkte zu setzen sind.
[89] Auf eine Aufzählung von Kategorien zur Beschreibung des filmischen Bildes, des audiovisuellen Tons und der Narrativik will ich verzichten, da solche tabellarische Zusammenstellungen der Begrifflichkeit bereits mehrerenorts (z.B. bei FAULSTICH, HICKETHIER, KANDORFER, KANZOG, MONACO, u.a.) stattgefunden haben und eine kurze Übersicht in den Abbildungen 3a-c vorliegt.
4. ANDREJ TARKOVSKIJ im Spiegel seiner Filme und theoretischen Schriften
4.1. Film- und zeitgeschichtlicher Kontext108
[90] Wie jede Industrie in der Sowjetunion war auch die Filmindustrie ein wichtiges Monopol in Staatsbesitz und unter staatlicher Kontrolle. Sie hatte eine höchst zentralistische und streng bürokratische Struktur mit wirtschaftlichen, politischen und ideologischen Kontrollen, die in der Hand der Regierung und der allein herrschenden Kommunistischen Partei lagen. Die Geschichte des sowjetischen Kinos ist sehr eng mit dem Establishment der Sowjetunion und der Ausübung der Macht durch die Kommunistische Partei verbunden. Ob jetzt LENIN selbst jemals das Kino als "die wichtigste Kunst" bezeichnet hat oder nicht, so war diese Aussage die ganze sowjetische Geschichte hindurch eine wiederkehrende Formel, die dazu verwendet wurde, eine strenge politische und ideologische Kontrolle der Filmproduktion zu bekräftigen. LENIN und sein Kommissar für Erziehung, ANATOLIJ LUNACARSKIJ, erkannten das Potential des Kinos für die Erziehung und die politische Propaganda innerhalb der kaum alphabetisierten und ideologisch noch nicht bekehrten Massen. Durch einen Regierungsbeschluß im Jahr 1919 wurde die in Privatbesitz befindliche Filmindustrie verstaatlicht und im Jahr 1922 unter der Schirmherrschaft des "Volkskommissariats für Erziehung" das "Goskino" (Zentrales Staatliches Komitee für Kinomatographie) gegründet.109 Während der zwanziger Jahre (unter der liberalen "Neuen Wirtschaftspolitik") existierten die privaten Studios großteils gemeinsam mit den staatlichen weiter; aber mit der Einführung des ersten Fünfjahreplans 1928 kam beinahe die gesamte Industrie unter die Kontrolle der Regierung.110 Im Laufe der Jahre wechselte der Name der Organisation mehrmals; jeder Wechsel signalisierte dabei den Versuch, die Kontrolle über die gesamte Filmindustrie - Produktion und Verbreitung eingeschlossen - zu steigern und zu zentralisieren, bevor der Name im Jahre 1972 letztlich wieder Goskino lautete.
[91] Die zunehmende verwaltungstechnische Zentralisierung in der Filmindustrie, die hauptsächlich in den dreißiger Jahren stattfand, war mit dem verstärkten Einsatz von ideologischen und politischen Kontrollen verbunden. Sofort nach der Machtergreifung der Bolschewiken im Jahr 1917 wurden während des Bürgerkriegs (1918-1921) Filme für politische Zwecke verwendet und sogenannte "Agitki" (kurze doku-mentarische Propagandafilme, die kommunistische Inhalte glorifizierten) gedreht.111 Doch in den zwanziger Jahren gab es ein breites Filmangebot: Das Publikum kam, um CHARLIE CHAPLIN und MARY PICKFORD zu sehen, während EISENSTEIN und PUDOVKIN "Oden" an die Revolution schufen, d.h. von der systematischen ideo-logischen Kontrolle wurde nur wenig offenkundig. Anfang der Dreißiger wurde dann aber der sozialistische Realismus zur einzig akzeptierten "Methode" in der Kunst, was einen simpleren Stil mit einer klaren Botschaft zur Folge hatte, ebenso wie tatkräftige kommunistische Helden und einen deutlichen Massenappell.112
[92] Die Kunst wurde vom Staat völlig vereinnahmt, und der sozialistische Realismus blieb die einzige, offiziell vorgeschriebene Möglichkeit des künstlerischen Ausdrucks (mit einer kurzen Phase der Liberalisierung während des "Tauwetters" von den späten Fünfzigern bis in die späten Sechziger) - bis zu seiner laut proklamierten Ablehnung im Jahr 1988.113 Nach Ivans Kindheit kann jeder Film von TARKOVSKIJ als Versuch gesehen werden, den sozialistischen Realismus zu untergraben. An sich war diese Auflehnung gegen das künstlerische Dogma nicht ungewöhnlich - ungewöhnlich war, daß es ihm erlaubt war, überhaupt noch Filme zu machen (wenn auch mit großen Schwierigkeiten). Denn viele Schriftsteller, die in ihrer Arbeit mit Experimenten fortfuhren und den sozialistischen Realismus ablehnten, endeten damit, "für die Schublade" zu schreiben bzw. bekamen unter Umständen harte Sanktionen zu spüren. Da das Schreiben jedoch ein Beruf ist, der "nur" Feder und Papier benötigt, war es für den Staat unmöglich, solche Tendenzen völlig zu unterdrücken. Doch für einen Film werden Geld, Ausrüstung und Personal benötigt - alles Dinge, die erst offiziell genehmigt und zugewiesen werden mußten, nachdem ein Drehbuch geprüft worden war. Für die staatliche Kontrolle dürfte es scheinbar sehr einfach gewesen sein, die Herstellung von ideologisch unakzeptablen oder oppositionellen Filmen zu unterdrücken. Die Tatsache aber, daß viele Filme zunächst produziert und später "ausrangiert" wurden, weist auf die wesentlich komplexere und manchmal auch chaotische Arbeitsweise in der Filmindustrie hin, als zunächst aus theoretischer Sicht von diesem höchst zentralistischen Monolithen vermutet werden könnte.114
[93] Die offizielle Struktur der Filmindustrie in der Sowjetunion sah während TARKOVSKIJs Schaffen folgendermaßen aus115: Oberste Instanz war das Staatskommitee für Kinematographie beim Ministerrat, Goskino, das von einem Präsidenten (zu TARKOVSKIJs Zeit waren es ALEKSEJ ROMANOV [1963-1972] und FILIP JERMAZ [1972-1986]) und einer Regierungskommission geleitet wurde. Letztere setzte sich aus den Vorsitzenden der einzelnen Abteilungen (wie z.B. der Hauptverwaltung für die Produktion von Spielfilmen) zusammen, dem Herausgeber der offiziellen Kinozeitschrift Iskusstvo kino, dem Vorsitzenden der Behörde für die Drehbuchredaktion, einem Beauftragten des KGB und einer Anzahl der etabliertesten Regisseure, Schauspieler und Drehbuchautoren. Die einzelnen Studios, wie z.B. "Mosfilm", das größte und mächtigste Sowjetstudio, in dem TARKOVSKIJ alle seine in der Sowjetunion entstandenen Filme drehte, waren Goskino untergeordnet. Der Direktor von Mosfilm stand wiederum den Abteilungsvorsitzenden sowie einem Künstlerischen Rat vor, der aus etwa 75 bis 100 Filmemachern, lokalen Parteivertretern und Arbeitern bestand, die einen "demokratischen" Beirat bildeten, der gewöhnlich alle Filme beurteilte und genehmigte. Die eigentliche Arbeit in den Studios wurde von den "kreativen Teams" geleitet, die Mitte der fünfziger Jahre eingeführt wurden, um den Produktionsprozeß zu verbessern. Bei Mosfilm gab es sieben solche Teams, denen jeweils ein bekannter Regisseur und ein Produktionsmanager, der die geschäftliche Seite übernahm, vorstand. Außerdem existierte eine Redaktionsabteilung, die aus fünf bis zehn Personen bestand und den Film schon während der Produktion zu besichtigen hatte sowie die erste offizielle Begutachtung des fertigen Filmes durchführte. Diese "Zensoren" unterstützten normalerweise ihre Regisseure und machten häufig hilfreiche Vorschläge, um einen "problematischen" Film zu schützen. Weiters hatte jedes Team auch seinen eigenen Redaktionsausschuß und Künstlerischen Rat, die beide aus professionellen Mitgliedern bestanden. Der unterstützende Redaktionsausschuß, der das Drehbuch zu lesen hatte, bestand aus etwa zwanzig Schriftstellern, Drehbuchautoren und Kritikern, von denen einige als Teilzeitbeschäftigte eingestellt waren.
[94] Bei dieser Anzahl an bürokratischen Instanzen scheint es, als ob ein Regisseur nur sehr wenig kreative Freiheit besessen hätte. Tatsächlich aber konnte ein so etablierter Regisseur wie TARKOVSKIJ seine gesamte Arbeitsgruppe selbst zusammenstellen (Kameramann, Komponist, Kostümbildner, Schauspieler und auch Assistenten), wobei der Künstlerische Rat meist die Zustimmung zu seinen Entscheidungen gab.116 Jedenfalls funktionierte das bürokratische System nicht immer wie geplant, da z.B. bei Zeitdruck - jeder Film mußte bereits vor der Drehbuchherstellung in den Produktionsplan aufgenommen werden, und die Drehbuchschreiber arbeiteten häufig bis zum letzten Moment - jeder seine Zustimmung gab, manchmal auch ohne das Drehbuch gelesen zu haben. Zusätzlich erschwerte das starke Wachstum der Filmindustrie in den späten fünfziger und sechziger Jahren einen vollständigen Überblick.
[95] Wenn dann das "literarische Drehbuch" bewilligt war, wurde während der "Vorproduktions-Periode" die größte Kontrolle über das Budget ausgeübt, das im Zuge einer umfangreichen Korrespondenz zwischen dem Studio und Goskino verhandelt wurde. Goskino zeigte seine Unzufriedenheit mit TARKOVSKIJ, indem sein vorgeschlagenes Budget gekürzt und er gezwungen wurde, Szenen aus seinen Filmen herauszuschneiden, wie z.B. die einleitende Kulikovo-Feldschlacht in Andrej Rublëv. Mit der Zeit jedoch lernten TARKOVSKIJ und seine ausgewählte Crew, innerhalb des ihnen zugewiesenen, bescheidenen Budgets zu arbeiten. Und für das nochmalige Drehen von Stalker (ein Großteil des Films wurde angeblich bei der Bearbeitung völlig ruiniert) gelang es ihm, dafür genügend Geld herauszuhandeln.117 Während der Dreharbeiten selbst fand eine bemerkenswert geringfügige Beaufsichtigung durch das Studio oder durch Goskino statt, da sich von ihnen nie jemand vor Ort befand, um die genaue Umsetzung des Drehbuchs zu überprüfen. TARKOVSKIJ war bekannt dafür, seine Drehbücher umzuschreiben, so daß der Unterschied zwischen dem genehmigten Entwurf und dem Endprodukt sehr groß war. Am Drehort hatte er die alleinige künstlerische Kontrolle, obwohl finanzielle Zwänge die Arbeit häufig erschwerten.
[96] TARKOVSKIJs ernste Probleme begannen gewöhnlich mit dem Vorlegen seines fertigen Films, der, wie das Drehbuch auch, seinen Weg durch die Studiobürokratie sowie durch Goskino mit seinen Behörden und dem Vorsitzenden zu nehmen hatte, der die Annahme unterzeichnen mußte und dem Film eine Kategorie für die Veröffentlichung gab. Dieser Weg war jedoch sehr heikel im Hinblick auf die Form des Films sowie auf seine (nicht notwendigerweise stattfindende) Veröffentlichung: Andrej Rublëv wurde zwar angenommen, aber nach dem losbrechenden Skandal beiseite gelegt.118 Auf beinahe jeder Stufe im Annahmeprozeß konnte der Regisseur gebeten werden - und TARKOVSKIJ wurde das immer -, Schnitte oder Änderungen durchzuführen, womit die Veröffentlichung des Film aufgehalten wurde. Anders als die meisten Regisseure war TARKOVSKIJ hier sehr kompromißlos: Obwohl er nur geringfügige Änderungen durchführte, erreichte er es dennoch, daß der Film akzeptiert wurde. Da die Annahme und Kategorie des Films sowohl die Tantiemen des Drehbuchautors als auch die finanziellen Prämien und Preise bestimmten, die dem ganzen Produktionsteam (das abgesehen von einem geringen Basislohn kein Geld erhielt, solange der Film nicht veröffentlicht war) zuerkannt wurden, forderte TARKOVSKIJs Beharrlichkeit in bezug auf die Unverletzlichkeit seiner Kunst einen großen emotionalen und finanziellen Tribut seiner Mitarbeiter. Seine Crew mußte ihm wirklich ergeben gewesen sein, wenn sie die Arbeit für jemanden fortsetzte, der mit ziemlicher Sicherheit mit jedem seiner Filme Probleme bekommen würde.119
[97] Obwohl TARKOVSKIJ oft über seine Behandlung bei Goskino und durch dessen Präsidenten klagte, griff er niemals die Kommunistische Partei selbst bzw. das Zentralkomitee an, von dem die eigentliche Macht in der Sowjetunion ausging.
[98] Wenn man das Naheverhältnis und die Überwachung der Filmindustrie durch die Partei historisch näher betrachtet, erscheint es nicht mehr so seltsam, daß sich der Sekretär der Kommunistischen Partei selbst mit jedem einzelnen Film beschäftigte. STALIN nahm ab Mitte der dreißiger Jahre eine zunehmend aktive Rolle im sowjetischen Filmgeschäft ein, indem er der wichtigste Zensor wurde. In der Nachkriegsperiode von 1946-53 wurde er außerdem der wichtigste Held in einer Vielzahl von schwülstigen "künstlerischen Dokumentarfilmen"- künstlichen und bombastischen Oden an den Stalinismus; der Stalin-Kult wurde weiters unterlegt von biographischen Filmen über historische russische Figuren.120 In dieser Periode wurden (wenn man von etwa dreißig Aufnahmen von Konzerten und Theaterstücken absieht) in der ganzen Sowjetunion nur 124 Spielfilme produziert. Das sowjetische Filmschaffen erreichte damit seinen niedrigsten Stand und kam in den Jahren 1951 und 1952, in denen weniger als 10 Spielfilme gedreht wurden, beinahe zum Erliegen.121
[99] STALINs Tod im Jahr 1953, gefolgt von NIKITA KRUSCEVs Verurteilung des Stalinismus am 20. Kommunistischen Parteitag im Jahr 1956, initiierte ein politisches und kulturelles "Tauwetter" von noch nie dagewesenen Ausmaßen. Ohne den sozialistischen Realismus abzulehnen, riefen Künstler zu Aufrichtigkeit, Wahrhaftigkeit und realistischerer Porträtierung des Alltags der bescheidenen Helden auf. Die Filmindustrie boomte: Studios und Kinos wurden gebaut, Drehbücher wurden in Auftrag gegeben und vielen jungen (und nicht so jungen) Regisseuren wurde erlaubt, ihren ersten Film zu drehen. Ab Mitte der Fünfziger stieg die Produktion von vierzig bis auf etwa hundert Filme pro Jahr in den Sechzigern.122 TARKOVSKIJ war in der glücklichen Lage, von 1954 bis 1960 am VGIK (Staatliches Allunions-Kino-Institut) zu studieren und sein Debüt im liberalsten politischen und kulturellen Klima seit den zwanziger Jahren zu geben. Der große Erfolg kam 1962, als er als jüngster sowjetischer Filmemacher einen großen internationalen Preis für Ivans Kindheit erhielt, nämlich den Goldenen Löwen von Venedig. Auch wenn der komplexe Stil des Films im Inland zu gemischten Rezensionen führte, etablierte ihn diese internationale Anerkennung sofort als einen wichtigen Regisseur. Aber die angenehme Zeit mit der Filmbürokratie war schnell vorüber, als die Tauwetter-Periode wieder zu Ende ging. KRUSCEV wurde 1964 von LEONID BREZNEV abgelöst, und TARKOVSKIJs zweiter Film, Andrej Rublëv, wurde im zunehmend konservativen politischen Klima und Anwachsen der ideologischen Kontrolle der späten sechziger Jahre gefangen: Der Film wurde zwar beinahe zweimal veröffentlicht, endete aber dann für fünf Jahre "im Regal".123
[100] Während der sogenannten "Periode der Stagnation"124, die bis in die frühen achtziger Jahre andauerte, wurden trotz all des offiziellen Nachdrucks auf stilistische und thematische Konformität TARKOVSKIJs eigenwillige Filme nicht verboten, was mit der Unvorhersagbarkeit des teilweise chaotischen Systems zusammenhing. Verglichen mit anderen Künstlern, deren Karrieren in den sechziger und siebziger Jahren stark beeinträchtigt wurden, scheint TARKOVSKIJ nach Andrej Rublëv eigentlich Glück gehabt zu haben. Gelegentliche Unterstützung von einflußreichen Leuten aus der Filmindustrie, insbesondere aus den Studios, ließen das Interesse ausländischer Verleiher andauern. Außerdem erhöhte eine Serie an ausländischen Auszeichnungen seinen Stand in seiner Heimat und war ein wichtiger Faktor, während dieser Periode der Stagnation mit dem Drehen weitermachen zu können, obwohl seine Filme berüchtigt "schwierig" waren und Goskino sie nur ungern und nach verbittert geführten und langen Debatten veröffentlichte.125
[101] TARKOVSKIJs Karriere ist in vieler Hinsicht ein Paradoxon: Nach Ivans Kindheit mußte er für jeden Film kämpfen, um die Hindernisse zu überwinden, die ihm weiterhin in den Weg gelegt wurden, und viele geplante Projekte (z.B. DOSTOJEVSKIJS Der Idiot) konnten niemals ausgeführt werden. Trotzdem wurde jeder Film letztendlich in einer Form veröffentlicht, die im wesentlichen seinen ursprünglichen künstlerischen Intentionen entsprach.126 Und er blieb eine respektierte und bewunderte Figur innerhalb der Filmindustrie, auch als er sich lautstark über die bürokratischen Hindernisse beklagte. TARKOVSKIJ sah sich in seinen letzten Jahren sicherlich als Märtyrer und half, bewußt oder nicht, den Mythos seiner Verfolgung zu nähren, was offensichtlich ziemlich unkritisch von wohlmeinenden Kritikern aus dem Ausland so akzeptiert wurde127 (und nach seinem Tod kräftig für den Heimgebrauch aufgewärmt wird). Auch wenn man die übersteigerte Version eines Martyriums zurückweist, gibt es keinen Grund dafür, die sehr realen Probleme und Opfer, die er für seine Kunst auf sich nahm, nicht anzuerkennen: Trotz der heftigen bürokratischen Hindernisse, die ihm in den Weg gelegt wurden, drehte er ohne Kompromisse in der Sowjetunion fünf herausragende Spielfilme.
[102] TARKOVSKIJs frühe Filme, Die Dampfwalze und die Geige und Ivans Kindheit, sind beide zum Sowjetkino der liberalen Tauwetter-Periode der späten fünfziger und frühen sechziger Jahre zu zählen. Sein Diplomfilm Die Dampfwalze und die Geige spiegelt die Popularität von Kinderfilmen in den frühen Sechzigern wieder. Ivans Kindheit entspricht genau, zumindest thematisch, einem der populärsten Genres - dem Kriegsfilm - und profitierte von den heimischen und internationalen Erfolgen von Vorgängern wie GRIGORIJ CUKRAJs Ballade eines Soldaten (1959), MIHAIL KALATOZOVs Die Kraniche (1957) und SERGEJ BONDARCUKs Schicksal eines Mannes (1959). Doch Ivans Kindheit führte deutlich die stilistischen Experimente im "poetischen Film" von MIHAIL KALATOZOV und seinem Kameramann SERGEJ URUSEVSKIJ weiter, wenn er auch wie sie auf die Untersuchungen zur Montage und Mise en Scène der zwanziger Jahre zurückgriff.128 Während TARKOVSKIJ normalerweise den Einfluß sowjetischer Filmemacher auf seine Arbeit leugnete, gestand er in seinen Interviews und Schriften ohne weiteres die Bedeutung von ALEKSANDR DOVZENKO - einem "Poeten", der durch die lange Einstellung die reine visuelle Schönheit des filmischen Bildes erforschte.129 Wenn er auch gegen die intellektuelle Montage EISENSTEINs argumentierte, kannte TARKOVSKIJ doch seine Theorien über die räumlichen Beziehungen innerhalb des Bildes und zwischen den Szenen sowie über den Gebrauch des Tons sehr genau und war auch durch sie beeinflußt (speziell in Ivans Kindheit und Andrej Rublëv). Während man stilistische Inspiration in den Experimenten der zwanziger Jahre suchte, wiesen Literatur und Film der Tauwetter-Periode den starren sozialistischen Realismus der dreißiger Jahre mit seinen stereotypen Helden zurück und forderten statt dessen Aufrichtigkeit, Wahrhaftigkeit und die Darstellung realer, individueller Menschen.130 TARKOVSKIJs Ivan ist ein Beispiel dieses neuen "Heldentypus´": ein vielschichtiger, fehlerhafter Mensch in der Gewalt von unkontrollierbaren Kräften.
[103] Während Ivans Kindheit mit anderen Filmen dieser Periode verglichen werden kann, ließ sich TARKOVSKIJ mit Andrej Rublëv stilistisch und thematisch auf neue künstlerische Wege ein, so daß direkte Vergleiche mit anderen Filmen dieser Zeit kaum zielführend sind. Der Film hob sich schon allein im Hinblick auf den pompösen nationalistischen Pathos der anderen zeitgenössischen historischen Epen - wie zum Beispiel SERGEJ BONDARCUKs Krieg und Frieden (1967) - von ihnen ab; und aufgrund seines monumentalen Ausmaßes kann er kaum mit den für diese Periode typischen, mehr persönlichen, sogar intimen Filmen verglichen werden. Von Anfang an war Andrej Rublëv ein Film, der nur schwer zu kategorisieren war - einerseits wurde er begeistert aufgenommen, andererseits wurde er verschmäht. Gemäß einem bekannten Kritiker der "Sechziger", LEV ANNINSKIJ, eher für das, was er nicht war, als für das, was er war. Im Rückblick meint ANNINSKIJ, daß Andrej Rublëv der wesentliche Film der Sechziger war, ein Vereinen und unerschrockenes Weiterführen der Themen der Sechziger zu ihren Extremen: das Tragische des Individuums; die Ablehnung von Stereotypen und Regeln; der Versuch, das Poetische und das Naturalistische, den dokumentarischen Realismus und die intellektuelle Analyse zu verbinden.131 Er war ein wirklich "nationaler Film" und ein Vorläufer der wiederkehrenden Ideologie des russischen "Bodens", die in der Heimatdichtung und den Filmen der späten sechziger und siebziger Jahre so populär wurde.
[104] Heute wird von den russischen Kritikern weithin anerkannt, daß - beginnend mit Andrej Rublëv - TARKOVSKIJs Arbeit nicht nur wegen dem zunehmend konservativen politischen und ideologischen Klima der BREZNEV-Ära mißverstanden und kritisiert wurde. Er war den bestehenden stilistischen und thematischen Konventionen seiner Zeit voraus und brach die Regeln der bestehenden Genres: In Andrej Rublëv ist nichts vom künstlichen, selbstzufriedenen und schwülstigen Prunk des sowjetischen Historienfilms erkennbar. Auch innerhalb des sichereren und populären Science-Fiction-Genres, wie bei Solaris, verzögerte er die Handlung durch lange Einstellungen und langsame Kamerabewegungen.
[105] Während der Periode der Stagnation, die durch meist einfach gebaute, realistisch-soziale Dramen, Komödien und Bildschirm-Adaptionen von populären literarischen Klassikern gekennzeichnet war,132 schockierte TARKOVSKIJs Spiegel die Zuseher durch stilistische Komplexität und unerschrockene Subjektivität - erst aus heutiger Sicht liegt in der Ablehnung realistisch linearer Erzählweise und im Experiment mit dokumentarischen Filmlängen die wahre Wirkung dieses Films. Stalker, der letzte Film TARKOVSKIJs, der in der Sowjetunion gedreht wurde, bringt die spirituelle und religiöse Sorge und Kritik bezüglich der Entwicklungen in unserer technologischen, materialistischen Welt zum Ausdruck. Innerhalb der russischen Filmszene wurde Stalker eine Art Kultfigur und Kultfilm, der eine Vorahnung von Cernobyl` und dem ökologischen, sozialen und moralischen Zusammenbruch vermittelt. Für viele jedoch (speziell für die neue Generation von Regisseuren, die darauf brennen, Hollywoods "Formel für den Erfolg" zu finden) scheint TARKOVSKIJ ein Teil der kreativen Rebellion der Vergangenheit zu sein und nicht jemand, der den Weg in einer verrückten, unsicheren, einschüchternd freien Gegenwart zeigen kann, in der sie sich selbst befinden. So können oder möchten nur eine Handvoll der gegenwärtigen Regisseure (z.B. IVAN DIKHOVICNIJ und KONSTANTIN LOPUSANSKIJ) mit ihm in Zusammenhang gebracht werden, obwohl viele offen seine Bedeutung als ein moralisches Vorbild eingestehen und seine schöpferischen Visionen bewundern.133
4.2. Biographische Hinweise zu ANDREJ TARKOVSKIJ134
[106] Die jahrelangen Behinderungen TARKOVSKIJs bei seiner Arbeit und sein Tod im Exil haben einen Mythos geschaffen, der von seinen ehemaligen Mitarbeitern (u.a. LAJLA ALEKSANDR, MICHAL LESZCZYLOWSKI, ...) und seiner Familie stark forciert wird. Jedoch entstehen durch das teilweise Aufgreifen zusammenhangsloser Daten manchmal pseudobiographische Interpretationen seiner Filme, die am Film selbst vorbeigehen und nur weiter zur Legendenbildung beitragen.135 Die Familienmitglie-der, Freunde und Mitarbeiter, die Memoiren verfassen, verharren in Ehrfurcht vor TARKOVSKIJ und vermerken jede schlechte Behandlung, die er seitens der Bürokra-ten erfuhr.136 Privat wird er von Leuten, die ihn gut kannten, als brillante, unglaub-lich komplexe Person mit sado-masochistischen Tendenzen beschrieben, die viele ihrer persönlichen Dämonen auf der Leinwand bekämpfte. Seine Bisexualität zum Beispiel ist in der extrem homophoben russischen Gesellschaft ein gut gehütetes Geheimnis geblieben. Da TARKOVSKIJ selbst so häufig auf der Untrennbarkeit seiner Kunst von seinem Leben bestand, wird eine nähere Betrachtung seiner Persönlichkeit, Erziehung und Familiengeschichte eine reichhaltigere Interpretation ermöglichen.
[107] TARKOVSKIJ wurde am 4. April 1932 im Dorf Zavraz`e an der Wolga in eine gebildete Familie der sogenannten alten russischen Intelligenzija hineingeboren. Sein Vater ARSENIJ TARKOVSKIJ war ein unpublizierter Dichter, der seinen Lebensunterhalt als Übersetzer verdiente, während seine Mutter MARIJA IVANOVNA VISNJAKOVA als Redakteurin für den Ersten Staatlichen Verlag in Moskau arbeitete. Seine Eltern zogen für die Geburt aufs Land, weil IVANOVNAs Stiefvater Arzt war, der in diesem Dorf lebte und arbeitete. Das Tagebuch, das sie während der ersten Monate nach ANDREJs Geburt führte, zeigt eine glückliche Familie mit einem lauten, manchmal schwierigen Baby. Aber dieser idyllische Zustand währte nur bis Juni, bis zu dem Zeitpunkt, zu der sein Vater zur Arbeit nach Moskau zurückkehrte und das Tagebuch seiner Mutter endete. Zahlreiche Kritiker betonen, daß TARKOVSKIJs Liebe zu Natur daher rührt, daß er seine Kindheit am Land verbracht habe. Aber diese Periode scheint sehr kurz gewesen zu sein: Im Dokumentarfilm von DONATELLA BAGLIVO Un poeta nel cinema erzählt TARKOVSKIJ, daß er die ersten zwei oder drei Jahre seines Lebens am Land verbrachte und während des Krieges für einige Zeit dorthin zurückkehrte. Genau betrachtet waren die TARKOVSKIJS Stadtmenschen und wie so viele Moskauer Sommergäste am Land, das sie liebten und idealisierten.
[108] Als ANDREJ vier und seine jüngere Schwester erst zwei Jahre alt waren, trennten sich ihre Eltern und ließen sich später scheiden. Ihr Vater heiratete wieder, während ihre Mutter unverheiratet blieb und sich ganz ihrer Arbeit sowie ihren Kindern widmete. In allen Berichten, die JOHNSON und PETRIE über sie sammelten, wird sie als eine unabhängige und "starke" Persönlichkeit beschrieben. Als TARKOVSKIJ nach der Rolle der Frauen in seinem Leben gefragt wurde, gab er an, in einem gänzlich matriarchalen Haushalt mit Großmutter, Mutter und Schwester aufgewachsen zu sein. Die Beziehung zwischen seinen Eltern blieb herzlich, und ANDREJ war öfters bei seinem Vater. Doch der Grund für die Scheidung scheint ein Tabuthema gewesen zu sein.
[109] Während des Zweiten Weltkriegs zog die Familie aus Moskau in die Provinzstadt Jur`evec, während der Vater ARSENIJ an der Front war. TARKOVSKIJ erinnert sich an den Krieg als eine Zeit des Wartens: auf das Ende des Krieges und auf die Rückkehr des Vaters. Er selbst gehörte jener Generation an, die die Opfer der Väter, die im Krieg kämpften, bewunderten. Als daher sein Vater nach dem Verlust eines Beines und mit einem Orden zurückkam, dürfte er mit anderen seines Alters die Liebe und den Stolz auf die Väter geteilt haben. Doch kam es nicht zu einer - von ANDREJ erhofften - Wiedervereinigung der Familie.
[110] Wie bei den meisten gebildeten Moskauern gab es auch bei den TARKOVSKIJs eine große Anzahl an Klassikern der russischen Literatur (speziell Werke von PUSKIN, TURGENEV und TOLSTOJ, wie auch Kinderbuchautoren wie MRSAK und CUKOVSKIJ), die MARIJA IVANOVNA schon sehr früh ihren Kindern vorlas. Seine Schwester erinnert sich, daß der junge ANDREJ nur dann ruhig war, wenn er las. Ihre Mutter nahm sie zu Konzerten und in die Oper mit, und ANDREJ entwickelte eine Liebe zu CAJKOVSKIJ und zur russischen Musik, später auch zu BEETHOVEN, MOZART und, was in bezug auf seine Filme sehr wichtig ist, zu BACH. MARIJA IVANOVNA hat als Studentin am Institut für Literatur Gedichte geschrieben, doch sie beendete nie ihre Ausbildung, sondern wurde Redakteurin. Vielleicht sah sie ihren Sohn dazu bestimmt, ihre eigenen verfehlten Ambitionen zu erfüllen, ebenso wie der Kreativität seines Vaters gleichzukommen. TARKOVSKIJs jugendliche Rebellion gegen die "kultivierte" matriarchale Umgebung hat auch Eingang in seinen Diplomfilm, Die Dampfwalze und die Geige, gefunden. Später hat TARKOVSKIJ zugestimmt, daß seine Mutter verantwortlich dafür war, daß er Künstler wurde.137
[111] Als Jugendlicher und junger Mann bevorzugte ANDREJ die Gesellschaft des Vaters: Sie lasen zusammen Kunstbücher und hörten sich Musikstücke aus seiner wunderbaren Platten-Sammlung an. ARSENIJ verstand es, seine Gedichte eindrucksvoll vorzutragen. ANDREJ idolisierte diesen eleganten, stattlichen Mann, von dem er den Sinn für die "schöneren" Dinge des Lebens "geerbt" hatte: er schätzte modische Kleidung, schöne Schreibfedern und Bücher. JURIJ KOCEVRIN, ANDREJs Schulfreund, erinnert sich, daß er immer eine Sammlung von Gedichten seines Vaters mit sich trug. In welchem Ausmaß der Vater wirklich die Bewunderung des Sohnes erwiderte, ist nicht bekannt, aber im autobiographischen Film Spiegel spielt der Vater eine abwesende und distanzierte Figur, die der Sohn sichtlich vermißt. Während sein Vater die Familie immer finanziell unterstützte, waren seine Besuche auf Geburtstage und andere Familienfeiern beschränkt. Wieder und wieder erklären Freunde die Trennung ARSENIJs von der Familie als das wesentliche Trauma der Kindheit ANDREJs. Aber scheinbar hat dieser die Schuld nicht allein seinem Vater gegeben, mit dem ihn eine engere persönliche Beziehung verband als mit der Mutter.138 Im autobiographischen Spiegel dürfte die Rationalisierung TARKOVSKIJs für die Handlungen seines Vaters zum Ausdruck kommen: Es wird die zurückhaltende und emanzipierte Art der Mutter als mögliche Erklärung angeführt. TARKOVSKIJs Mutter war zweifellos eine sehr starke, selbstbewußte und unsentimentale Frau, die, obwohl auch als schön, genauso als "unweiblich" und "kalt" beschrieben wird. Anders als der Vater kümmerte sich seine Mutter wenig um materielle Dinge und zog es vor, ihren geringen Verdienst für ANDREJs Unterricht und das Theater zu verwenden. Seine Schwester MARINA nannte sie eine "Nihilistin" und verwies auf die emanzipatorischen Frauen des 19. Jahrhunderts, die ihre traditionelle weibliche Rolle zurückwiesen, um Revolutionärinnen und Terroristinnen zu werden.139
[112] Nachdem TARKOVSKIJ 1951 die Schule beendet hatte, trat er zuerst in das Institut für Ost-Studien ein, nicht nur weil er am Osten interessiert war, sondern auch weil es eine elitäre Institution mit Prestige war. Doch seine anfängliche Begeisterung verschwand schnell, als er mit der Aussicht auf kleinliche, viel Zeit in Anspruch nehmende Studien konfrontiert wurde. Er verließ das Institut im zweiten Jahr, woraufhin seine Mutter ihn nach Sibirien schickte, damit er bei einer geologischen Expedition mitarbeite. Er empfand diese Monate als sehr angenehm, da er dort die Möglichkeit hatte, über seine Zukunft nachzudenken: Er kam mit der Absicht zurück, am VGIK Regie zu studieren.
[113] 1954 wurde er von MIHAIL ROMM neben 14 weiteren aus einigen hundert Anwärtern ausgewählt, um bei ihm zu studieren. Während ROMM im Westen meist durch seine Filme über LENIN und andere orthodoxe Kommunisten bekannt war, wird er von vielen sowjetischen Filmgelehrten als eine tragische Figur verstanden. Er war ein Intellektueller mit einem breiten Interessensgebiet, ein hervorragender Lehrer und ein großer Regisseur, der letztendlich mit über sechzig Jahren eine völlige kreative Umwandlung durchmachte, indem er aus dem Konformismus ausbrach und zwei kraftvolle, humanistische Filme drehte: Neun Tage eines Jahres (1962) und Der gewöhnlicher Faschismus (1965).140 Da TARKOVSKIJ vor diesem kreativen Neuanfang bei ROMM studierte, stellt sich die Frage, was er vom Regisseur von Lenin im Oktober (1937) gelernt haben konnte. ROMMs grundlegende Einstellung war, daß es in der Tat unmöglich sei, jemandem das Filmemachen zu unterrichten. TARKOVSKIJs Studienkameraden, seine erste Frau und sein Freund ALEKSANDR GORDON, erinnern sich, daß ROMM, anders als die meisten anderen Professoren des VGIK, seine Studenten ermunterte, an sich selbst zu denken, um ihren individuellen Stil zu entwickeln und auch seine Arbeit zu kritisieren. TARKOVSKIJ blühte in dieser ungezwungenen, kreativen Atmosphäre, die für das schwerfällige und konservative VGIK ungewöhnlich war, auf. ROMM war von TARKOVSKIJs außergewöhnlichem Talent überzeugt und unterstützte ihn stark bis zu seinem Tod 1971. In der häufig berichteten Geschichte von der Erstaufführung von TARKOVSKIJs erstem Film, Ivans Kindheit, ermahnte ROMM ein Publikum von professionellen Filmemachern und Kritikern, das neue Talent zu erkennen und "sich den Namen: TARKOVSKIJ zu merken".141
[114] Der beinahe unverzügliche Erfolg seines ersten Filmes machte TARKOVSKIJ zu einer öffentlichen Person, doch Einzelheiten seines Privatlebens waren nur schwer zugänglich. Es wurden kaum biographische Informationen veröffentlicht, und wenn, dann nur im Zusammenhang mit seiner Arbeit an einem Film. Besonders in der ausländischen Presse wurde auf seine Kämpfe mit einer ignoranten Bürokratie und das dadurch erlittene Leid hingewiesen.142 Sowjetische Kritiker vermieden generell alles außer den grundlegendsten biographischen Informationen und beschäftigen sich auch nach dem Wegfall der ideologischen und sozialen Zwänge nur mit Widerwillen mit dem Privatleben TARKOVSKIJs und seiner komplexen Persönlichkeit. Während im Westen das Privatleben berühmter Persönlichkeiten ein bevorzugtes Thema mancher Medien ist, existierten in der Sowjetunion bis vor kurzem keine solchen Boulevardzeitungen. Außerdem berichten JOHNSON und PETRIE, daß die Freunde, Kritiker und Mitarbeiter, die TARKOVSKIJ gut kannten, sich dagegen gesträubt hatten, offen über ihn zu erzählen - ob aufgrund natürlicher Verschwiegenheit, persönlicher Loyalität oder des Wunsches, das öffentliche Image des großen, gequälten Künstlers zu erhalten.143
[115] TARKOVSKIJs erstmals von seiner zweiten Frau LARISSA veröffentlichtes Tagebuch Martyrolog beinhaltet nur eine Auswahl vom inhaltsreichen Tagebuch (zwölf große Bände und vier kleinere), das er von 1970 bis zu seinem Tode führte.144 Sie ließ nicht nur bestimmte Informationen aus TARKOVSKIJs Privatleben und verletzende Charakterisierungen vieler seiner Zeitgenossen weg, sondern sieht es auch als ihr Ziel, die "sogenannten Freunde und Studenten", die, so behauptet sie, die Wahrheit über TARKOVSKIJ verdrehen und verfälschen würden, zu bekämpfen, um ihn "mit seiner eigenen Stimme, seinen eigenen Worten zu den Lesern sprechen zu lassen".145 Der weit zurückreichende Spalt zwischen TARKOVSKIJs zweiter Frau (und TARKOVSKIJ selbst, als er noch lebte) und seiner Schwester MARINA hat eine gespannte, konkurrenzierende Atmosphäre erzeugt, in der die "Wahrheit" über TARKOVSKIJs Person, Leben und Arbeit sehr selektiv und subjektiv wurde.
[116] Wie bereits angedeutet wurde, war TARKOVSKIJ zwei Mal verheiratet. Seine erste Frau wurde 1957 seine Studienkollegin IRMA RAUSCH, während sie noch Studenten am VGIK waren. Er verließ sie und seinen Sohn (ARSENIJ, geb. 1962) während der Dreharbeiten zu Andrej Rublëv und ging eine Beziehung mit LARISSA PAVLOVNA EGORKINA ein, einer Assistentin, die am Film mitarbeitete. IRMA RAUSCH scheint von ihrer Art her TARKOVSKIJs Mutter, mit der sie auch noch nach der Trennung in engem Kontakt stand, ähnlich gewesen zu sein. Beide Frauen werden als unabhängig, selbstbewußt, emotional reserviert und auch etwas distanziert beschrieben. LARISSA hingegen hatte eher eine fürsorgliche Ader: Am Set von Andrej Rublëv wurde sie seine Betreuerin und pflegte ihn, als er bei einem Sturz vom Pferd verletzt wurde. Sie setzte diese Rolle während des gesamten Zusammenlebens fort, und er wurde in allen praktischen Belangen von ihr abhängig; was sich in einer auch in der Öffentlichkeit stürmischen Beziehung äußerte. Sie heirateten 1970, und ihr Sohn ANDREJ wurde im selben Jahr geboren. Ähnlich wie sein Vater, hatte auch er eine enge Beziehung zu seiner ersten Familie. Er besuchte sie zwar immer wieder, jedoch vernachlässigte er ARSENIJ; er lebte bis zu seinem Tod mit seiner zweiten Frau, die nach seinem Tod die "Bewahrerin" seines persönlichen und beruflichen Rufes blieb und die "Tatsachen" seiner Biographie und die Form seiner posthumen Karriere zu schützen versuchte.
[117] Obwohl sich die Beziehungen zu seiner Mutter und seinen beiden Frauen deutlich in seinen Filmen widerspiegeln, haben die sowjetischen Kritiker die Tendenz dazu, die direkte autobiographische Übereinstimmung zu weit zu führen. OL`GA SURKOVA meint, daß TARKOVSKIJ in der Tat eine Pseudo-Autobiographie produziere, indem er selbst von sich ein Image als Künstler schaffe, sich aber nicht als normalen Mann verstehen könne.146 In seine Filmen wird die weibliche Sexualität kaum behandelt, und Frauen werden nur in ihrer versorgenden, unterstützenden Rolle als Ehefrau und Mutter in einem positiven Licht dargestellt.
[118] Die Abwesenheit des Vater ist nicht nur in dieser Hinsicht von Bedeutung, sondern auch bezüglich der kreative Antriebskraft TARKOVSKIJs. In gewisser Weise mußte er nach der Liebe eines Vater, der ihn im Stich gelassen hatte, getrachtet haben, und in beruflicher Hinsicht versuchte er, seinen Vater nachzuahmen und sich mit ihm zu messen - so wurde er zu einem "Poeten im Kino". Es gibt in der Tat einen engen Zusammenhang zwischen TARKOVSKIJs Bildersprache und den Gedichten seines Vaters, wie auch von russischen Kritikern festgestellt wurde.147 So wurden beide im selben Jahr, 1962, berühmt, als der erste Gedichtband des Vaters veröffentlicht und der erste Spielfilm TARKOVSKIJs uraufgeführt wurde. Vielleicht war die Unnachgiebigkeit im Kampf für seine Filme eine Reaktion auf die Erfolglosigkeit des Vaters, seine Gedichte zu veröffentlichen. Trotz TARKOVSKIJs Behauptung, daß sein Vater der größte zeitgenössische russische Dichter wäre, war er in Wirklichkeit "nur" ein sehr guter Lyriker und wurde von der etwas älteren Generation, wie MANDEL`STAM, AHMATOVA, und PASTERNAK, überschattet.
[119] Es steht außer Frage, daß TARKOVSKIJ von seiten der Bürokraten starke Feindseligkeit entgegengebracht wurde, dennoch kämpfte er weiter und versuchte trotz geringer Chancen seine kreativen Konzepte zu verwirklichen. Das jeweilige Katz-und-Maus-Spiel bei der Erlaubnis oder Verweigerung eines Films und die bewußte emotionale Grausamkeit, seinen Sohn - nach seinem Beschluß, im Westen zu bleiben - nicht ausreisen zu lassen, sind sicherlich unverzeihlich und verhalfen dazu, ein Gefühl der Verfolgung zu bestärken, das er in den letzten Jahren seines Lebens so heftig empfand. In der Sowjetunion brauchte nach der relativ schnellen Fertigstellung von Ivans Kindheit jeder seiner Filme Jahre, bis er an die Öffentlichkeit gelangen konnte, und viele Projekte - darunter auch potentielle Erfolge - wurden zu Fall gebracht, wie etwa DOSTOJEVSKIJs Der Idiot. Während dieser Zeit erhielt TARKOVSKIJ aber auch mehr Auszeichnungen und ausländische Anerkennungen als irgendein anderer zeitgenössischer sowjetischer Regisseur. In seinem Tagebuch listete er 23 internationale Preise auf: Die bedeutendsten Preise waren der Goldene Löwe von Venedig für Ivans Kindheit (1962), der Donatello Preis (1980) und die Preise in Cannes für Andrej Rublëv, Solaris, Stalker, Nostalghia und Opfer.
[120] Zu einer Zeit, zu der Auslandsaufenthalte nur öffentlich anerkannten Künstlern gestattet waren, konnte TARKOVSKIJ Dank seiner internationalen Preise in den siebziger und frühen achtziger Jahre etliche Reisen, unter anderem nach Italien, Frankreich, Schweden und Großbritannien, unternehmen. Er war einer der wenigen Regisseure, denen es erlaubt war, mit dem Westen Koproduktionen durchzuführen; und zwischen 1979 und 1983 machte er einige Reisen nach Italien, um einen Dokumentarfilm (Viaggio en Italia 1979) und später einen Spielfilm (Nostalghia 1983) zu planen und zu drehen. In den späten siebziger Jahren war TARKOVSKIJ ein hoch geachteter, wenn auch kontroversieller Regisseur. Er brachte 1977 in Moskau Hamlet auf die Bühne, durfte Stalker (1977-1978) ein zweites Mal drehen und hielt 1981 bis 1982 Vorlesungen für Drehbuchautoren und Regisseure bei Goskino.148
[121] Die offensichtlichste ''Verfolgung'' fand statt, als er den Film Nostalghia beendet hatte und um ein Visum und die Erlaubnis für Dreharbeiten im Ausland ansuchte. Obwohl LARISSA ihn letztendlich doch in Italien besuchen durfte, konnten sein Sohn ANDREJ und die Familienmitglieder LARISSAs nicht die Sowjetunion verlassen. Während TARKOVSKIJ auf die offizielle Antwort wartete, ging er einigen Möglichkeiten nach, die ihm den Weg in den Westen ermöglichen könnten. Er wohnte dem Telluride Film Festival in Colorado als Gast bei, führte Regie bei MUSSORGSKIJs Oper Boris Godunov im Covent Garden Theatre (mit CLAUDIO ABBADO als Dirigent) und verhandelte wegen seinem letzten Film Opfer. Als die offizielle Erlaubnis für die Arbeit im Westen nicht kam, entschied er sich zu einem schwerwiegenden Schritt: Bei einer Pressekonferenz in Italien im Juli 1984 gab er seine Absicht, im Westen zu bleiben, bekannt. Dabei gab er an, daß er kein Dissident sei, sondern diesen Schritt aus Motiven der künstlerischen Freiheit und der wirtschaftlichen Notwendigkeit machen würde. Im Westen wurden Komitees gegründet, um die sowjetische Regierung unter Druck zu setzten, damit sie seine Familie ausreisen lassen. Doch dies geschah erst, nachdem Ende 1985 bekannt wurde, daß sich TARKOVSKIJ im Endstadium eines Krebsleidens befand. Seinen letzten Film, Opfer, hatte er bereits fertiggestellt und schon wieder weitere Projekte im Kopf - Hoffmanniana, Die Versuchung des hl. Antonius, eine virtuelle wortlose Version von Hamlet und auch Das Neue Testament. Er kämpfte gegen den Krebs indem er schmerzvolle Chemotherapien über sich ergehen ließ, suchte nach alternativen Heilmethoden und plante neue Filme. Am 29. Dezember 1986 starb er im Alter von 54 Jahren in Paris, wo er auch begraben wurde.
4.3. Theoretische Positionen ANDREJ TARKOVSKIJs
[122] TARKOVSKIJs Zugang zu Filmen war seiner Aussage nach zwar durch die staatliche Kontrolle begrenzt, jedoch konnte er als Student am Filminstitut149 durchaus neben den offiziell bewilligten ein ziemlich großes Spektrum klassischer ausländischer Filme sowie die inoffizielle Sammlung des sowjetischen Kinos kennenlernen (u.a. amerikanische Stummfilm-Komödien, Filme von JOHN FORD [z.B. The Grapes of Wrath], Citizen Kane von ORSON WELLES [dieser Film hinterließ einen großen Eindruck], WILLIAM WYLERS The Little Foxes, die französischen ''poetischen Realisten'' der dreißiger Jahre, JEAN RENOIR und JEAN VIGO, die italienischen Neorealisten und die ''Polnische Schule'' von ANDRZEJ WAJDA und ANDRZEJ MUNK).150
[123] Verschiedenste Interviews und Aussagen in seinem Buch Die versiegelte Zeit legen nahe, daß TARKOVSKIJ schon früh jene Regisseure gefunden hatte, die ihm bewundernswert erschienen und denen er bis zuletzt "treu" blieb: BRESSON, BERGMAN, FELLINI, ANTONIONI, DOVZENKO, KUROSAWA, BUÑUEL und MIZOGUCHI. Auch werden COCTEAU, RENOIR, VIGO, CHAPLIN, WELLES und FORD genannt, sowie unter seinen sowjetischen Zeitgenossen PARADZANOV und IOSELIANI. Mit EISENSTEIN verband ihn ein "Haßliebe": TARKOVSKIJ lehnte seine ''despotische'' Haltung zum Publikum151 und seine kalte Intellektualisierung des Bildes152 ab, doch konnte er Ivan dem Schrecklichen seine Achtung nicht verwehren153 und hat die von diesem Film gewonnen Eindrücke in seine eigene Arbeit integriert (v.a. in Beziehung auf Andrej Rublëv). Dieser Auswahl liegt als Grundtendenz die Wertschätzung von Regisseuren zugrunde, die ernsthaft, engagiert und kompromißlos sind und deren Arbeit einen sofort erkennbaren persönlichen Stil aufweist154- alles Eigenschaften, die TARKOVSKIJ auch mit sich und seinen eigenen Filmen verband. Er lehnte Film als "Entertainment" ebenso wie den kommerziellen Aspekt ab, durch den er dessen Integrität als eine seriöse Kunstform gefährdet sah.
[124] Für ihn war es wichtig, seine bevorzugten Regisseure auf die selbe Stufe mit jenen Dichtern, Malern und Komponisten stellen zu können, die er am meisten bewunderte. Jedoch hatte er auch Zweifel ''(...) ob die Filmkunst tatsächlich schon solche Persönlichkeiten hervorgebracht hat, die sich mit den Schöpfern der Meisterwerke der Weltliteratur messen könnten.''155 Diejenigen Regisseure, die er in die Reihe der ernsthaften Künstler zu stellen bereit war, nannte er ''Poeten des Kinos" (was für ihn bedeutete, daß sie ihre eigene innere Welt zu schaffen vermochten). Auch wenn das Bedürfnis, auf ihre inneren Dämonen zu hören, sie relativ unpopulär machte, verrichteten sie nach seiner Meinung einen viel wertvolleren Dienst am Publikum als diejenigen, die sich einfach dem Geschmack des Massenpublikums anpaßten.156 Besonders bewunderte TARKOVSKIJ - wie in Kommentaren zu BERGMAN, BRESSON, KUROSAWA, BUÑUEL und anderen zu erkennen ist - die Fähigkeit, eine Bildsprache, die die Realität der materiellen Welt respektiert und gleichzeitig transzendiert zu schaffen.157 In mancher Hinsicht könnte über den Einfluß anderer Regisseure auf TARKOVSKIJ diskutiert werden; jedoch ist er im wesentlichen seinen eigenen Weg gegangen und hat einen sehr persönlichen Filmstil entwickelt (er selbst behauptete mehrmals, daß seine Film sui generis seien).
[125] Auf diesem Weg verfaßte er von Beginn an etliche theoretische Artikel zu Kunst und Film, die schließlich im Buch Die versiegelte Zeit zusammengefaßt und präsentiert wurden. TARKOVSKIJs darin vertretene theoretische Position kollidiert mit der in Nordamerika und Westeuropa geführten Theoriediskussion, die wesentlich von Dekonstruktionismus, Marxismus, Feminismus und Poststrukturalismus bestimmt wird. All diese Ansätze lehnen viele der Voraussetzungen, die TARKOVSKIJ als gegeben ansieht, ab. Oberflächlich betrachtet scheint er sich durch seinen freien und ungenierten Gebrauch von Termina wie "Genie", "Transzendenz", "spirituelle Vision", "Schönheit", "Wahrheit" und "spirituelle Schätze von zeitloser Bedeutung" als Erbe der "romantischen" Tradition zu erweisen, die im Westen weithin als unmodern gilt bzw. in Verruf geraten ist.158 Während des letzten Jahrzehnts wurde in der ästhetischen Diskussion die Vorstellung vom Künstler als einer gestaltenden und kontrollierenden Kraft, der in seiner Arbeit universal gültige Gefühle und Konzepte ausdrückt, zurückgewiesen. Kunstwerke oder "Texte" (wie sie dann bezeichnenderweise meistens genannt werden) werden nicht mehr wegen dem studiert, was ein Künstler uns zeigen kann, sondern wegen der Widersprüche und Täuschungen, die sie enthalten. Die "Bedeutung" liegt nicht darin, was der Künstler denkt, was er "sagen" will, sondern in der Vielzahl der möglichen Lesarten, die der "geistreiche" Kritiker herausarbeiten kann. In einem solchen Kontext erscheint das Denken TARKOVSKIJs natürlich bloß kurios und sogar etwas archaisch - ein Produkt der intellektuellen Isolation in der Sowjetunion. Jedoch unterschreiben sicherlich nicht alle wichtigen Filmkritiker der Gegenwart (z.B. DAVID BORDWELL und NOEL CARROLL) bedingungslos diese momentan weitverbreitetsten Auffassungen, .159 Außerdem hält PETER WUSS TARKOVSKIJ zugute, daß er "um der Gefahr der Verabsolutierung einzelner Kunstprobleme beziehungsweise der formalistischen Behandlung ihrer Teilmomente zu begegnen" diese Richtung der theoretischen Reflexion gewählt habe.160
[126] Zusätzlich sind als Hintergrund von TARKOVSKIJs Überlegungen die von 1956 enttäuschten Hoffnungen der sowjetischen Intellektuellen zu bedenken,161 die zu einer Identitätskrise und der Suche nach Alternativen (Religion, Anthroposophie, Mystik, Philosophie, das kontemplative Denken Asiens, ...) führten. Die in der Versiegelten Zeit belegte Abkehr von Versprechungen materialistisch-dialektischer und rational aufklärerischer Ideale ließ ihn mit etwas unkritischem Eklektizismus Alternatives selbst da aufgreifen, wo es in sich kontrovers war (u.a. stand eine starke Ablehnung westlicher Musik neben der fast kultischen Begeisterung für JOHANN SEBASTIAN BACH und GUISEPPE VERDI). Der diesen Widersprüchen gemeinsame Nenner ist mit dem Stichwort "Spiritualität" bzw. "mystische Geistigkeit" zu bezeichnen.
[127] Das Interesse für die Philosophie und Ästhetik der deutschen Romantik, das für FELICITAS ALLARDT-NOSTITZ dabei so zentral ist162 (und in TARKOVSKIJs letztem Arbeitsprojekt Hoffmanniana zum Ausdruck kommt), wird in der Versiegelten Zeit mit keinem einzigen Zitat signalisiert und scheint eher allgemeiner Art und über symbolistische Quellen vermittelt zu sein. Auf diese Quellen verweist auch der immer wieder betonte Gegensatz von Wissenschaft und Kunst, von Rationalem und Emotionalem:
In der Wissenschaft folgt das menschliche Wissen den Stufen einer endlosen Treppe, wobei immer wieder neue Erkenntnisse über die Welt an die Stelle der alten treten. Dies ist also ein stufenförmiger Weg mit einander aufgrund objektiver Detailerkenntnisse folgerichtig aufhebenden Einsichten. Die künstlerische Einsicht und Entdeckung entsteht dagegen als ein neues, einzigartiges Bild der Welt, als eine Hieroglyphe der absoluten Wahrheit.163
[128] Für TARKOVSKIJ ist eben dies der springende Punkt: Es geht um die grundsätzliche Kontroverse zweier Weltsichten, um die Kontroverse zwischen dialektischer Aufklärung und antirationaler Subjektivität. Seine Aussagen richten sich gegen den "Verlust des Geheimnisses" in der Kunst, gegen die Demonstration von strukturellem Materialbewußtsein und gegen konzeptionelle Verfahrensweisen. Seine Polemik postuliert demgegenüber einen grundsätzlich "spirituellen" und metaphysischen Charakter der Kunst, die sich aber sicherlich nicht gegen Innovation richtet. Im Gegenteil: gegenüber den etablierten Normen ist TARKOVSKIJs Arbeit ganz überaus innovativ, und zwar nicht nur auf filmsprachlich-formaler Ebene, sondern auch im Hinblick auf die Versteinerungen eines offiziellen Kunst- und Kulturbetriebs. Unabhängig davon, ob man TARKOVSKIJs Gedanken über Kunst nun als "altmodisch", "fehlgeleitet" oder "prophetisch" beurteilt, ist dieses Denken untrennbar mit den Filmen selbst verbunden, von denen es teilweise nachträglich hergeleitet wurde, teilweise dabei half, sie zu gestalten.
[129] Während seiner gesamten Karriere sah sich TARKOVSKIJ als Erbe einer speziell russischen Tradition des künstlerischen Genies mit ihrem Bewußtsein für die hohe Berufung des Künstlers und dem Opfer, das sie mit sich bringt. In einem Gedicht von PUSKIN, das er oftmals erwähnte, wird der Künstler "getrieben von des Geistes Gier" von einem sechsflügeligen Seraph, der ihm Augen und Ohren für die Wunder dieser Welt öffnet, schmerzvoll in einen Propheten verwandelt. Gottes Stimme fordert von ihm: "Steh auf, Prophet, und sieh und höre, / verkünde mich von Ort zu Ort. / Und wandernd über Land und Meere, / die Herzen brenn mit deinem Wort [gemeint ist das göttliche; Anm. d. V.].'"164 Der schaffende Künstler macht unweigerlich die Erfahrung, daß seine "Berufung" eher eine Quelle von Schmerz und Leid als von Freude ist: "(...) ein Künstler [vermag] das moralische Ideal seiner Zeit nur dann auszudrücken (...), wenn er vor deren blutigen Wunden nicht zurückschreckt, sie am eigenen Leibe, in sich selbst erfährt."165 TARKOVSKIJ betont, daß "der Künstler (...) ein Diener [ist], der sozusagen seinen Zoll für die Gabe entrichten muß, die ihm wie durch ein Wunder verliehen wurde."166 Die Idee des "leidenden" Künstlers, der Kunst als "Opfer" und des künstlerischen Talents als Geschenk Gottes, wie sie schon in PUSKINs "Prophet" präsentiert werden, waren häufige Themen der russischen Intellektuellen seit dem neunzehnten Jahrhundert, und TARKOVSKIJ wiederholte und betonte sie nochmals.
[130] Gegen Ende seines Lebens tritt der Aspekt des Unverständnisses immer stärker her-vor: Der Künstler (für TARKOVSKIJ anscheinend eine rein männliche Figur) ist die wahre Stimme der Menschen und drückt die inneren Bedürfnisse der Gesellschaft aus, aber er wird nicht angenommen und erkannt, bis er stirbt. Der Künstler steht aber nicht von Natur aus über anderen Menschen, sondern ist scharfsinniger und besser befähigt, das, was er wahrnimmt, zu artikulieren.167 Trotz seines Nachdrucks auf das einzelne künstlerische Genie und seinen Forderungen nach der Universalität von Kunstwerken war sich TARKOVSKIJ völlig bewußt, daß "(...) jeder Künstler (...) ganz unwillkürlich ein gesetzmäßiges Produkt der ihn umgebenden Wirklichkeit" sei und dadurch unwillkürlich geformt wird: "(...) jeder Mensch [bringt] seine Zeit zum Ausdruck (...) und [trägt] deren Gesetzmäßigkeiten in sich (...)."168 Und obwohl er nachdrücklich die Suche des Künstlers nach der Wahrheit betont, meint er auch, daß die Bedeutung und das Verständnis dieser Wahrheit für jeden Menschen verschieden sind: "Jede auch nur relativ objektive Möglichkeit eines Urteils ist bedingt von einer Vielfalt von Interpretationen. (...) ein Kunstwerk [gewinnt] durch die Vielfalt seiner Beurteilungen sicher auch ein wechselhaftes, mannigfaltiges Leben, wird hiervon reicher und erreicht so eine gewisse Existenzfülle."169
[131] Für TARKOVSKIJ ist der Zweck der Kunst bedingt durch die Aufgabe des Künstlers, ein moralischer und spiritueller Mittler zwischen dem Göttlichen und dem Menschlichen zu sein: "(...) das Ziel jedweder Kunst ist, (...) sich selbst und der Umwelt den Sinn des Lebens und der menschlichen Existenz zu erklären."170. Die Kunst soll "(...) dem Menschen Hoffnung und Glauben (...)"171 geben, weshalb Kunstrezeption für ihn etwas mit Gottesdienst und religiöser Meditation zu tun hat. Kunst hat eine moralische und ethische Funktion: Sie ist ein Mittel zur Selbsterkenntnis - sowohl für den Künstler als auch für das Publikum - und sie kann durch seelische Läuterung die menschliche Seele für Gott erreichbar machen. Aber: "(...) die Kunst [vermag] niemandem etwas beizubringen (...), wo der Menschheit doch in viertausend Jahren nichts beizubringen war!"172 TARKOVSKIJ schreibt über Kunst in einer Sprache, die auch in der Theologie gebräuchlich ist:
Daher kann auch von einer Parallele zwischen dem Eindruck, den ein spirituell empfänglicher Mensch von einem Kunstwerk erhält, und einer rein religiösen Erfahrung gesprochen werden."173 "(...) der Künstler [sucht das Leben] jedesmal von neuem zu erfassen und zu gestalten (...). In der immer wieder vergeblichen Hoffnung auf das unerschöpfliche Bild der Wahrheit menschlicher Existenz."174 "Mit Hilfe dieses [vom Künstler geschaffenen, Anm. d. V.] Bildes wird die Empfindung des Unendlichen festgehalten, wo es durch Begrenzungen zum Ausdruck gebracht wird: das Geistige durch das Materielle und das Unendliche durch Endliches. Man könnte sagen, daß die Kunst ein Symbol dieser Welt ist, die mit jener absoluten geistigen Wahrheit verbunden ist, die eine positivistisch-pragmatische Praxis vor uns verborgen hält.175
[132] Die Versiegelte Zeit endet mit den Worten: "(...) vielleicht besteht tatsächlich der Sinn der menschlichen Existenz in der Erschaffung von Werken der Kunst, im künstlerischen Akt, der zweckfrei und uneigennützig ist. Vielleicht zeigt sich gerade darin, daß wir nach Gottes Ebenbild erschaffen wurden."176
[133] Dieser enge Bezug der Kunst zum religiösen Glauben bei TARKOVSKIJ äußert sich natürlich stark in seinen Filmen, was die Rezeption von theologischer Seite durchaus befördert hat. Jedoch lassen sich die meisten Filme nicht so unzweideutig in christlichem Sinne interpretieren, wie es manchem Betrachter erscheint.177 Die Vieldeutigkeit der Bild- und Kompositionsstrukturen erklären ihn zwar zu einem Funktionsträger der Spiritualität und eines metaphysisch-moralischen Anspruchs, ob dies aber nicht eher der Ausdruck eines sehr individuellen Weltbildes als eines rechtgläubigen Christentums ist, wäre zu diskutieren.
[134] Die Vieldeutigkeit im Film ist für TARKOVSKIJ jedoch keineswegs darauf zurückzuführen, daß er ein Amalgam aus Merkmalen anderer Kunstformen, eine zusammengesetzte Kunst wäre - eine Ansicht, die TARKOVSKIJ vehement zurückweist;178 Film hat im Gegenteil seine völlig eigenen Charakteristika und mindestens das Potential, die "wahrhaftigste[n] und poetischste[n] aller Künste"179 zu sein. Mit "poetisch" meint er eher das Vermögen, Bilder assoziativ zu verbinden,180 als das bewußte Schaffen "schöner" Bilder, da "Wahrheit" nicht von Realismus und Einfachheit getrennt werden kann: "Wahrscheinlichkeit und innere Wahrheit liegen für mich nicht nur in Faktentreue, sondern auch in einer getreuen Wiedergabe von Empfindungen."181 Jedoch wird diese direkte, unvermittelte Realität durch die Subjektivität des Künstlers gefiltert, auch wenn die moralische Integrität des wahren Künstlers sicherstellen wird, daß diese Subjektivität mit "Würde" und "Einfachheit" guten Zwecken dient.182
[135] Die spezifische Qualität von Film, die ihn von allen anderen Kunstformen unterscheidet, wird von TARKOVSKIJ als dessen Behandlung von Zeit definiert: "(...) der Mensch [hatte] zum ersten Mal in der Geschichte der Kunst und Kultur eine Möglichkeit gefunden (...), die Zeit unmittelbar festzuhalten (...)."183 "Die Grundidee von Film als Kunst ist die in ihren faktischen Formen und Phänomenen festgehaltene Zeit."184 Für TARKOVSKIJ kann Film "reale Zeit" in einer Weise wie keine andere Kunst darstellen und sie auch in genau der gleichen Form unbegrenzt wiederholen. Montage benötigt daher Respekt vor dem Rhythmus des Lebens, der in jeder einzelnen Aufnahme vorhanden ist, und nicht dessen Störung durch Hin- und Herspringen zwischen Totale und Nahaufnahme oder künstliche Beschleunigung des Rhythmus durch schnelle Schnitte: Der Begriff der realen Zeit (innerhalb der Einstellung) hat eine zentrale Stellung in seiner Filmtechnik inne, die ab dem Film Andrej Rublëv gut erkennbar wird, wobei sie ihren Höhepunkt in den über sechs Minuten dauernden einzelnen Aufnahmen in Stalker, Nostalghia und Opfer erreicht.
[136] Das damit zusammenhängende Beharren TARKOVSKIJs auf die "Realität" des Filmbildes ist auch verantwortlich für seine Gereiztheit bezüglich der von Zusehern und Kritikern oft erbetenen Erklärung seines "Symbolismus"185. Obwohl er das Wort "Symbol" oft genug selbst verwendete, versuchte er normalerweise, zwischen dem Bild, das vom Zuseher direkt, auf "(...) emotionaler, zuweilen sogar auf einer 'über'-emotionalen Basis"186 erfahren werden mußte, und dem Symbol, das "entzifferbar" ist oder "interpretiert" werden kann, zu unterscheiden. TARKOVSKIJ scheint hier unter einem "Symbol" ein "herkömmliches" oder "bildliches" Zeichen mit einer fixierten und begrenzten Bedeutung zu verstehen.
[137] Er schreibt dem Filmbild zwei zentrale Qualitäten zu: Auf der einen Seite hat es seine Basis in der täglichen Realität - in der "lebendigen Wirklichkeit" und in der "faktischen Konkretheit"187 - während auf der anderen Seite die eigene Wahrnehmung und Vorstellung des Künstlers ihm etwas von der Qualität einer "Offen-barung" gibt,188 die vom Publikum eher "erfahren" wird, als bewußt zu verstehen und interpretieren ist. TARKOVSKIJ gesteht zwar ein, daß der Regisseur in gewisser Weise die Wahrnehmung des Zusehers steuert, sieht aber den Betrachter als (eigentlichen) Mitgestalter des Films. In der Tagebucheintragung vom 24. Jänner 1973 lehnt er seine frühere Ansicht, gemäß der "Film aufgrund seiner eindeutigen Form von allen Zuschauern gleich rezipiert wird"189, ab. Er möchte nun zu jedem einzelnen sprechen, indem er so wenig als möglich zeigt. Damit zwingt er den Betrachter, sich kreativ mit dem dargebotenen Material zu befassen und seine eigene Meinung zu konstruieren, indem er es je nach seinem Verständnis zusammenfügt: "Der einzige Weg, auf dem ein Künstler den Zuschauer im Rezeptionsprozeß auf eine gleichberechtigte Ebene hebt, besteht darin, ihn die Einheit eines Films aus dessen Teilen selbst konstruieren zu lassen und dabei Eigenes hinzuzudenken."190 Ohne einem aufgeschlossenen Publikum dieser Art würde Filmemachen bedeutungslos werden: "(...) ich [tue] einerseits nichts Besonderes dafür (...), um meinem Zuschauer zu gefallen, und andererseits [hoffe ich] doch mit zitternder Seele darauf (...), daß er meinen Film annimmt und liebt."191
4.4. Produktions- und Vertriebsgeschichte von Andrej Rublëv
[138] Nach dem außerordentlichen Erfolg von Ivans Kindheit192, seinem ersten langen Spielfilm, war TARKOVSKIJ intern und extern unter großem Druck, einen zweiten "herausragenden" Film zu produzieren. Andrej Rublëv, gemeinsam mit Spiegel oft für sein bestes Werk gehalten, ist sein längster und politisch kontroversiellster Film; deshalb wahrscheinlich auch derjenige, der einige Jahre nicht freigegeben wurde. TARKOVSKIJ wartete nicht, bis er seinen ersten Film beendet hatte, bevor er 1961 dem Studio einen Vorschlag für einen Film über das Leben von Rußlands bekanntestem mittelalterlichen Ikonenmaler, ANDREJ RUBLËV, machte. (Die Vorbereitung des neuen Projekts vor dem Abschluß des alten wurde sein übliches Vorgehen.) Der Vertrag wurde 1962 unterzeichnet und das Treatment im Dezember 1963 genehmigt.193
[139] TARKOVSKIJ und sein Co-Drehbuchverfasser ANDREJ KONCALOVSKIJ arbeiteten mehr als zwei Jahre an dem Skript, für das sie mittelalterliche russische Texte, Chroniken sowie Heiligenriten studierten, ebenso wie Geschichts- und Kunstbücher. TARKOVSKIJ erhielt im April 1964 die Erlaubnis, mit der Arbeit zu beginnen194 - zur selben Zeit, als das komplette literarische Skript für den Film, betitelt Andrej Rublëv, im einflußreichen Filmjournal Iskusstvo kino veröffentlicht wurde und lebhafte Diskussionen zwischen Historikern, Kritikern und gewöhnlichen Lesern hervorrief. Das Skript war ungewöhnlich lang: ein umfassender Einblick in die russische mittelalterliche Geschichte, der die Kulikovo-Feldschlacht (1380)195, Tatarenangriffe, heidnische Feiern, mönchisches Leben, den Tanz eines Gauklers, Kämpfe zwischen den Herrschern, religiöse Diskussionen sowie die immer gegenwärtige und gleichbleibend harte Arbeit einschloß.196 Von Beginn an stand in der Sowjetunion in der Diskussion über Andrej Rublëv der soziopolitische und historische Inhalt im Mittelpunkt und erst in zweiter Linie der künstlerische Aspekt: RUBLËV wurde als die Inkarnation der humanistischen und nationalistischen Sehnsüchte der russischen Kultur durch die Zeiten gesehen. So wurde der Film bekannt, bevor noch ein einziges Kader gedreht worden war.
[140] Während TUROVSKAJA197 meint, die Vorbereitungen hätten im September 1964 begonnen und das Filmen mehr als ein Jahr gedauert - nämlich bis November 1965-, erhielten JOHNSON und PETRIE in einem Interview mit der Produzentin des Films, TAMARA OGORODNIKOVA, andere Daten:198 Sie erklärte nämlich, daß bis April 1965 nicht mit dem Filmen begonnen worden war, d.h. ein volles Jahr nach Erteilung der Genehmigung. TAT`JANA VINOKUROVA199 (die Leiterin des Mosfilm Archivs) gibt ebenfalls April 1965 als das Datum an, an dem Goskino die Anordnung erhalten hat, daß der Film in Produktion geht. Die lange Zeit der Produktionsvorbereitung dürfte die zwiespältige, halbherzige Unterstützung der Kinoverwaltung für den Film widerspiegeln. Das Filmbudget wurde einige Male von ursprünglich 1,6 Millionen Rubel auf eine Million gekürzt, wie aus dem Interview mit OGORODNIKOVA bekannt ist. Die Eröffnungsszene mit der Kulikovo-Feldschlacht, des ersten großen russischen Sieges über die Tataren, die allein 200.000 Rubel gekostet hätte, wurde als erste von vielen gestrichen. Die Dreharbeiten dauerten zunächst bis November 1965, aber da sie durch Schneefälle unterbrochen worden waren, konnten sie erst im April/Mai 1966 an den Drehort zurückkehren, wodurch das Budget um 300.000 Rubel überzogen wurde.
[141] Wenn man jedoch die technischen Schwierigkeiten bei den Dreharbeiten an sechs verschiedenen Schauplätzen, die Probleme mit dem Wetter, die umfangreiche Kostümierung und die komplexe Mise en Scène bedenkt, sind die erbrachten Leistungen bemerkenswert. Statt dessen erhielten, wie OGORODNIKOVA berichtet, sie und TARKOVSKIJ offizielle Mahnbriefe wegen der maßvollen Überziehung, während der einflußreichere SERGEJ BONDARCUK acht Millionen Rubel für seine acht Stunden dauernde, eher extravagante Verfilmung von TOLSTOJs Krieg und Frieden verwenden durfte.200 Der einzige Grund, warum die Produktion ungefähr im Budgetrahmen bleiben konnte, war, daß einige große Szenen gestrichen oder gekürzt wurden. Nachdem Andrej Rublëv dann fertiggestellt war, erwies sich der große Unterschiede zwischen dem veröffentlichten und ausführlich diskutierten Skript und dem Film als eines seiner größten Probleme. Der erste Schnitt war Ende Juli 1966 fertig und wurde Die Passion nach Andrej genannt; er dauerte annähernd drei Stunden und zwanzig Minuten.201
[142] Die darauffolgende fünfjährige Reise des Films auf die Leinwand dürfte vor allem für TARKOVSKIJ noch mühsamer und frustrierender gewesen sein als das Drehen. Auch wenn es sich widersprechende Informationen zu diesen Vorgängen gibt, steht fest, daß Andrej Rublëv sofort beim Verfahren zur Genehmigung wegen seiner Länge und direkten Darstellung von Grausamkeit kritisiert wurde;202 außerdem - unter den damaligen Umständen voraussagbar - wurden Vorschläge für Schnitte, d.h. Streichungen, gemacht. Der Künstlerische Rat von TARKOVSKIJs Arbeitsgruppe legte fest, daß die 5.642 Meter Film zu lange und zu gewaltvoll seien. In einem Brief vom November 1966 an ALEKSEJ ROMANOV, dem damaligen Vorsitzenden von Goskino, führt TARKOVSKIJ an, daß siebenunddreißig Änderungen gemacht worden seien, was den Wegfall von 390 Metern bzw. fünfzehn Minuten bedeute. Er klagte auch, daß die endlosen Bitten um Änderungen eines bereits angenommenen Films den endgültigen Schnitt extrem schwierig gemacht hätten und betonte nachdrücklich, daß weitere Schnitte der künstlerischen Integrität des Films ernsten Schaden zufügen würden.203 Doch konnten trotz allem einige der kontroversiellsten Szenen beibehalten werden.204Als sich die Kritik jedoch zusehends verschärfte, sah sich TARKOVSKIJ gezwungen, in einem Brief an ROMANOV vom 27. Dezember 1966 einigen weiteren kleinen Schnitten in den ''naturalistischen'' Szenen zuzustimmen; in erster Linie ging es dabei um die dargestellte Tötung eines Pferdes.205 Nach MAJA TUROVSKAJA gab es drei Varianten des Films: das Original mit 5.642 Meter, eine zweite mit 5.250 Meter und die endgültig freigegebene Variante mit 5.076 Meter.206
[143] Für die Filmindustrie fand schließlich eine Premiere im Dan Kino (entweder Ende 1966 [TUROVSKAJA] oder Anfang 1967 [OGORODNIKOVA]) statt, mit einem Publikum ''in Ekstase'', ''sprachlos vor Begeisterung'', aber auch mit kritischen Reaktionen, besonders hinsichtlich des ''Naturalismus'' des Films.207 Im Februar 1967 beschwerte sich TARKOVSKIJ bei ROMANOV, daß er noch immer nicht das unterzeichnete Dokument über die Annahme des Films hätte, obwohl ROMANOV bereits dem endgültigen Schnitt zugestimmt hätte.208 TARKOVSKIJ weigerte sich, neuerlich verlangte ''einfache'' Schnitte vorzunehmen. So existierte der Film in einer Art von verwaltungstechnischem Leerraum für beinahe fünf Jahre, diskutiert auf den höchsten Ebenen von Mosfilm und Goskino und sogar auf einer großen Zusammenkunft des Zentralkomitees der Kommunistischen Partei.
[144] Während dieser Jahre wurde Andrej Rublëv wahrscheinlich der bekannteste nicht zugelassene Film in der Sowjetunion, und ein Großteil seiner Berühmtheit kam aus dem Ausland. 1967 wurde der Film nämlich zum Filmfestival in Cannes gebeten, wo eine Sowjetfilm-Retrospektive in Zusammenhang mit dem fünfzigsten Jahrestag der Russischen Revolution geplant war. Die offizielle Antwort lautete, daß der Film noch nicht fertiggestellt worden sei und daher nicht gesandt werde.209 Anstatt daß 1967 das Jahr von Andrej Rublëv wurde, wurde es das Jahr von BONDARCUKs eher konventionellem, patriotischem Krieg und Frieden. Erst 1969 gab es eine ''zweite Premiere'' für die Filmindustrie im Dom Kino, und der Film wurde an eine Gesellschaft, die Columbia vertrat, für den Auslandsverleih verkauft - es schien, daß Andrej Rublëv schließlich anlaufen könnte. Er wurde wiederum nach Cannes eingeladen, und nachdem die Festivalorganisatoren alle anderen Sowjetfilme, die ihnen angeboten worden waren, ablehnten, wurde eine außerhalb der Konkurrenz stattfindende, inoffizielle Vorführung erlaubt. Der Film wurde mit großem Enthusiasmus aufgenommen210 und erhielt den renommierten Internationalen Kritikerpreis, sehr zur Verlegenheit der sowjetischen Verantwortlichen, die sich vehement bemühten, den geplanten Start in Paris zu verhindern und sich weigerten, ihn 1969 beim Moskauer Filmfestival zu zeigen. Trotz des auf ihn ausgeübten Drucks ließ der Verleiher, der völlig legal die Aufführungsrechte für Frankreich besaß, den Film in Paris anlaufen, wo er heftig diskutiert wurde. Dieser Erfolg im Ausland bewirkte jedoch höchstens, daß der Film weitere zwei Jahre verschlossen gehalten wurde.211
[145] Unabhängig davon hatte TARKOVSKIJs Film eine Anzahl von einflußreichen Bewunderern, wie den Regisseur GRIGORIJ KOZINCEV, den Komponisten DMITRIJ SOSTAKOVIC und EVGENIJ SURKOV, den einflußreichen Herausgeber von Iskusstvo kino, der im Hintergrund für die Freigabe des Films arbeitete. 212 Sowohl TARKOVSKIJ als auch seine zweite Frau, LARISSA, schrieben ständig Briefe an bedeutende Persönlichkeiten, um ihre Unterstützung zu gewinnen; u.a. ging TARKOVSKAJA mit dem Film sogar zu ALEKSEJ KOSYGIN, dem offiziellen Vorsitzenden der Regierung.213 All dies zusammen dürfte schließlich zum Ziel geführt haben. Paradoxerweise scheint TARKOVSKIJs vehementer Entschluß, keinen Kompromiß einzugehen, einerseits dafür verantwortlich gewesen zu sein, daß der Film verzögert wurde - denn weitere Schnitte waren noch immer die Vorbedingung für die Freigabe (Tagebucheintragungen von 1970 und 1971) -, andererseits aber auch für die letztendliche Freigabe des Films: Andrej Rublëv hatte seine dritte und letzte ''Premiere'' Ende 1971. TARKOVSKIJ klagt in seinem Tagebuch, daß in der ganzen Stadt kein einziges Plakat zu sehen gewesen sei,214 doch stellt er auch fest, daß trotzdem alle Vorführungen ausverkauft gewesen seien. Eine umfangreiche Diskussion und Kontroverse für beinahe zehn Jahre machten den Film so berüchtigt, daß er zu der Zeit, als er das sowjetische Publikum erreichte, keine Einführung benötigte und unübertroffen von jedem anderen sowjetischen Film zu dieser Zeit einen Erfolg durch Skandal "genießen" konnte.
[146] Wodurch wurden in der Sowjetunion diese Aufruhr und solche Attacken auf den Film hervorgerufen? Während die Mehrheit der westlichen Zuschauer mit dem Namen ANDREJ RUBLËV kaum etwas verband, erkannten die meisten russischen Zuschauer im Filmtitel sofort den Namen des größten mittelalterlichen, russischen Ikonenmalers.215 Jeder Kritiker und Zuschauer kam mit vorgefaßten Vorstellungen, sowohl über den Inhalt als auch über das Genre eines solchen Films, aber Andrej Rublëv erfüllte eindeutig nicht diese Erwartungen. Es fällt auf, daß der Film in erster Linie durch den Gebrauch negativer Ausdrücke beschrieben wurde - von den Kritikern, den Befürwortern und sogar von den Skriptverfassern selbst, die erklärten, daß dies weder ein historischer oder biographischer Film wäre, noch daß er eine traditionelle narrative Struktur hätte. ANNINSKIJ schreibt die intensive Verwendung von Verneinungen vor allem dem Fehlen von historischen Lebensdaten ANDREJ RUBLËVs zu; aber auch zwei andere Faktoren spielten eine wichtige Rolle: zunächst das ''Versäumnis'', den Genreerwartungen eines Publikums, das an glorifizierende, patriotische Epen gewöhnt war, nicht zu entsprechen; und die Infragestellung der Mythen, die Rußlands historischer Größe zugrunde liegen.216
[147] Sowjetische Kritiken, die unmittelbar nach der Freigabe erschienen, waren allgemein vom Film enttäuscht.217 Neben dem offensichtlichen Versäumnis, einen aktiven, positiven sozialistischen Helden zu liefern, wurde der Film im Vergleich mit dem zuvor veröffentlichten Skript negativ bewertet. Wie vorher erwähnt wurde, machte das knappe Budget größere Abstriche vom Drehbuch notwendig, wodurch sich der erzählende und thematische Inhalt signifikant änderte: statt zwölf Episoden und zwei Prologen (einen für jeden Teil des zweiteiligen Films), hatte der endgültige Film acht Episoden und einen Prolog.218 Die Streichung des ursprünglichen Prologs des ersten Teils - der Kulikovo-Feldschlacht - bewirkte, daß der Film für die fehlende Darstellung des Heldentums und der Opfer des russischen Volks kritisiert wurde, ebenso wie für das vorenthaltene positive Bild eines Führers, in diesem Falle des Großfürsten DMITRIJ DONSKOJ, der Seite an Seite mit seinen Leuten kämpfte. Als der erste große Sieg der Russen über die Tataren wurde die Kulikovo-Feldschlacht Teil der russischen Geschichtsmythologie, mit einer weit über ihrer tatsächlichen historischen Auswirkung liegenden Bedeutung.219 Der Prolog für den zweiten Teil, der Ikarus-ähnliche Flug des russischen Bauern, in dem es um die schöpferischen Bestrebungen der Menschheit geht, wurde der Prolog des gesamten Films, wodurch das Thema des Künstlers in den Vordergrund rückte. Andere größere Episoden, die gestrichen wurden, waren ''Die Jagd'' (eine grausame Tötung von schönen Schwänen durch den jüngeren Bruder des Großfürsten und seines Gefolges - ein Fragment davon ist in der Episode ''Die Passion, wie Andrej sie erlebte'' erhalten) und der Großteil der Episode ''Altweibersommer'' (in der hungrige, flüchtende Bauern bei der Suche nach Essen der schwangeren Närrin bei der Geburt ihres tatarisch-russischen Kindes helfen).
[148] Auch innerhalb einzelner Episoden wurden einige Szenen herausgenommen, einschließlich RUBLËVs Erinnerungen an die glückliche Kindheit, die vielleicht auch TARKOVSKIJs eigene gewesen sind und die autobiographischen Elemente von Ivans Kindheit, Solaris und Spiegel mit diesem Film verbunden hätten. Die nicht realisierte Vision der Kreuzigung Christi von Theophanes dem Griechen - voll von Haß und Verrat in einer fremden, heißen, staubigen Umgebung - war gedacht als scharfer Kontrast zu RUBLËVs viel menschlicherer, liebevollerer und weltlicherer Vision von Christus als einem Bauern, der in einer vertrauten, schneebedeckten russischen Landschaft stirbt. Und schließlich würde TARKOVSKIJs eingestandene Begeisterung für die Erzählung über die patriotischen russischen Frauen, die ihre Haare opferten, um Moskau von den Tataren freizukaufen, von seinem Helden geteilt worden sein.220 Mehrere Episoden wurden natürlich auch deshalb verändert und neu verbunden, weil TARKOVSKIJ immer wieder neue Ideen zum Film entfaltet hat. Charaktere, Schauplätze und Ereignisse dienten dazu, die verschiedenen Teile dieses Epos´ zu verbinden. Damit wurde ein Aufbau ermöglicht, in dem Vergangenheit und Gegenwart, Realität und Erinnerung kaum merkbar vermischt, sowie Menschen und Orte oft als schwer bestimmbar belassen wurden. Durch das Herausschneiden narrativer Verbindungen zwischen den Episoden, durch die Darstellung RUBLËVs als eher passiven Beobachter denn als Handelnden im historischen Geschehen und durch das Weglassen ''heroischer'' Elemente scheint TARKOVSKIJ bedeutend vom Originalskript abgewichen zu sein (was auch später noch oft geschehen ist).
[149] Der kumulative Effekt dieser Änderungen war, daß ein vom Skript stark abweichender Film geschaffen wurde; abweichend von einem Skript, das ursprünglich vom offiziellen geschichtlichen Berater, V.G. PASUTO, sehr gelobt worden war für seine Konzentration auf ''das Volk'' als dem Träger der Ideen von ''nationaler Befreiung'' und ''sozialem Protest'' sowie als ''die Quelle von RUBLËVs Kreativität und Humanismus''.221 Als die Produzentin des Films, TAMARA OGORODNIKOVA, ihn 1967 fragte, ob er den Film gegen die heftigen Angriffe verteidigen könne, erhielt sie eine Absage. PASUTO kritisierte, daß TARKOVSKIJ die soziale und historische Bedeutung des Volkes sowie sein unerschütterliches Heldentum heruntergespielt hätte und merkte die ''naturalistischen'' Elemente in hinzugefügten Szenen von sinnloser Gewalt und Grausamkeit als negativ an.222 Die von ihm vorgeschlagenen Schnitte und Änderungen waren eine Auflistung der offiziellen Vorwürfe, die dem Film zur Last gelegt worden waren. Auch nach 1967 wurden ästhetische Gesichtspunkte in der streng historischen und politischen Prüfung des Films völlig ignoriert. Vollkommen anders als die westliche Kritik,223 die, den historisch-kulturellen Kontext des Films oft mißverstehend, ihn nur als Allegorie auf den unterdrückten Künstler in der Sowjetunion sah, verstrickte sich die sowjetische Kritik in vorgeblich geschichtliche Debatten. Es wurde darüber diskutiert, ob der Film vom Gattungsmuster des üblichen biographischen oder historischen Films abweicht oder es in Frage stellt, und man beschäftigte sich endlos mit der Überprüfung von TARKOVSKIJs Ge- oder Mißbrauch historischer Fakten.224 Da es so wenig nachweisbare Daten über RUBLËVs Leben gab, waren der eigentliche Diskussionsgegenstand der Kritiker die anscheinend sehr starken politischen und kulturellen Mythen (wie z.B. das russische ''Volk''), die TARKOVSKIJ anfänglich offenbar geteilt hat. Es wäre aber auch denkbar, daß er sich in der Öffentlichkeit angepaßter äußerte, um seinen Film machen zu können. Seine Beschreibung des Films in Interviews dieser Zeit weist jedenfalls gestandene sozialistische Terminologie und Argumentation auf. In Der versiegelten Zeit klingt dies dann folgendermaßen: ''Dieser Film sollte davon erzählen, wie in einer Epoche des Brudermordes und des Tatarenjochs eine nationale Sehnsucht nach Brüderlichkeit aufkam, die die geniale 'Dreieinigkeit' ANDREJ RUBLËVs, das heißt das Ideal der Brüderlichkeit, Liebe und des versöhnenden Glaubens hervorbrachte."225 Im Originalskript wurden die zusammenwirkenden Kräfte der Unterdrückung, die Tataren, die Herrscher und die Kirche, viel klarer dargestellt - alles akzeptable marxistische ''Feinde'', gegen die das ''Volk'' gekämpft hat. RUBLËV war ein Held, weil er seine Inspiration nicht von der Kirche, sondern vom ''Volk'' erhalten hatte.
[150] Aus heutiger Sicht erscheint es besonders absurd, daß feindselige Kritiker so viel Zeit dafür verwendeten, TARKOVSKIJ für seine ''Ungenauigkeit'' in historischen Belangen anzugreifen, da er offensichtlich bloß typische Ereignisse aus verschiedenen Perioden miteinander verband, um seine oben erwähnten Absichten zu veranschaulichen. Sein ''Großfürst'' und dessen Bruder bleiben ohne Namen; RUBLËVs Schweigegelübde dürfte ihm in Wirklichkeit von seinem Abt NIKON in der Dreifaltigkeits-Abtei abgenommen worden sein;226 die Blendung der Steinmetze war ein weitverbreitetes Volksmotiv; und obwohl die russischen Chroniken reich an Berichten über verschiedenste Foltern und Grausamkeiten sind, fanden sie großteils in einer etwas späteren Periode, während der tatsächlichen Verfestigung der Macht der Moskauer Herrscher, statt. Der ''Bruderkampf", der von Filmkritikern und Historikern wie ein geschichtliches Faktum behandelt wurde, ist viel typischer für eine frühere Periode russischer Geschichte, wohingegen das späte vierzehnte und frühe fünfzehnte Jahrhundert die Kämpfe Moskaus mit den benachbarten Fürstentümern Twer und Litauen erlebte. Der einzige Fall eines innerfamiliären Kampfes in Moskau war jener zwischen dem Bruder des Großfürsten VASILIJ, JURIJ, und VASILIJs Sohn - nicht dem Großfürst selbst.227 TARKOVSKIJ bündelte die historische und ethnographische Information in seiner künstlerischen Vorstellung und wählte als Helden RUBLËV aufgrund zweier Voraussetzungen aus: Er war - nicht nur für ihn - ein großartiger Künstler, und über ihn war wenig bekannt. TARKOVSKIJ konnte so seine eigenen Vorstellungen über RUBLËVs Charakter kreieren. Doch deren filmische Umsetzung schien den Behörden so wenig zu gefallen, daß sich wie oben beschrieben der Weg an die Öffentlichkeit zu einem "Leidensweg" des Filmes Andrej Rublëv gestaltete.
5. Andrej Rublëv - remythisierte Wirklichkeit
[151] Im vorangehenden Kapitel wurde versucht, den Entstehungskontext und das geistige Umfeld des Films Andrej Rublëv näher zu beleuchten. Dies sind aber nur Informationen, die ihn in einen geschichtlichen und gesellschaftlichen Zusammenhang bringen, aber seine inhaltlichen Dimensionen noch offen lassen. Von ihnen und den zugrundeliegenden formal-strukturellen Besonderheiten sollen nun die folgenden Seiten handeln.
[152] Mit meinen Überlegungen möchte ich bei der Schlußsequenz,228 den kinematographisch "neu komponierten" Ikonen, ansetzen, weil in ihrem Aufbau das sich durchziehende Thema der Remythisierung der Wirklichkeit formal exemplarisch zum Ausdruck kommt. Die Ikonen selbst sind schon auffällige Bedeutungsträger: In der Ostkirche nehmen sie eine herausragende Stellung ein, da sie neben den Evangelien und der Liturgie eine besondere Sicht auf Gott eröffnen. Als "Vision des Unsichtbaren" geben sie den Blick frei "auf die ontologische Natur des über das Reale hinausreichenden Realen, des zum Unendlichen hinführenden Endlichen und des ins Unsichtbare hinübergleitenden Sichtbaren".229 Diese Sicht unterscheidet sich von der Auffassung der westlichen Glaubenstradition, nach der die Materie nicht am Unvergänglichen teilhaben kann und wo das Konzept einer relationalen Teilhabe so gut wie unbekannt ist. Für den orthodoxen Gläubigen dagegen wird in der Ikone und durch die Ikone die heilige Wirklichkeit präsent; ihre Schönheit leitet sie von der Schönheit des ewigen Archetyps her, den sie wiedergestaltet - sie läßt am göttlichen Akt teilhaben.
[153] Diese Formulierungen klingen den Aussagen TARKOVSKIJs über die von der Kunst, einschließlich Film, vermittelbaren Erfahrungen nicht unähnlich:
Kunst entsteht und entwickelt sich dort, wo jene ewige, rastlose Sehnsucht nach Geistigkeit, nach einem Ideal herrscht, die die Menschen sich um die Kunst scharen läßt. (...) Die Kunst wendet sich an alle in der Hoffnung, daß sie einen Eindruck hervorruft, daß sie vor allem gefühlt wird, daß sie eine emotionale Erschütterung auslöst und angenommen wird.230
Unabdingbare Voraussetzung für die Rezeption eines Kunstwerks ist die Bereitschaft und die Möglichkeit, einem Künstler zu vertrauen, ihm zu glauben. (...) Ebenso wie beim wahren Glauben an Gott setzt auch dieser Glaube eine besondere seelische Haltung, ein spezielles, rein geistiges Potential voraus.231
[154] Neben diesen offensichtlichen Affinitäten zwischen der gläubigen Auffassung von der Ikone und TARKOVSKIJs Begriff vom transzendenten Wesen der Kunst, legt die Gestaltung der Ikonensequenz nahe, daß darin Wesentliches über die Grundstruktur und Gesamtkomposition des Films Andrej Rublëv zum Ausdruck kommt. Am Übergang zum Epilog steht die völlig unbewegte Einstellung der erloschenen Feuerstelle, die einen vorläufigen Schlußpunkt setzt und das Vorhergehende klar von der nachfolgenden Schlußsequenz trennt. Dies bringt für den Betrachter einen gewissen Überraschungseffekt mit sich, da die wie von Zauberhand stattfindende Einfärbung und Umwandlung der schwarz-weißen Feuerstelle in eine wunderschöne rote Farbfläche den üblichen Sehgewohnheiten, nach der ein Film mit dem "Abschluß der Handlung" normalerweise auch endet, widerspricht. Hier tritt aber genau der umgekehrte Fall ein: In gewisser Weise bekommen wir nun die Quintessenz des Films in komprimierter, aber deshalb umso klarer Form zu sehen und zu hören.
[155] Die angesprochene Überblendung der Feuerstelle mit einer orange-roten Fläche232 deutet eine unbestimmte Verheißung an, die durch die Tonspur noch wesentlich intensiviert wird: Während der Einstellung auf die abstrakte, schwarz-weiße Fläche herrscht zunächst Stille, aus der dann getragen eine sanfte Instrumental- und später Frauenstimme zusammen mit der Farbe wie aus unbekannten Tiefen auftaucht. Diese kräftig farbige Fläche, die in starkem Kontrast zu den vorherigen Schwarzweißbildern steht, zeigt das rechte Knie der Ikone "Thronender Christus", das jedoch für den Betrachter nicht als solches erkennbar ist. Damit wird eine gespannte Neugier offen gehalten, die auch von der folgenden Einstellung nicht eingelöst wird.
[156] Denn das (unidentifizierbare) Knie blendet in geometrische Formen über, die sich erst nach zwei weiteren Einstellungen als Kreuze erweisen. Es wird der Eindruck vermittelt, daß es ein Ganzes gibt, zu dem sich die Teile zusammenfügen lassen, doch zu welchem Ganzen, ist noch immer nicht erkenn- und bestimmbar, höchstens zu erahnen (im Hinblick auf die inhaltliche Ebene weiß das Publikum ja zumindest, daß es in einem Film mit dem Namen eines Ikonenmalers als Titel sitzt ...). Der gezeigte Ausschnitt der darauffolgenden "Verkündigung" (die Kamera gleitet vom Ellbogen Marias zur ausgestreckten, segnenden Hand des Engels) ist ebensowenig in seiner Bedeutung identifizierbar wie die anschließende neuerliche Einstellung mit der Ikone "Apostel".233 Erst nach einer Überblendung, sozusagen nach dem "sich Lüften der Nebel", werden ornamentale Kreuze sichtbar, die als die ersten, einer Bedeutung zuordenbaren Formen sehr eindringlich wirken. Insofern das Symbol des Kreuzes vermutlich herkunftsunabhängig verstehbar ist, wird es auf konnotativer Ebene vom Großteil des Publikums wahrscheinlich mit Leid in Zusammenhang gebracht (sicherlich viel stärker als mit Auferstehung, was theologisch untrennbar damit verbunden ist).
[157] Mit einem kräftigen Ton der Geigen wird die Ikone "Einzug in Jerusalem" eingeführt, von der nur die Dächer und dann die gesamten Gebäude sichtbar werden. Es handelt sich für den Betrachter eindeutig um menschliche Behausungen, d.h. das Kreuz wird in einer - noch ungeklärten - Weise in Verbindung zur Gesellschaft gebracht. Der Bezug zu den Menschen wird durch die darauffolgende Einstellung mit einem Ausschnitt aus derselben Ikone verstärkt, auf dem die sich vor der Eselin niederknienden Bewohner Jerusalems zu sehen sind.234 Dabei wird offensichtlich der auf der Eselin sitzende Jesus bewußt ausgespart - es ist noch nicht Zeit für die "Erfüllung der Verheißung". Diese deutet sich ebenfalls nur sehr vage durch die Ikone "Geburt Christi" an, da der Film hier lediglich - im Gegensatz zu den vorherigen Einstellungen ohne jede Kamerabewegung - die reitenden Magier zeigt, Menschen, die infolge ihrer Weisheit und ihrer Verbindung zum Kosmos zur Geburt des "Heilands" geleitet werden. Der Schritt vom weisen Menschen zum engelgleichen Wesen ist bei TARKOVSKIJ zwar nicht schnell, aber auch nicht sehr schwierig: Ebenfalls im Standbild wird zu den Gott preisenden Engeln überblendet.
[158] Während dieser Bilder hat sich die Orchestermusik und der Chorgesang dramatisch gesteigert,235 da nun - bei den Füßen beginnend und den Körper langsam emporsteigend bis zum Gesicht - der "Thronende Christus" in seiner Herrlichkeit zu sehen ist. Die "Erscheinung" des Gesichts wird dabei von besonders bewegtem Gesang begleitet - die durch die anfänglichen Einstellungen evozierte Vorahnung beginnt Konturen zu bekommen. Die formale Gestaltung dieses Vorgangs ist bemerkens-wert: Der Epilog setzt mit einer reinen "Farbdarstellung" ein236 - es werden so jegliche "rationale" Informationen verweigert; in der Darstellung des "Thronenden Christus" wird das erste Mal eine Ikone als ganze sichtbar. Die Betrachter müssen sich bis dahin sozusagen von ihrem Gefühl, ihren spontanen Empfindungen leiten lassen, wenn sie diese Bilder nicht als reine Spielereien abtun wollen. TARKOVSKIJ kehrt mit seiner Farbdramaturgie die Unterordnung des "gefühlsmäßigen (emotionalen) Elements der Farbe" unter das der "erkenntnismäßigen (kognitiven) der Linie"237 in der Ikonenmalerei um. Diese Hinleitung in emotional-intuitiver Weise auf bestimmte Bilder, die dadurch stark hervorgehoben werden, hat jedenfalls bei mir die angestrebte "Sogwirkung" erzielt. Durch das lange Verweilen beim Brustbild Christi stellt sich jene meditative Wirkung ein, die der Besonderheit von Ikonen entsprechen - ihr inneres Wesen kann nach orthodoxem Verständnis nur verstanden werden, wenn eine entsprechende innere Disposition in der betrach-tenden Person existiert. Dieser Gedanke steht in enger Beziehung zu TARKOVSKIJs Ansicht, was der Zuschauer zur Mitgestaltung der Bedeutung in einem Kunstwerk beitragen soll.238
[159] Bei genauer Untersuchung erweisen sich die Farbflächen vom Beginn des Epilogs wie erwähnt als das rechte Knie in der Ikone des "Thronenden Christus", womit TARKOVSKIJ von der ersten Einstellung dieser Sequenz an auf ein nur andeutbares, nicht völlig enträtselbares Geheimnis des Höheren, des Absoluten hinweist. Daß der Betrachter vor der Nähe dieses Mysteriums keine Angst zu haben braucht, wird in der nun folgenden Ikone der "Verklärung" thematisiert. Eine der entsprechenden Bibelstellen findet sich bei Matthäus 17,5b-7:
Das ist mein geliebter Sohn, an dem ich Gefallen gefunden habe; auf ihn sollt ihr hören. Als die Jünger das hörten, bekamen sie große Angst und warfen sich mit dem Gesicht zu Boden. Da trat Jesus zu ihnen, faßte sie an und sagte: Steht auf, habt keine Angst!239
[160] Wenn man das messianische Sendungsbewußtsein TARKOVSKIJs bedenkt, ist man versucht zu sagen, daß er sich als Künstler hier mit Jesus in seiner Aufgabe, den Menschen die Scheu vor dem Göttlichen zu nehmen, identifiziert.
[161] Zu sehen bekommt man im Film zunächst nur die Bäume und dann die erschreckten Apostel Jakobus, Petrus und Johannes. Worum es in dieser Szenerie eigentlich geht, kann beim erstmaligen Sehen kaum entschlüsselt werden: Es wird nur klar, daß es sich da um verängstigte, zurückweichende Menschen handelt. Erst in Beziehung zur vorangehenden Ikone wird bewußt, daß es um den erschütternden Aspekt des Göttlichen für den Menschen geht. Daß dies jeden Einzelnen betrifft, wird durch die Überblendung auf den Apostel Petrus in der Totale unterstrichen, durch dessen Person aber auch gleich die mögliche Verleugnung dieser Erfahrung angedeutet wird. Die adäquate Reaktion auf dieses Mysterium ist für TARKOVSKIJ die der Demut, illustriert durch Maria, der Schwester des Lazarus, die Jesus die Füße küßt (Ikone "Erweckung des Lazarus"). Die Verstärkung dieser Aussage geschieht visuell durch die darauffolgende unbewegte Nahaufnahme des Gesichts von Maria.
[162] Indem der Mensch eine angemessene Haltung zu Gott einnimmt, schwebt der Hl. Geist auf ihn nieder, wie durch den entsprechenden Ausschnitt aus der Ikone "Verkündigung" nahegelegt wird. Gott kommt auf den Menschen herab, um in ihm wirken zu können - im Falle Marias (wie bei dieser Ikone) sogar, um durch den Menschen geboren zu werden. Der Hl. Geist in Form der Taube ist auch eine erste Ankündigung der zentral gesetzten "Dreieinigkeit", eine Andeutung der in ihr zum Ausdruck kommenden Ver-geistigung.
[163] Die anschließende "Taufe Jesu" fügt sich in die Thematik der Erwählung und Vergeistigung ein: Der Weg von der irritierenden Erfahrung Gottes über die demutsvolle Begegnung hin zur näheren "Berufung" in Form des Hl. Geistes mündet nur folgerichtig in der Reinigung und Wiedergeburt durch die Taufe. Der hier angesprochene Vorgang weist große Ähnlichkeit mit den Aussagen TARKOVSKIJs über die Berufung und Aufgabe des Künstlers240 ebenso wie über die Möglichkeit auf, daß "eine geistige Reinigung und Befreiung mit Hilfe der Kunst"241 möglich sei. Der folgende Schwenk über die Ikone "Erweckung des Lazarus" zeigt den noch umwickelten, aber bereits stehenden Lazarus, der den auferweckten Menschen darstellt, und betont damit, daß der Mensch durch das Höhere wiedererstehen kann. Durch die erfolgte Heilung und Heiligung hat der Mensch teil an Gott, wird als Mensch neu geboren: Von der Ikone der "Geburt Christi" sieht man die liegende Maria und Jesus in der Krippe, die Menschwerdung Gottes.

Andrej Rublëv: Dreieinigkeit (um 1411)
Tretjakov-Galerie, Moskau
[164] Danach setzt eine neuer Höhepunkt ein: die Darstellung der "Dreieinigkeit". Der Bezug zur vorhergehenden Einstellung besteht darin, daß durch die Vergeistigung die Menschen in Zukunft in einer Weise zusammenleben sollen, wie sie die Hl. Dreieinigkeit in idealer Form verkörpert: nämlich im Geist der Brüderlichkeit, der Liebe und des versöhnenden Glaubens. Die Komposition dieser Einstellungen stellt eine eigene Einheit innerhalb des Epilogs dar, denn sie ist wie ein erneuter Anlauf zur Darstellung des - jetzt schon näher erkennbaren - angedeuteten "Zentrums" gestaltet: Die ersten beiden Einstellungen242 zeigen nur Details, die wie die abstrakten Farbflächen und Linien am Anfang der Schlußsequenz den Betrachter auf die Ebene des intuitiven Erfassens bringen und auf das Kommende vorbereiten sollen. Gegen Ende der zweiten Einstellung werden Hände sichtbar, und Orchestermusik wie Chorgesang haben sich zu einem gewaltigen Crescendo entwickelt. Daran anschließend konkretisiert sich das Bild in der dritten Einstellung das erste Mal: Ausgehend von den Füßen und dem Sockel schwenkt die Kamera aufwärts und zoomt langsam einen Kelch näher; dabei wird die Musik ruhiger und meditativer. Doch die angedeutete Vervollständigung des Bildes wird noch einen kurzen Moment durch die Darstellung eines Gebäudes verzögert.
[165] Erst in der Überblendung zur fünften Einstellung wird ein Engel in Nahaufnahme sichtbar, schließlich alle drei - bis die Kamera dann langsam hinunterschwenkt zum Kelch und den Füßen und somit das vorher angedeutete Ganze zum Vorschein bringt. Die dazu gespielte Musik ist eine ganz feine, einstimmige Melodie, die die Besonderheit des Anblicks, das Bewußtsein des Blicks in eine andere Welt ausdrückt. Der einstimmige, hohe Frauengesang, die "Engelstimmen" vom Beginn des Epilogs, werden bei den Gesichtern der Engel der "Dreieinigkeit" wieder aufgegriffen: Das, was die Vorstellung von Gotte noch übersteigt ist die reine, einfache Gemeinschaft in Brüderlichkeit und Liebe. Ein letztes Mal noch wird von rechts oben (in Bezug auf die Ikone) nach links geschwenkt, wie um durch das Zeigen einer Nebensächlichkeit die Bedeutung des Vorher und Nachher noch stärker zu unterstreichen. Denn nun werden noch einmal die Hände der Engel und der Kelch auf der Mitte des Tisches gezeigt - dann gleitet der Blick der Kamera nach oben zu den Gesichtern, wo er lange verharrt.243
[166] In der Ikone "Dreieinigkeit" selbst wird das Thema der Aufhebung von Gegensätzen und der Herstellung von Harmonie und Gemeinschaft formal perfekt umgesetzt - begonnen bei der Komposition der Figuren über die Linienführung hin zu den Farben. Sie ist - nicht nur für Fachleute - eines der eindrucksvollsten Beispiele der Ikonenmalerei für die Überwindung der Rivalität von Linie und Farbe: "Die Symbolik der Farben wird in Einklang gebracht mit einem klug ausgedachten, ebenfalls symbolisch-geometrischen Liniensystem von Kreis, Dreieck, Viereck und Achteck. Auf diesem einzigartigen Bild war die uralte Rivalität des Kunstbildes zwischen Linie und Farbe überwunden worden."244
[167] Die filmische Darstellung der Ikone versucht diesem Ideal der Harmonie nachzueifern, indem sie nicht nur den Raum, d.h. die Fläche, bewußt kompositorisch durchdringt, sondern auch die Zeit. Dieses überlegt gesetzte Nacheinander der einzelnen Einstellung trägt wesentlich zum ätherischen Eindruck dieser Bilder bei. Aber es erinnert auch an die Raumvorstellung des Mythos, in dem die Grenzen zwischen den Teilen und dem Ganzen immer wieder verschwinden. Weder ist das Ganze eine Funktion der Teile noch umgekehrt. Die Überblendung, als Pendant zur "Schwelle", ist der Ort des (räumlichen) Übergangs. Auch die Dimension der Zeit erfährt eine ganz eigene Prägung: Das Vorher und Nachher fließen ineinander, ihr Ablauf ist nicht auf eine meßbare lineare Reihe reduzierbar. Aber die mit der Schönheit der Ikonen hervorgerufene Hoffnung bleibt unbegründbar - damit bleibt sie in Kraft.
[168] FEDOROVSKIJ interpretiert die Bilder der Ikone "Dreieinigkeit" am Ende des Films sehr handfest als "aus dem Schmerz über all die Leiden Rußlands" erwachsene Reaktion (die TARKOVSKIJ mit RUBLËV teilt), als "Antwort des Mönchs auf die Verhöhnung des orthodoxen Glaubens".245 Daß die "Dreieinigkeit" aber nicht "bloß" ein Ikone darstellt, sondern ein Kunstdenkmal, entnimmt er einem Satz aus der Versiegelten Zeit: "Wir kehren zu dem menschlich-geistigen Inhalt der 'Dreifaltigkeit' zurück, weil er für uns, die Menschen des zwanzigsten Jahrhunderts, lebendig und verständlich ist."246
[169] Der anschließende Schnitt auf den "Erzengel Michael", dessen gezeigtes Gesicht die kürzeste Einstellung des Epilogs ist, gibt der Sequenz nach der Sichtbarwerdung der "Dreieinigkeit" wieder ihren geheimnisvollen und rätselhaften Charakter: Das dargestellte Gesicht ist stark von Sprüngen durchzogen, die Farbe ist teilweise abgeblättert und die Musik klingt aus. Da nicht erkennbar ist, ob es sich um einen Menschen, d.h. einen Heiligen, oder eben um einen Engel handelt, wirkt das Bild wie ein Verweis auf die geschichtliche Zeit, vor deren Hintergrund sich die vergänglichen menschlichen Schicksale abspielen.
[170] Das angedeutete Ganze beginnt wieder zu zerbröckeln, die Struktur ist anscheinend in Auflösung begriffen: Abermals sind nur mehr verschiedene Farbflächen und Linien erkennbar, die vom Betrachter ohne Vorlage der Ikone nicht genauer bestimmt werden können (es handelt sich wahrscheinlich um den "Apostel Paulus"). Doch noch einmal "lüftet sich der Schleier" (durch Überblendung) und der "Erlöser" wird, von einem Gewitterdonner aus der Ferne begleitet, sichtbar. Diesmal aber nicht in der mächtigen Pose des Pantokrators, d.h. Weltenherrschers, wie es beim "Thronenden Christus" der Fall war, sondern in der schlichten und sanftmütigen Version des Erlösers. Dieser wirkt beinahe armselig, da während des langsam größer werdenden Bildausschnitts erkennbar wird, daß der Großteil der Bemalung nicht mehr vorhanden und das Gesicht von Rissen durchzogen ist - wie eine Mahnung, den Lauf der Zeit nicht zu vergessen. Der mitgenommene Zustand der Ikonen könnte auch den Schluß zulassen, daß TARKOVSKIJ darauf hinweisen will, daß es etwas Größeres als die bisherige Gottesdarstellung, Gottesvorstellung gibt.
[171] Die "Dreieinigkeit", Darstellung der Überwindung von Unterschieden, d.h. ein Symbol für friedliches Zusammenleben, führt zum "Erlöser" - diese "Erlösung" kann aber nicht als glorreich und strahlend bezeichnet werden, sondern eher als einfach und vom Leid und den Zerwürfnissen des Lebens geläutert. Der im Laufe der Einstellung vernehmbar einsetzende Regen leitet über zur vorletzten Einstellung: einer "nackten", vom Feuer und der Zeit lädierten Holztafel, über die jetzt der Regen tröpfelt. Hier ist ein Moment der Vergänglichkeit eingefangen - nur mehr Risse bleiben von der Farbenpracht zurück. Dieser Abschluß des dritten "Anlaufs" - der erste zielte auf den glorifizierten und allmächtigen "Thronenden Christus"247, der zweite auf die "Dreieinigkeit" als Symbol für Frieden und Eintracht zwischen den Menschen (durch Gott / den Glauben vermittelt)248 - ist somit eine "tabula rasa": Eigentlich wissen wir nichts über die Geheimnisse des Lebens, es bleibt uns nur der einlullende Regen, der den Himmel mit der Erde verbindet. Es ist keine neue naive Gläubigkeit in Sicht.
[172] In der Darstellungsweise der Ikonen wird TARKOVSKIJs Umgang mit der Geschichte Rußlands sichtbar: Heraussuchen von bestimmten Details, die sich durch die Präsentationsweise zu einem mythischen Ganzen (in diesem Fall zum Mythos "Rußland") zusammenfügen. Auf dieser Ebene wird es für außenstehende Rezipienten schwierig, die Konnotationen richtig zusammenzusetzen und zu entschlüsseln: Es muß klar sein, daß TARKOVSKIJ als Russe über Rußland reflektiert (was aber im Hinblick auf die Vieldimensionalität des Films wieder von untergeordneter Bedeutung ist).
[173] Die mythische Überformung der Wirklichkeit betrifft nicht nur die geschichtlichen Aspekte, sondern den gesamten Film. Wenn man davon ausgeht, daß "Mythos" ein "intellektuelles und künstlerisch-imaginatives Konstrukt [ist], mit dessen Hilfe sich die Kluft zwischen Traum und Realität, zwischen Idealität und Materialität, zwischen Wort und Tat überbrücken läßt",249 so lassen sich im Film Andrej Rublëv etliche formale und inhaltliche Hinweise dafür finden. Der Umgang mit Raum und Zeit in der "Ikonensequenz" ist in formaler Hinsicht eines der besten Beispiele, wie die mythische Auflösung der Grenze zwischen Physikalischem und Seelisch-Geistigem filmisch umgesetzt werden kann.
[174] Das am Ende des Films durch einen "Schleier" (Überblendung und Regen) hindurch entstehende Bild - vier Pferde, die von eigenartigem Licht umspielt auf einem Rasenstreifen zwischen zwei "Wassern" grasen - vollzieht die Remythisierung der Wirklichkeit durch Zeichen. Auch wenn sich TARKOVSKIJ vor allem in jungen Jahren heftig gegen die Zeichendeutung in seinen Filmen gewehrt hat,250 so kommt doch beinahe jede Analyse und Interpretation auf die "Symbole", "Metaphern" oder "Motive" in TARKOVSKIJs Filmen zu sprechen oder macht sie gar zum Hauptuntersuchungsgegenstand251 - sie sind einfach zu augenfällig, als daß man ihnen keine besondere Bedeutung beimessen müßte.
[175] Der Regen, um gleich mit einem sogenannten "Filmspezifikum" TARKOVSKIJs zu beginnen,252 kann neben der vorrangig ästhetischen und sequenzverbindenden Funktion wie in der letzten Einstellung auch den Aufbruch des Helden in einen neuen Lebensabschnitt bedeuten (vgl. den Aufbruch der Mönche nach Moskau in der Episode "Ein Gaukler"). Ein Umstand, der die starke Wirkung des Regens am Schluß verstärkt, ist seine Korrespondenz mit der sich langsam rot (wie Feuer) färbenden Feuerstelle. In anderen Sequenzen, wie zum Beispiel auch im "Jüngsten Gericht", drückt die Flucht vor dem Regen in eine Behausung bzw. von der Behausung in den Regen die zwiespältige menschliche Situation aus.253 Der Regen steht hier für die Natur, die sich im Gegensatz zur Schutz und Zuflucht bietenden Zivilisation befindet, aber auch für die reinigende Kraft, die ihm innewohnt.
[176] Die so eigenständig, d.h. ohne zunächst genau feststellbaren kausalen Zusammenhang auftretenden Pferde nehmen in TARKOVSKIJs "Tierinventar" eine besondere Position ein: Abgesehen von den Reitszenen in Andrej Rublëv kommt in seinen sämtlichen Filmen nur das undomestizierte Pferd vor. WIESNER führt seine Bedeutung tiefenstrukturell auf zwei Varianten zurück: "Auf der einen Seite steht das Pferd für Jugend, Kraft, Männlichkeit und Sexualität (...) Auf der anderen Seite wird das Pferd mit dem Tod in Verbindung gebracht."254 Die weidenden Pferde im Epilog sind im Sinne der ersteren Interpretationsmöglichkeit zu sehen; die zweite Bedeutung trifft auf das sich wälzende Pferd im Prolog und das Pferd in der verwüsteten Kathedrale zu.
[177] Das Kompositionsprinzip, das der Ikonensequenz zugrunde liegt, setzt TARKOVSKIJ wie bereits erwähnt im gesamten Film ein: Er abstrahiert und komponiert einzelne Szenen auf eine Weise, daß der Betrachter vermuten muß, daß es hinter der Andeutung noch etwas zu entdecken gebe - das Feld möglicher Konnotationen ist beinahe unüberschaubar. In lange und sorgfältig vorbereiteten Momenten kommt (scheinbar) etwas zum Vorschein, was in der Nähe einer "ewigen Wahrheit" anzusiedeln versucht wird, doch kommt es sofort wieder zur Auflösung, sodaß ein Gefühl von bedeutungsschwerer Ahnung zurückbleibt - eine Sehnsucht nach der Erfaßbarkeit des Eigentlichen.
[178] TARKOVSKIJ arbeitet ähnlich wie ein Ikonenmaler, der alles Zufällige, Materielle und Individuelle eines Sachverhalts oder einer Person entfernt, um ihr Wesen, ihre Essenz zu erkennen. Der Maler hatte sein Urbild sozusagen bereits "im Kopf", genau wie TARKOVSKIJ jede Einstellung schon vor dem Drehen genau festgelegt hatte. Am Beispiel des Haiku erklärt er seine Anforderungen an das künstlerische Bild:
Das Haiku 'züchtet' seine Bilder auf eine Weise, daß sie nichts außer sich selbst und zugleich dann doch wieder so viel bedeuten, daß man ihren letzten Sinn unmöglich erfassen kann. Das heißt, daß das Bild seiner Bestimmung um so mehr gerecht wird, je weniger es sich in irgendeine begriffliche, spekulative Formel pressen läßt.255
[179] Dabei geht es aber nicht um ein "Genießen", sondern um Erkenntnis der darin ausgedrückten Werte. Diese besondere Ausdrucksweise ethischer Inhalte durch die Ästhetik fußt auf ihrer unterschiedlichen Zuordnung in der orthodoxen Theologie: "Siehe, es war sehr gut", das Urteil über die Erschaffung des Menschen in der Schöpfungsgeschichte, übersetzt die orthodoxe Theologie mit: "Siehe, es war sehr schön". Das Ästhetische schließt das Ethische ein, nicht aus. Die Schönheit ist nicht ein subjektives Gefühl, sondern eine Offenbarung der göttlichen Herrlichkeit. So wird der von russischer Religionsphilosophie tief beeinflußte TARKOVSKIJ auch in seinem weltverändernden Impuls verständlich. Kunst erscheint dann möglicherweise "als ein Moment der Anästhesie, als ein Verstummen vor der Qual der Welt und ihrer Verwandlung in jene aggressive Tätigkeit, die die Leiden verändern kann".256
[180] Jedenfalls sah TARKOVSKIJ es als die Aufgabe der Kunst, die Wirklichkeit so einfach und klar wie möglich darzustellen (in dieser Hinsicht bewunderte er BRESSON sehr), um damit noch besser das Eigentliche zum Ausdruck zu bringen. In seinem Anspruch kann hier eine Verbindung zu DELEUZE hergestellt werden, der seinen Begriff "Zeitbild" u.a. als indirekte Präsentation des Nicht-Bewegten definiert, d.h. als das Schaffen weißer Flächen, die der Betrachter als Projektionsflächen verwenden kann,257 wie z.B. die langen Landschaftsaufnahmen TARKOVSKIJs.
[181] Bei einer solchen Offenheit gegenüber der Rezeptionsweise ist meist die Frage nach dem verbindenden Prinzip der Handlung und des Ausdrucks differenzierter zu beurteilen. Die meisten Kritiker sehen den durchgehenden "roten Faden", den Zusammenhalt von Andrej Rublëv in der Diskussion des Künstlertums: Für TUROVSKAJA etwa ist das Thema "Der Künstler in seiner Zeit" grundlegend, JOHNSON und PETRIE sehen den Film in erster Linie mit RUBLËVs innerer, geistiger Reise beschäftigt, eine Einschätzung, die auch LE FANU und GREEN teilen. Eine diesen Ansatz relativierende Position nimmt WUSS ein, der die Auffassung vertritt, daß die Figur des Malers RUBLËV die Aufmerksamkeit der Zuschauer nicht besonders auf sich ziehen würde und zwischen den verschiedenen Stationen des Künstlerlebens keinen Handlungszusammenhang im üblichen Sinn sehen kann.258 Er meint aber, in den einzelnen Episoden eine gewissermaßen sie verbindende "Tiefen-struktur" finden zu können, die aus dem Wiederholungsprinzip besteht: In allen Episoden findet sich das invariante Motiv der demütigenden Gewalttat, das von dem Motiv der Zerstörung menschlicher Beziehungen begleitet wird.
[182] Neben der Reihe ähnlicher Strukturen, die das Grundmuster der Handlung bestimmen, gibt es eingangs der Geschichte und an ihrem Schluß jeweils Episoden mit völlig anders geartetem Trend: Obwohl der Bauer mit seinem Ballon abstürzt, bleibt das Erlebnis eines den Menschen erhebenden Wagnisses. Die letzte Episode greift die Ausgangssituation des Auftaktes wieder auf: RUBLËV wird Zeuge des Kampfes, den der junge BORISKA gegen die Umstände und seine eigenen Zweifel führt und will schließlich mit ihm gemeinsam, jeder seine Begabung nutzend, losziehen. Ob und wie dies geschieht, wird nicht mehr gezeigt - der Zuschauer sieht "nur" die Resultate, die Ikonen; wodurch vielleicht stärker als auf erzählerische Weise das Gelingen seiner Aufgabe dargestellt wird. Mehrere Reihen von Tiefenstrukturen sind nach der Auffassung von WUSS hier miteinander verkoppelt:
Ein Komplex fixiert in ständiger Wiederholung unlösbare Widersprüche, die letztgenannte Reihe, die wie eine Klammer angelegt ist und eher fragmentarisch bleibt, zeigt hingegen etwas Gegenteiliges: Der Mensch triumphiert über die Umstände, er löst die Probleme und sorgt für qualitative Sprünge bei der Entwicklung des Lebens. Die Tiefenstruktur evoziert hier pathetische Wirkungen, denn sie läßt den Zuschauer die Qualtitätsumschläge miterleben. (...) Es kommt für ihn darauf an, in den unveränderten Grundmotiven eine Einheit der Handlung zu entdecken, zugleich aber auch den Zusammenhang zwischen Willen zur Tat und Glück des Schöpfertums zu begreifen, den der Handlungsrahmen im Kontrast zur Binnenstruktur der Filmgeschichte zum Ausdruck bringt.259
[183] Für die Wirkung der Komposition im Hinblick auf eine derartige Sinngebung ist das Wissen um das gewaltige Werk des authentischen ANDREJ RUBLËV für den Rezipienten notwendig und miteinkalkuliert. Angesichts seiner unvergleichlichen Leistung war es kompositorisch möglich, scheinbar nichts weiter als eine deprimierende Zustandsbeschreibung einer krisengeschüttelten Zeit und einer unproduktiver werdenden Persönlichkeit zu geben.
[184] Unabhängig von der Beurteilung der durchgehenden Struktur ist zweifellos das Thema des Künstlers in Beziehung zur Gesellschaft in Andrej Rublëv von zentraler Bedeutung. Dabei spielt TARKOVSKIJs Auffassung von Geschichte und der darin stattfindenden Gewalt eine wichtige Rolle, da sie der Hintergrund der Diskussion universeller ethischer Probleme ist. Seine Überlegungen zur historischen und kulturellen Berufung Rußlands stehen in engem Zusammenhang mit dem Denken PUSKINs: Die Lösung der aus der russischen Geschichte entstandenen Probleme liegt nach TARKOVSKIJs Ansicht nicht im Pan-Slawismus, sondern im Bewahren der guten Eigenschaften der Tradition durch das persönliche Gewissen. (Diese Aspekte sind für den Film sicherlich relevanter als die Versuche, ihn in erster Linie als eine Art politischer oder persönlicher Allegorie zu lesen, obwohl bestimmte Aspekte des Films wirklich genausogut auf die STALIN- oder BREZNEV-Ära wie auf das fünfzehnte Jahrhundert anspielen könnten.)
[185] Diejenigen, die im herkömmlichen Sinn als ``Künstler'' zu bezeichnen sind - KIRILL, DANIIL, THEOPHANES, die Steinmetze und RUBLËV selbst - sind sorgfältig voneinander unterschieden. Durch seine Konversation mit THEOPHANES präsentiert sich KIRILL als der unbegabte Künstler, der sich seiner eigenen Unzulänglichkeit bewußt und eifersüchtig auf talentiertere ist. Er setzt RUBLËVs Arbeit herab und beschuldigt ihn fälschlicherweise des fehlenden Glaubens und der Einfalt. Er ist stolz, arrogant und hat - anders als RUBLËV - Angst vor Gott, nicht Liebe zum Menschen. Unfähig und neidisch ist er sich bis zu einem bestimmten Grad bewußt, was Kunst sein sollte, aber vermag sie trotzdem nicht selbst zu schaffen. Bis zu einem gewissen Ausmaß findet er nach erlittenem Leid am Ende seinen Frieden, wie seine flehentliche Bitte an RUBLËV, seine Berufung wieder anzunehmen, verdeutlicht.260
[186] DANIIL ist zwar talentierter als KIRILL, aber in der traditionellen Vorgabe von Form und Inhalt gefangen. Und wie sein Gespräch mit RUBLËV über die Darstellung des Jüngsten Gerichts zeigt, sieht er keinen Grund, sich zu ändern.261 Er möchte in seiner Kunst damit fortfahren, das zu tun, was er bisher gemacht hat und nicht auf die sich ändernden Umstände oder neue Ideen reagieren. Sowohl in der Ästhetik als auch in der Moral will er nur den Buchstaben des Gesetzes folgen - er ist ebenso nicht imstande, die Idee eines ``glücklichen'' Jüngsten Gerichts zu verstehen, wie er auch nicht erkennen kann, daß die Heilige Närrin keine ``Sünderin'' ist, bloß weil sie die Kirche mit unbedecktem Kopf betreten hat.262
[187] Obwohl THEOPHANES als sehr geschäftstüchtiger Mann auftritt, wird er als ein authentischer Künstler mit einem Gespür für Begabung gezeigt. Im Unterschied zu RUBLËV geht sein vorwiegendes Interesse dahin, die Menschen an ihr unvermeidliches Schicksal als unverbesserliche Sünder zu erinnern: Mit seiner Kunst will er weder die Welt um sich herum verbessern noch verändern, da ihm das unmöglich scheint. Seine Gemälde, seine Unterhaltung mit RUBLËV und seine nur im Skript vorhandene Vision von Golgotha zeigen ihn als Gegenpol zu RUBLËVs sanfter, menschlicher Vision. Aber gereift vielleicht durch seine Erfahrung des Jenseits - ``Es ist nicht, wie du es dir vorstellst'' - ist sein Geist fähig, den verstörten RUBLËV in der verwüsteten Kathedrale von Vladimir zu trösten und ihn daran zu erinnern, daß seine früheren Ideale noch immer gültig seien und Kunst noch immer schön.263
[188] RUBLËV wird anders als die drei vorangegangenen Maler als Mensch mit aufrichtiger Liebe, Bescheidenheit und Selbstverleugnung gezeichnet, der sich selbst in den Dienst von etwas Höherem - der Menschheit und Gottes - stellt. Von JOKESCH wird er gemeinsam mit dem STALKER, dem "Verrückten" DOMENICO (im Film Nostalghia) und ALEXANDER (in Opfer) in die Reihe der messianischen Gestalten TARKOVSKIJs gestellt.264 Einen Großteil des Films jedoch ist er verwirrt und unsicher, da seine wachsende Kenntnis des Bösen mehr und mehr seinem instinktiven Glauben an die menschliche Tugend zu widersprechen beginnt. Er versucht auch, anders als DANIIL und THEOPHANES, die beide nicht über die Werte ihrer Zeit hinauswachsen können, sich von der Idee zu befreien, daß es die Aufgabe der Kunst sei, menschliche Schwäche darzustellen und zu verurteilen sowie unhinterfragt die Lehren der Kirche und des Staates zu unterstützen.
[189] RUBLËV versucht einen Stil zu entwickeln, der es ihm erlaubt, seine Liebe zu den Menschen auszudrücken und möchte in seiner Arbeit eine neue Beziehung zu ihnen aufbauen, die auf Liebe, Schönheit und dem Fühlen des Göttlichen im Menschen gegründet ist, d.h. die byzantinische Tradition mit ihrer Betonung von Angst und Demütigung überwinden. Es ist nicht zu weit hergeholt, wenn man die mittelalterlichen Konformisten (v.a. THEOPHANES und DANIIL) mit jenen Künstlern und Bürokraten zur Zeit TARKOVSKIJs in Verbindung bringt, die Angst um ihre eigenen Positionen hatten und von unorthodoxen Ideen und wirklichem Talent erschreckt wurden.
[190] Für TARKOVSKIJ ist RUBLËV der erste wahre russische Künstler und seine ``Dreieinigkeit'' das erste originale russische Kunstwerk, entstanden aus den Hoffnungen, Kämpfen und dem Leiden der Zeit. Die einzelnen Episoden und Ereignisse im Film wollte TARKOVSKIJ "nicht etwa durch eine lineare Chronologie, sondern vielmehr durch die poetische Logik, die Rubljow zwang, seine berühmte 'Dreifaltigkeit' zu schaffen,''265 verbunden sehen. Dieser Absicht konnte er umso einfacher nachgehen, als der "Malermönch" ANDREJ RUBLËV eine historisch schwer faßbare Person ist. Obwohl RUBLËV unisono als einer der wichtigsten und bekanntesten Ikonenmaler Rußlands bezeichnet wird,266 ist für unser heutiges Verständnis sehr wenig über sein Leben bekannt. Aus der Perspektive eines Historikers sind jedoch die Informationen zu seiner Person eigentlich bemerkenswert, da Ikonenmaler dem Verständnis der Zeit nach genaugenommen nur Handwerker und Ausführende waren und daher besonders herausragender Fähigkeiten bedurften, um in Chroniken und anderen zeitgeschichtlichen Dokumenten erwähnt zu werden.
[191] Zunächst einmal sind schon das Geburts- und das Todesjahr RUBLËVs nicht genau bestimmbar. Die meisten Forscher nehmen als Geburtsjahr 1360 und als Sterbejahr 1430 an (VALERIJ SERGEJEV will anhand einer Kopie der Grabinschrift den 29. Jänner 1430 als den Tag festlegen können, an dem der starb267). Sein Geburtsort sowie Einzelheiten aus seinem Leben sind nicht genau bekannt, ebenso wie sich über die Arbeiten RUBLËVs nur sehr spärliche und mitunter widersprüchliche Nachrichten erhalten haben. Die frühesten Nachrichten über ihn stammen aus einer Moskauer Chronik ("Troizkaja Letopis"), in der seine Arbeit mit THEOPHANES dem Griechen und PROCHOR dem Alten aus Gorodez 1405 in der Verkündigungs-Kirche am Hof des Großfürsten erwähnt wird.268 Aus derselben Chronik stammt die Mitteilung, daß RUBLËV 1408 die Uspenskij-Kathedrale von Vladimir gemeinsam mit DANILO ausmalte, mit dem er auch die Fresken der Troiza-Kathedrale bei Moskau schuf und im dazugehörigen Kloster arbeitete. Seine letzte Arbeit war anscheinend die Wandmalerei in der Kathedrale des Andronnikov-Klosters in Moskau, in dem er als Mönch starb und begraben wurde.
[192] Im Hinblick auf die Figur des RUBLËV ist die Gestaltung des Films kreisförmig: RUBLËV verläßt das Troiza-Kloster als junger Mann, um das Leid der russischen Bevölkerung zu teilen, wobei er seinen Glauben verliert und wiedererlangt. Er kehrt schließlich in dieses Kloster zurück und malt die Dreieinigkeits-Ikone zu Ehren seines geistlichen Vorbilds, dem HL. SERGIUS VON RADONEZ, dessen Ideale der ``Brüderlichkeit, Liebe und versöhnenden Glaubens'' die Ikone verkörpert.269 Auch im Licht seiner häufigen Äußerung, daß jede große Kunst jenseits ihrer selbst dient und nicht dafür existiert, ``den Wert des Individuums um seiner selbst willen zu beteuern'', dürfte sich TARKOVSKIJ zu einem Ikonenmaler wie seinem Helden hingezogen gefühlt haben. Denn "in der Kunst bestätigt sich die Individualität nicht, sondern dient einer anderen, allgemeineren und höheren Idee."270
[193] Ohne diesen Vergleich zu weit zu treiben,271 scheint sich seine Bewunderung für RUBLËV (wenigstens wie er ihn auf der Leinwand zeigt) zu einem großen Ausmaß aus dessen Selbstverleugnung herzuleiten, von dessen Weigerung zu malen, wenn er nicht davon überzeugt war, daß die Menschen Nutzen aus der Existenz seines Werkes ziehen würden. Die Menschen müssen seine Kunst ``benötigen'', und er hat seinerseits kein Verlangen, einfach zu malen, um ``sich selbst auszudrücken''. RUBLËV dient sowohl einem höheren Ideal (Gott) als auch einem gemeinschaftlichen (den Menschen), indem er die beiden in eine wahrhaftigere Beziehung bringt, als dies in der Kunst seiner Vorgänger der Fall war. Mit seinen Werken will er zeigen, daß der Gedanke eines liebenden und gütigen Gottes die höchsten geistigen Sehnsüchte der Menschen ausdrückt und zufriedenstellt. RUBLËVs Bedürfnis, die zu seiner Zeit anerkannte Sicht von Kunst hinsichtlich Inhalt und Form zurückzuweisen, ist natürlich eine Kritik aller offiziellen, von Kirche oder Staat aufgestellten Dogmen über Kunst. Die Kenntnis dieser Aussage dürfte einer der Gründe für die Abneigung gewesen sein, die dem Film auf bürokratischer Ebene entgegengebracht worden war. Genau wie der sowjetische Filmregisseur weiß RUBLËV, daß er auf Geheiß und unter Kontrolle der offiziellen Machtstruktur zu arbeiten hat, d.h. nicht absolute Freiheit in seinem Schaffen genießt. Aber wo DANIIL und THEOPHANES im wesentlichen die Position des Realen Sozialismus gelten lassen, daß die ``Wahrheit'' für alle Zeit entdeckt und die Aufgabe des Künstlers lediglich sei, sie in stilistisch akzeptabler Weise zu illustrieren, besteht RUBLËV (wie TARKOVSKIJ) darauf, daß die immer wieder neue Suche nach dem angemessenen Ausdruck der Wahrheit zentrale Ziele der Kunst seien, ohne die sie stagnieren und sterben würde. Unabhängig davon, ob er für den Großfürst, die Kirche oder Goskino arbeitet, ist der Künstler vor allem sich selbst als auch seinem Publikum gegenüber verantwortlich und hat die Pflicht, diese Verantwortung nicht zu verraten.
[194] Die Gefahren, die eine solche Verantwortung birgt, werden im Film am drastischsten in der Szene der Blendung bzw. Ermordung der Steinmetze und Baumeister zum Ausdruck gebracht. Ihr ``Vergehen'' war lediglich, ihre Unabhängigkeit zu behaupten und zu versuchen, ihre Dienste uneingeschränkt jener Person anzubieten, die sie am bereitwilligsten schätzte und entlohnte; für den Hauptmann STEPAN und den Großfürst schien der einzig angemessene Gebrauch ihrer Fähigkeiten, ihren politischen Herrscher zu verherrlichen. Daß diese anschauliche und brutale Szene eine jener war, die besonders für ihre ``exzessive Gewalt'' angegriffen wurde, hat ihre tatsächliche Ursache wahrscheinlich im uneingestandenen Subtext: Eine Generation, die erlebt hatte, daß viele ihrer Künstler getötet, inhaftiert, verbannt oder sonstwie zum Schweigen gebracht worden waren, hat vermutlich rasch erkannt, daß es sich hier um die immer noch gültige Darstellung des Verhältnisses von Künstler und politischer Macht handelt. (Nebenbei betrachtet vertritt TARKOVSKIJ die Auffassung, daß jeder wahre Künstler bereit sein müsse, durch das Leid zu gehen, sich zu opfern.272)
[195] RUBLËVs Glaube an sich und seine Kunst wird schließlich wiederhergestellt, als er Zeuge der Kämpfe, aber auch des letztlichen Triumphes eines anderen Künstlers, des Glockengießers BORISKA, wird. Bei der intensiven Suche nach dem Ton erweist er sich als wahrer Künstler, doch ist seine Kunst doch eher gemeinschaftlich als individuell - während beinahe jeder Phase vergleichbar mit der Arbeit eines Filmregisseurs, der auf die Finanzierung von außen und auf das Talent, das technische Können und die Kooperation der anderen angewiesen ist und der ständig koordinieren, gut zureden und schmeicheln muß, wenn er seine Vision verwirklichen will.
[196] BORISKAs Glaube und Selbstvertrauen wechseln sich ab mit Momenten des Selbstzweifels und der Frustration; er wird getrieben und ist manchmal selbst unbarmherzig; dennoch weiß er, wann er zurückzutreten, seinen Stolz hinunterzuschlucken und den notwendigen Kompromiß zu schließen hat; er bringt sich selbst und andere dazu, bis zur Erschöpfung zu arbeiten und nimmt enorme Risiken in jeder Phase auf sich (wie beim Ballonfahrer könnte nicht nur sein Ansehen, sondern auch sein Leben auf dem Spiel stehen, wenn er versagt). Er muß sich wortwörtlich ``die Hände schmutzig machen'' und wird größtenteils als zerzaust, zerlumpt und mit Schmutz oder Ton bedeckt gezeigt (ein Bild des Künstlers, das viele Sowjetkritiker schockierte). Trotzdem ist dies alles auf Täuschung und Vermutungen aufgebaut - oder um es höflicher zu sagen: Intuition -, da ``das Geheimnis'' seines Vaters nicht existiert.
[197] In BORISKA steckt aber nicht nur der Künstler, sondern auch der ideale Kaderführer: "Es mag seltsam klingen, doch der Typ, den Kolja Burljajew darstellt [d.i. Boriska, Anm. d. V.], bildete sich zu Beginn der dreißiger Jahre heraus, die im Zeichen von Fünfjahresplänen und Industrialisierung standen."273 Dadurch erhält die letzte "Handlungsszene", in der RUBLËV BORISKA in der Pose der "Pieta" im Arm hält, eine untergründige ideologische Aussage. TARKOVSKIJ vermittelt - in Anbetracht seiner verbalen Äußerungen wahrscheinlich unbewußt-, daß die neue, "industrialisierte" und technische Welt (verkörpert durch BORISKA) nicht ohne der geistigen Tradition der alten Macht - d.h. der orthodoxen Kirche - existieren kann. Da die traditionellen Mächte einfach handlungsunfähiger und schwächer sind, müssen sie sich mit den aufstrebenden und fortschrittlichen Kräften zusammentun, obwohl sie sie - im Hinblick auf die Haltung ("Pieta") beurteilt - eigentlich lieber zu Grabe tragen würden. In gewisser Weise kommt damit das Bewußtsein zum Ausdruck, daß die neue Wirklichkeit zwar etwas Er-, wenn nicht sogar Abschreckendes ist (man bedenke den Blick ANDREJs, als BORISKA seinen Freund auspeitschen lassen muß, um sein Ziel, sein Plansoll zu erreichen), aber ohne die darin wirkenden Hoffnungen und Energien würde das Alte völlig erstarren und verfallen.
[198] Doch so einfach bleibt diese Aussage nicht stehen: Im Zusammenhang mit der Darstellung des HL. GEORG zu Pferd - mit Fahne und Schild, mit der Lanze den Drachen bekämpfend -, wie dies bei der Ikone, die ANDREJ in der Hand hält, und der von BORISKA gegossenen Glocke der Fall ist, wird eine gegensätzliche Sicht aufgestellt.274 Das Motiv der Drachentötung als Befreiung zu Leben, Licht und Weltordnung ist sehr alt und in vielen Kulturen zu finden (z.B. im babylonischen Schöpfungsepos, in der indischen Überlieferung, im Alten Testament, in der germanischen Mythologie, ...). In der ersten betreffenden Sequenz geht der Großfürst an ANDREJ, der an der Ikone des HL. GEORG malt, vorbei, nachdem er sich versichert hat, daß sich sein Hauptmann um die Baumeister und Steinmetze "kümmert". ANDREJ ist jedoch nicht fähig zu handeln, einzugreifen - er vermag nur wie gelähmt dazusitzen. Die Ikone ist zwar nur sehr kurz sichtbar - aber der Großfürst und seine Handlanger sind damit in die Nähe des Drachens gerückt, der als die Verkörperung gott- und menschenfeindlicher Mächte des Chaos und der Finsternis gilt. In der Episode "Die Glocke" taucht der HL. GEORG, Schutzpatron u.a. der Artisten und Bauern, der Pferde und des Viehs, wieder auf - und zwar als Relief auf der Glocke. Mit BORISKAs Tat, dem Trotz gegenüber den "Altvorderen" und "Mächtigen", kommt die Zerschmetterung des Drachens ins Bild. BORISKA wird damit eindeutig als positives Gegenbild zu ANDREJ präsentiert, der der Repression nicht das geringste außer innerer Emigration entgegenzusetzen hatte. Insofern "ist Boriska in unseren Augen der eigentliche geistige Held. Wir wollten zeigen, wie sich in finsterer Zeit jene wilde, leidenschaftliche Energie entwickelte, die in Boriska wirkte und in der Glocke Gestalt gewann."275
[199] Obwohl sich der Film viel mit RUBLËVS innerer, geistiger Reise beschäftigt, zieht sich ein starkes Gefühl für die physische Realität durch. Der Prolog ist beinahe eine aggressive Entfaltung der technischen Möglichkeiten, sowohl in der Kameraführung als auch in der Entschlossenheit, die Freude und den Schrecken des Flugs mit dem Ballonfahrer miterleben zu lassen. Sein Abenteuer beginnt mit einer Luftaufnahme die Fassade der Kirche hinunter als der Ballon steigt und wird fortgesetzt von einer Serie von Flugaufnahmen. Der Betrachter nimmt den Blickwinkel des Fliegenden ein, wie er triumphierend auf die wasserbedeckte Erde starrt, die er hinter sich läßt, und großen, auf ihn zustürzenden Bewegungen, als er halb-frohlockend und -schluchzend vor Vergnügen bzw. Angst in seinem Geschirr hängt. Begeisterung und Schrecken sind ausdrucksstark kombiniert, unterstrichen durch den schnellen Schnitt während dieser Sequenz, die Musik klingt abwechselnd spannungsgeladen, erregend und verhängnisvoll. Die Geräusche, die sich während des Flugs vom leisen Knarren der Seile zum erschreckenden Brausen und Zischen der entweichenden Luft verstärken, als der Ballon in sich zusammenfällt, sind den Vorgang unterstützend ausgewählt. Schließlich und wieder aus der Sicht des Ballonfahrers stürzt sein Fluggerät unbarmherzig zurück auf die Erde, um in einem schauderhaften Aufprall und einem Standbild dramatischer Endgültigkeit zu enden. (Das Standbild des Rasens konstituiert gemeinsam mit der bereits erwähnten erloschenen Feuerstelle - beides Bilder größter Abstraktheit - den formalen Rahmen des Films.)
[200] Wie in dieser Szene sind die Natur und die russische Landschaft ein sich durchziehender Hintergrund für die Handlungen der Figuren. RUBLËV, DANIIL, THEOPHANES und KIRILL verbringen viel Zeit damit, mühsam die ländliche Gegend auf der Suche nach Arbeit und einem Gönner zu durchwandern, den Elementen preisgegeben und von anderen hinsichtlich Unterkunft und grundlegenden Notwendigkeiten des Lebens abhängig. Auch BORISKA muß mit der Natur ringen - in der beinahe endlos erscheinenden Wurzel, der er bis zu ihrem Ausgangspunkt in einem riesigen Baum, der scheinbar unüberwindlich gegen den Himmel ragt, folgt. Seine eigene Bedeutungslosigkeit wird, wie er so ausgebreitet daliegt in der Ecke der Grube, durch die sich entfernende Kamera in der Vogelperspektive betont. Auch muß er auf der Suche nach dem richtigen Material durch den strömenden Regen wandern, um seine Arbeit tun zu können.
[201] Das Gießen der Glocke selbst betont stark die körperliche Anstrengung, die zur Schaffung von Kunst dazugehört. Viele Arbeiten werden in langen, komplizierten Kamerafahrten dargestellt, die die Zusammenarbeit der Männer trotz ihrer unterschiedlichen Aufgaben zeigen. Dies gipfelt in einer extremen Weitwinkel-aufnahme der Arbeiter, die die Stricke hunderte Meter vom anderen Flußufer zum Glockengelände hin spannen. Anschließend schwenkt die Kamera in der Vogel-perspektive über das mit geschäftigem Treiben erfüllte Arbeitsgelände. Auch die früheren Szenen mit den die Schmelzöfen heizenden Arbeitern vermitteln ein starkes Gefühl von physischer Anstrengung, Spannung und Gefahr, wenn die Kamera das schreiend helle Inferno erkundet, in dem sie sich abmühen.
[202] Hier hat TARKOVSKIJ vielleicht von DZIGA VERTOV wie von EISENSTEIN gelernt - Einflüsse, die er nie gerne anerkannte. Zwar sind zum Beispiel Ivan der Schreckliche und Andrej Rublëv stilistisch völlig verschieden, doch können gewisse Ähnlichkeiten, wenn nicht sogar Verweise festgestellt werden: Der Überfall auf Kazan, die zentrale Episode im ersten Teil des Ivan, beinhaltet konkrete Bezüge zum Überfall auf Vladimir; die italienischen Botschafter, die den Inspektionsritt zur Glocke begleiten, erinnern an die polnischen und litauischen Botschafter; und sowohl Ivan als auch Rublëv sind Schwarzweißfilme, die in großartiger Farbe enden. LE FANU schreibt ihnen außerdem gemeinsame Interessen zu:
The two artist share an attitude towards the Middle Ages that ist extraordinary for its robust tender appreciation. Both artists argue that, for all the horror of the times, men were more at home in the universe than they are now. And as so many decisions were literally matters of life and death, the soul became freed from triviality. Meanwhile (as perhaps never again) art, culture and the graces of life mysteriously flourished.276
[203] Wie im Angriff auf Kazan im Ivan dem Schrecklichen, Teil 1 verbindet TARKOVSKIJ beim Überfall auf Vladimir, wie auch beim Glockengießen, das Nahe mit dem Fernen, das genaue Detail und die individuelle Tätigkeit mit einem umfassenden Überblick (vgl. die Präsentation der Ikonen). Ähnlich auch die Darstellung einzelner Schicksale hilfloser Opfer: Obwohl der Schnitt sehr schnell ist, wird die sich mitbewegenden Kamera dazu eingesetzt, die Handlung jeder Einstellung auszudehnen und die Qual der Zuseher zu intensivieren. Durchgehende Kontinuität wird eher durch Klang und Musik erreicht, als durch die Darstellung einer logischen Entwicklung in Zeit und Raum. Die auffallenderen (und entsetzlichen) Ereignisse betonen das kaltblütige Vergnügen bei der Ausübung totaler Macht über wehrlose Opfer: Der reitende Fürst verfolgt einen unbewaffneten jungen Mann, später erkennbar als RUBLËVs Lehrling PJOTR, und schlitzt seinen Hals auf. Der Sterbende rollt über eine auf einem Baumstamm liegende Säge, und sein zuckender Körper bewegt sich im makaberen Rhythmus des sich sanft schwingenden Sägeblattes neben sich. Der nur mit einem Stock bewaffnete Lehrling FOMA läuft vor einem russischen Soldat davon, der ihn mit zunehmendem Vergnügen verfolgt, seinen Angriff sadistisch verzögert und FOMAs Appelle an ihn als Russen und Bruder ignoriert. Eine Frau, aus deren Bauch ein Speer hervorsteht, bricht zusammen; eine Schwangere befreit sich aus den Händen eines Soldaten, der sie zu vergewaltigen versucht, nur um von einem anderen gepackt und schreiend entlang der Zinnen geschleift zu werden.
[204] Das Gefühl von Hilflosigkeit wird besonders stark in den umstrittensten und schockierendsten Bildfolgen des Films zusammengefaßt: Ein blutendes Pferd verliert auf dem obersten Treppenabsatz sein Gleichgewicht, fällt die Stufen hinunter über das Geländer und landet deutlich schwer verletzt am Boden. Nachdem die Tataren in die Kathedrale einbrechen und eine Orgie des willkürlichen Tötens und Plünderns beginnen, wechselt die Perspektive zu einer sachlichen Vogelperspektive der von Panik erfaßten Stadtbewohner, die in langsamer Bewegung verwirrt herumlaufen. Stilistisch brillant ist der Tatarenüberfall gemeinsam mit der Blendung der Steinmetze gefühlsmäßig eine der stärksten Szenen im Film. Für TARKOVSKIJ war die Gewalt als Teil seines Versuches, die Geschichte so wahrheitsgetreu und realistisch wie möglich zu zeigen, gerechtfertigt.277 Diese Absicht leitete ihn auch bei der überlegten Wahl der ärmlichen, täglichen Kleidung, der unglamourösen und gewöhnlich aussehenden Schauspieler und kahler, öder Umgebungen, die die Armut und Not der damaligen Zeit unterstrichen und jeden Hauch von "Exotik" vermeiden helfen sollten. Die Gewalt ist auf inhaltlicher Ebene notwendig: Als Ursache für RUBLËVs Verzweiflung und den Verlust seines Glaubens an die Menschen sowie - als Teil eines der wesentlichen Themen des Films - als Darstellung des so leicht möglichen Machtmißbrauchs.
[205] In solchen Episoden wie der Verhaftung und gleichgültigen Mißhandlung des Gauklers und der Folter des Sakristan in Vladimir betont TARKOVSKIJ die kühle, uninteressierte, nüchterne Art, mit der die Obrigkeit und deren Gehilfen ihre wehrlosen Opfer einschüchtern und brutal mißhandeln. Als der festgebundene und schwer gefolterte Sakristan zu weiteren Mißhandlungen sorgfältig zurechtgerückt wird, sieht der Fürst teilnahmslos zu, und der Tatarenanführer begutachtet hämisch die Verwüstung, für die er verantwortlich ist. Die Arroganz der Mächtigen wird auch in der Blendungsszene sichtbar, als Stepan mehr damit beschäftigt ist, seine verlorene Peitsche wiederzufinden, als das Leiden der stöhnenden Opfer um ihn herum wahrzunehmen - er gibt sogar einem seiner Männer den Auftrag, einem von ihnen zu ``helfen'', indem er ihn einfach vom Weg schleift.
[206] Während all dessen ist RUBLËV wie bereits erwähnt eher ein distanzierter und passiver Beobachter als ein Handelnder - in dieser Hinsicht vom RUBLËV im Skript verschieden, der im Streit zwischen den Bauern vermittelt, in einen Kampf mit einem Tataren verwickelt wird und versucht, die Männer des Herzogs davon abzuhalten, die Steinmetze zu überfallen. Anschließend an die Blendungsszene - auf seinem Weg zur Gestaltung des Jüngsten Gerichts in Vladimir bei seiner Begegnung mit den Heiden - beginnt seine Passivität schuldhaft in dem Sinne zu werden, daß sie ein Einverständnis mit der brutalen Praxis der religiösen und politischen Obrigkeit bedeutet. Hier wird wieder die physische Struktur des Films von entscheidender Bedeutung für die Vermittlung des moralischen Themas, mit dem Rauch und den Flammen des Feuers, dem schimmernden Wasser des Flusses, den leuchtenden Fackeln, den dunklen Umrissen der Bäume und Büsche und den vorüberfliegenden Vögeln, die kurz weiße Flecken vor dem Hintergrund der aufziehenden Dämmerung bilden. Hier erscheint RUBLËV in seiner Mönchskleidung völlig fehl am Platz: eine eingesunkene und steife Figur in einer Umgebung, in der sich Musik, nackte Körper, Feuer, Wasser, Licht und Natur verbinden, um etwas beunruhigend und anziehend Sinnliches hervorzubringen. Er wird versucht und erliegt beinahe (oder doch). Seine Passivität wird am Ende dieser Sequenz, als er verschämt sein Gesicht von der Frau, die vor ihren Verfolgern flieht, abwendet, zum ersten Mal negativ gezeigt. Dennoch sind die Geschehnisse dieser Nacht, sein eventueller ``Sündenfall'', ein notwendiger Bestandteil seiner Vermenschlichung und möglichen Erlösung: Er muß seine eigene Fehlbarkeit und Fähigkeit zur Sünde erkennen - kulminierend in der Tötung des russischen Soldaten in Vladimir -, bevor seine Kunst den Bedürfnissen der gewöhnlichen, ähnlich sündhaften Menschen wahrhaftig dienen kann.
[208] Den Großteil des Films erzeugen die schwarzweißen Bilder, die sorgfältigen Bildkompositionen und das gemächliche Tempo eine distanzierende Wirkung, die eher eine unvoreingenommene Beobachtung als eine gefühlsmäßige Beteiligung (wie sie zum Beispiel in Ivans Kindheit entsteht) begünstigt. Dies schließt aber eine - von TARKOVSKIJ sogar gewünschte - unmittelbar emotionelle Rezeption nicht aus. Daß damit das Bedürfnis nach Idylle, Geborgenheit und Kitsch wiedererweckt wird, wie manche Kritiker behaupten, ist noch keine die Einschätzung des Films wirklich betreffende Aussage, sondern stellt etwas über das Klima fest, in dem er rezipiert wird. Der Vorwurf jedoch, daß der Verzicht auf Erklärbarkeit und Kommunikation auch die Verschleierung von Ursachen, Zusammenhängen und hierarchischen Machtstrukturen bedeutet, wiegt viel schwerer. ROTHSCHILD verschärft diese Beschuldigung, indem er TARKOVSKIJ des "militanten Irrationalismus" beschuldigt, dessen Aspekte die "Verabsolutierung des Glaubens als Weg zu Erlösung und Glückseligkeit", die "Verklärung des schöpferischen Aktes" und eine Auffassung von Poesie sind, die "Vieldeutigkeit mit Beliebigkeit, Öffnung gegenüber dem Rezipienten mit dem Verzicht auf Mitteilbarkeit verwechselt".278
[209] Diese harsche Kritik enthält aus aufklärerisch-rationaler Sicht zwar einen zutreffenden Kern, ist aber eben eine Kritik aus einer bestimmten Perspektive, die die Brüche und Widersprüche im konkreten Film außer acht läßt. Und diese Widersprüche sind nicht immer einfach nur unerklärbar mythischer Natur, sondern basieren auf der Widersprüchlichkeit unserer konkreten Lebenserfahrung. Wenn man aber wiederentdeckte Weisen der Wirklichkeitserfahrung wie den Mythos als unvereinbar mit unserem heutigen Stand von Wissenschaft und Technik sieht, dürften einen die Filme TARKOVSKIJs irritieren. Mir jedoch erscheint die in Andrej Rublëv umgesetzte formale Gestaltung des Konzepts der Remythisierung als eine weitere sehr interessante Möglichkeit, unsere "Wirklichkeit" ansatzweise zu erfassen.
Anhang 1: Einstellungsprotokoll zum Film Andrej Rublëv
[210] Das Einstellungsprotokoll ist nach den einzelnen Einstellungen gegliedert (Als "Einstellung" [engl. take] wird eine Abfolge von Bildern verstanden, die von der Filmkamera bei geöffnetem Verschluß aufgenommen werden.279). Aufgrund praktischer Überlegungen wurde dafür der Film in zwei Teile gegliedert (der zweite Teil beginnt mit "Der Überfall 1408"). Die manchmal beigestellten Buchstaben "a+b" bedeuten, daß in dieser Einstellung zwar geschnitten wurde, dies jedoch bei üblicher Betrachtung nicht bemerkbar ist und daher im Protokoll als eine Einstellung gewertet wurde. In der Schlußsequenz (Darstellung der Ikonen) wurde der Bereich zwischen zwei Schnitten als eine Einstellung gewertet (auch wenn in ihr eine oder mehrere Überblendungen vorhanden sind). Eine genauere Gliederung dieser Sequenz wird im Anhang 3 angeführt.
[211] In der Spalte "Zeit" werden die Beginnzeiten der Einstellungen ab dem Anfang des Films gemessen (0h 00m 00s bedeutet: 0 Stunden, 00 Minuten, 00 Sekunden). Teil I beginnt zum Zeitpunkt 0h 00m 00s und endet nach 1h 18m 20s. Teil II beginnt ebenfalls zum Zeitpunkt 0h 00m 00s und endet nach 1h 18m 20s.
[212] Die "Dauer" gibt die Einstellungslänge an und wird in Sekunden bzw. Minuten und Sekunden angegeben (00' 00'' bedeutet 00 Minuten, 00 Sekunden).
[213] In der Spalte "Ort" werden die Örtlichkeiten (z.B. am Fluß, in einer Kathedrale,...) und in der Spalte "Personen" die darstellenden Personen der Einstellung angeführt.
[214] Die Spalte "Motiv/Handlung/Bewegung" gibt neben der genaueren Beschreibung des Bildinhalts auch einen skizzenhaften Handlungsablauf an; z.T. werden bedeutende Kamerabewegungen, wie etwa ein Schwenk von einer auf eine andere Person, angegeben.
[215] Die Spalte "Kameraposition" umfaßt mehrere produktionstechnische Begriffe.280 Als Einstellungskonjunktion werden nur die Auf- und Abblende gesondert angegeben; wenn nichts anderes vermerkt ist, werden die Einstellungen durch Schnitte verbunden.
[216] Die Überblendungen in der Schlußsequenz werden in der Spalte "Motiv/-Handlung/Bewegung" angeführt. Die Einstellungsgrößen wurden in sechs Gruppen aufgeteilt: Großaufnahme (z.B. ganzes Gesicht), nah (z.B. Kopf und Oberkörper bis zur Brust), halbnah (z.B. von Kopf bis zum Unterleib), halbtotal (z.B. von Kopf bis zu den Unterschenkel), Totale (z.B. ganzer Mensch), weit (z.B. weitausgedehnte Landschaft). Zum Teil werden in Klammer die Anfangsbuchstaben der von der Kamera erfaßten Personen angemerkt - die entsprechende Person kann in der Spalte "Personen" gefunden werden. Weiters werden in dieser Spalte filmtechnische Besonderheiten, wie etwa Standbild oder Zeitlupe, angegeben.
[217] In der Spalte "Musik/Geräusche" werden auffällige (Hintergrund-) Geräusche und die allfällige Verwendung von Instrumentalmusik (im Protokoll mit "Musik" abgekürzt) oder Gesang angeführt.
[218] Beim "Dialog" meint "on", daß im Bild befindliche Personen sprechen, "off", daß die sprechende Person nicht sichtbar ist, "on/off" bzw. "off/on" bedeutet, daß eine der sprechenden Personen nicht im Bild ist bzw. das Bild "verläßt".
| Nr. | Zeit | Dauer | Ort | Personen | Motiv/Handlung/Bewegung | Kameraposition | Musik/Geräusche | Dialog |
| 1 | 0h 00m 00s | 22" | vor einer Kirche | vier Bauern | Bauern befestigen einen Ballon, Lagerfeuer, drei Bauern befestigen Ballon mit Stricken | Aufblende halbnah, von unten Totale | Glockenschläge | on |
| 2 | 0h 00m 22s | 13" | auf dem Fluß | Bauer | Bauer in einem Boot auf dem Fluß | halbnah Totale | Paddelgeräusche, Glockenschläge, Musik (monophone Melodie) | - |
| 3 | 0h 00m 35s | 07" | vor einer Kirche | Bauern, junger Mann | Bauern arbeiten am Ballon, ein junger Mann läuft vorbei | Totale | Glockenschläge | - |
| 4 | 0h 00m 42s | 38" | Fluß, Kirche | Bauern, junger Mann | ein Bauer läuft vom Fluß in Richtung Kirche, dahinter läuft ein junger Mann vorbei, der Bauer läuft dann durch die Kirche durch zum Ballon und wieder in die Kirche, der junge Mann läuft vorbei, Boote nähern sich dem Ufer | Totale halbnah Großaufnahme Totale halbnah Totale | Schreie, Musik | on |
| 5 | 0h 01m 20s | 16" | Kirche | Bauer, Männer, Frauen | Bauer läuft zum Fenster, blickt hinunter und läuft wieder weg, Männer und Frauen versuchen die Stricke, die den Ballon halten durchzureißen | Großaufnahme halbnah Totale weit Totale | Schreie aus der Menge, Musik | on |
| 6 | 0h 01m 36s | 17" | Dach der Kirche | Bauer, Menschenmenge | Bauer betritt das Dach der Kirche, Boote nähern sich dem Ufer | Großaufnahme halbnah | Getöse aus der Menge | on |
| 7 | 0h 01m 53s | 09" | vor einer Kirche | Männer | zwei Männer raufen bei der Kirche, die Männer versuchen, die Stricke zu zerreißen, ein Mann zieht an einem Strick, dieser reißt, Flammen eines Feuers sind zu sehen | Großaufnahme halbnah Totale Großaufnahme | Getöse aus der Menge, Musik | on |
| 8 | 0h 02m 02s | 07" | vor einer Kirche | Ballon steigt in die Luft (parallel zur Kirche) | halbnah | Getöse aus der Menge, Musik | off | |
| 9 | 0h 02m 09s | 39" | vor einer Kirche | Menschenmenge | Menschenmenge am Boden, Außenwand der Kirche, Menschen bei der Kirche, am Ufer, Menschen in Booten am Fluß | von oben: Totale halbnah Totale weit | Getöse aus der Menge, Gelächter, Musik | on/off |
| 10 | 0h 02m 48s | 05" | in der Luft nah der Kirche | Bauer | Bauer mir Stricken am Ballon befestigt, fliegt über den Fluß | Totale halbnah Großaufnahme | Gelächter, Musik | off |
| 11 | 0h 02m 53s | 15" | in der Luft über d. Fluß | Fluß, eine Rinderherde läuft entlang des Ufers | weit, von oben | Gelächter | off | |
| 12 | 0h 03m 08s | 04" | Bauer | Bauer in der Luft | halbnah | Musik | - | |
| 13 | 0h 03m 12s | 06" | in der Luft über der Stadt | Schwenk über die Stadt | weit, von oben | Musik | - | |
| 14 | 0h 03m 18s | 06" | in der Luft über d. Fluß | Bauer | Bauer fliegt über den Fluß, Ballon | Großaufnahme | off | |
| 15 | 0h 03m 24s | 17" | Schwenk über Seen | weit, von oben | Reißgeräusch und entweichende Luft | off | ||
| 16 | 0h 03m 41s | 01" | Bauer | Gesicht des Bauern, er blickt erschrocken | Großaufnahme | - | ||
| 17 | 0h 03m 42s | 08" | sich nähernder Fluß | Totale | - | |||
| 18 | 0h 03m 50s | 03" | Bauer | Bauer fliegt an der Kamera vorbei | Totale | - | ||
| 19 | 0h 03m 53s | 07" | am Fluß | Fluß, das Wasser kommt immer näher, der Ballon nähert sich dem Erdboden | Totale halbnah (Zoom) | Paukenschlag, entweichende Luft | off | |
| 20 | 0h 04m 00s | 14" | Flußufer | Pferd am Flußufer, es dreht sich über den Rücken um und legt sich hin, Boote mit Menschen am Fluß, Grasboden (Standbild) | Totale (Zeitlupe) | Musik | - | |
| 21 | 0h 04m 14s | 12" | Flußufer | Ballon liegt auf der Erde | Totale Abblende | Glockenschläge, Geräusch von sprudelndem Wasser und entweichender Luft, Musik | - | |
| 22 | 0h 04m 26s | 05 | Titel: Ein Gaukler 1400 | Aufblende Abblende | Ende der Musik | - | ||
| 23 | 0h 04m 31s | 44" | Feld | Andrej, Kirill, Daniil | Andrej, Kirill und Daniil gehen über Feld auf dem Garben stehen, es beginnt zu regnen, sie laufen | Totale | Glockenschlag | on |
| 24 | 0h 05m 15s | 22" | Feld | Andrej, Kirill, Daniil | Andrej, Kirill und Daniil laufen im Regen | Totale | - | |
| 25 | 0h 05m 37s | 1' 39" | Scheune | Gaukler, Männer, Frauen, Kinder | Scheune, Blick durch ein kleines Fenster: Andrej, Kirill und Daniil nähern sich, Gaukler mit Tamburin, er tanzt umher und singt dabei, Menschen an den Wänden sitzend | Totale Großaufnahme (G) halbnah Totale halbnah Totale halbnah nah halbnah nah | Gesang und Trommeln des Gauklers, Gelächter | on |
| 26 | 0h 07m 16s | 23" | Gaukler, Männer, Frauen, Kinder, Andrej, Kirill, Daniil | Scheune, die Beine des Gauklers sind zu sehen, er tanzt und singt weiter, lachende Menschenmenge, Andrej, Kirill und Daniil treten ein | nah (G.) halbnah Totale | Singen, Trommeln, Gelächter | on | |
| 27 | 0h 07m 39s | 01" | Gaukler | Gaukler stellt sich auf die Hände | halbnah | on | ||
| 28 | 0h 07m 40s | 04" | Frauen | Frauen blicken durchs Fenster | halbnah | off | ||
| 29 | 0h 07m 44s | 18" | Gaukler, Hausherr, Bauern | Hinterteil des Gauklers mit einer gezeichneten Fratze, er dreht sich um und setzt sich neben Hausherr, der ihm einen Krug reicht, der Gaukler ißt und trinkt | halbnah, von unten | Lachen | on | |
| 30 | 0h 08m 02s | 10" | betrunkener Mann | ein betrunkener Mann tanzt und singt in Mitte der Scheune | halbtotal/halbnah | Lachen und Reden, Musik (singende Frauenstimme) | on | |
| 31 | 0h 08m 12s | 07" | Gaukler, Hausherr | der Gaukler sitzt neben dem Hausherr, er stellt sich den Krug auf den Kopf | halbtotal | Musik (singende Frauenstimme) | off | |
| 32 | 0h 08m 19s | 06" | Andrej, Daniil, Kirill | Andrej, Daniil, Kirill stehen in der Tür der Scheune | halbnah | Musik (singende Frauenstimme) | on | |
| 33 | 0h 08m 25s | 45" | Hausherr, Gaukler, Kirill, Andrej, Daniil, Menschen | der Hausherr nimmt den Krug vom Kopf des Gauklers, Gaukler nähert sich der Tür (Kirill), geht hinaus und zieht sein Hemd aus, steht im Regen, dann verschwindet er und erscheint mit dem Kopf nach unten in der Tür | nah/halbtotal | Musik (singende Frauenstimme) | off/on | |
| 34 | 0h 09m 10s | 09" | Andrej, Daniil, Kirill | Andrej, Daniil, Kirill setzen sich am Fenster hin | halbnah | Musik (singende Frauenstimme) | - | |
| 35 | 0h 09m 19s | 11" | Gaukler | der Gaukler steht in der Tür im Regen | halbnah | Musik (singende Frauenstimme) | - | |
| 36 | 0h 09m 30s | 07" | Andrej | Andrej groß | Großaufnahme | Musik (singende Frauenstimme) | - | |
| 37 | 0h 09m 37s | 40" | Gaukler, Mädchen, Junge | Gaukler geht in Scheune und setzt sich auf seinen Platz, Schwenk über ein Mädchen zu einem Jungen | halbnah/nah halbnah | Musik (singende Frauenstimme) | - | |
| 38 | 0h 10m 17s | 12" | Kirill, Andrej | Kirill und Andrej sitzen am Fenster | Großaufnahme/nah | Musik (singende Frauenstimme) | on | |
| 39 | 0h 10m 29s | 44" | Mädchen, Junge, Gaukler, Hausherr, Bauern, Daniil, Andrej, Kirill | das Mädchen und der Junge betrachten den Gaukler, Schwenk über den Gaukler zum Hausherrn zur Tür und entlang der Wand, wo Leute sitzen, Daniil und Andrej schlafen, Kirill spricht vor der Scheune mit einem berittenen Krieger | halbnah Totale halbnah Großaufnahme | Musik (singende Frauenstimme und instrumental) | on/off | |
| 40 | 0h 11m 13s | 39" | vor der Scheune | 2 Bauern, Krieger | ein Mann bewirft anderen mit Deichselgabel, berittene Krieger erscheinen, der Bauer läuft weg, der zweite schwingt die Deichselgabel in Richtung eines Kriegers und fällt in den Dreck | Totale | Musik (singende Frauenstimme und instrumental) | on |
| 41 | 0h 11m 52s | 14" | Bauer, Krieger | der Bauer geht mit der Deichsel auf einen Krieger zu, er fällt hin | nah Totale | Musik (singende Frauenstimme und instrumental) | on | |
| 42 | 0h 12m 06s | 02" | Scheune | Mann | Mann in Scheune | nah | Musik (singende Frauenstimme und instrumental) | - |
| 43 | 0h 12m 08s | 11" | Gaukler, Hausherr, Männer, Kinder, Frauen | Gaukler, Hausherr, Männer, Frauen, Kinder sitzen schweigend da, ein Mädchen geht durch Scheune | Totale | Musik (singende Frauenstimme ), Hähne krähen | - | |
| 44 | 0h 12m 19s | 03" | Krieger | die Krieger stehen in der Tür | nah | Musik (singende Frauenstimme ) | on/off | |
| 45 | 0h 12m 22s | 1' 18" | Gaukler, Krieger, Männer, Kirill | Gaukler nähert sich Kriegern, geht mit ihnen auf den Hof, die Krieger packen den Gaukler und schlagen ihn gegen einen Baum, er fällt, die Krieger heben den Gaukler auf ein Pferd, ein Krieger geht in die Scheune und zerschlägt die Gusla (Saiteninstrument) vor der Scheune, Kirill tritt ein | halbnah Totale halbnah Totale | Musik (singende Frauenstimme), tropfendes Wasser, Hähne krähen | on/off | |
| 46 | 0h 13m 40s | 1' 00" | Andrej, Daniil | Andrej und Daniil am Fenster, Kirill geht zu ihnen, Andrej steht auf, weckt Daniil und geht mit Kirill zum Ausgang, Daniil geht zum Ausgang und dreht sich um | halbnah Totale (Rückfahrt) | Musik (singende Frauenstimme ), Hähne krähen | on | |
| 47 | 0h 14m 40s | 33" | See | Andrej, Kirill, Daniil, Krieger, Gaukler | Andrej, Kirill und Daniil gehen am See entlang, im Hintergrund reiten die Krieger mit dem Gaukler fort | halbnah Totale/weit Abblende | Ende des Liedes, Hähne krähen | - |
| 48 | 0h 15m 13s | 05" | Titel: Theophanes, der Grieche 1405 | Aufblende Abblende | Stimmen | - | ||
| 49 | 0h 15m 18s | 19" | Kirchenplatz | Kirill, Menschen-menge, Krieger, Gefangener | Kirchenplatz, Kirill geht an der Menge vorbei, die um ein Gerüst steht, der Gefangene Waska wird von Kriegern herbeigeschleppt und an Holzstämme gebunden | nah Totale/weit | Stimmen | off/on |
| 50 | 0h 15m 37s | 29" | Kathedrale von Novgorod | Kirill | Kirill geht durch die dunkle Kathedrale und bleibt stehen | Totale/halbnah | Schreie und Stimmen | on |
| 51 | 0h 16m 06s | 22" | Theophanes | die Füße von Theophanes, der auf einer Bank liegt erscheinen hinter einer Säule, Theophanes | Totale Fahrt | Schritte Kirills | - | |
| 52 | 0h 16m 28s | 04" | Kirill | Kirill bleibt stehen und blickt auf Theophanes | nah | - | ||
| 53 | 0h 16m 32s | 38" | Theophanes | Theophanes liegt auf einer Bank | halbnah | on/off | ||
| 54 | 0h 17m 10s | 33" | Kirill | Kirill schaut auf eine Ikone und geht darauf zu | Großaufnahme | on/off | ||
| 55 | 0h 17m 43s | 3' 11" | Theophanes, Kirill | Theophanes liegt auf einer Bank, er richtet sich auf, setzt sich neben Kirill, steht auf und geht zur Ikone, kommt wieder zurück und geht dann zur Tür, er kommt zu Kirill zurück, reden miteinander | nah (T.) halbnah Großaufnahme (K, T) halbnah (T.) nah (T.) nah (K., T.) halbnah (K.) | on/off | ||
| 56 | 0h 20m 54s | 1' 24" | Theophanes, Kirill | Theophanes steht an der Tafel und nähert sich Kirill, Theophanes läuft ärgerlich aus der Kathedrale hinaus, der Rücken Kirills im Vordergrund | halbnah (T.) halbnah (T., K.) Totale (T.) | on/off | ||
| 57 | 0h 22m 18s | 13" | Platz vor der Kathedrale | Gefangener (Waska), Volk | Platz vor der Kathedrale, man legt den blutigen Körper Waskas auf ein Rad, auseinandergehendes Volk | halbnah Totale | Schreie, Rufe, Stöhnen | off |
| 58 | 0h 22m 31s | 24" | Kathedrale von Novgorod | Kirill | Kirill steht in der Kathedrale, er nähert sich der Ikone | Großaufnahme halbnah Großaufnahme (Ikone) | Stimme Theophanes´, anschließend Stimme des Boten | off |
| 59 | 0h 22m 55s | 57" | Hof des Andronnikov-Klosters | Bote, Andrej, Aleksej, Daniil, andere Mönche, Pjotr, Foma | Hof des Klosters, ein Bote im Vordergrund, Andrej, Aleksej, Daniil und andere Mönche erscheinen, der Bote kniet, nähert sich dann Andrej; Pjotr, Aleksej, Foma und andere Mönche erscheinen im Bild, Kirill kommt, der Bote geht zu seinem Pferd und sitzt auf | halbtotal halbnah nah halbnah Totale | Krähen krähen | on |
| 60 | 0h 23m 52s | 14" | Andrej, Pjotr, Mönche | Andrej stehend, er geht an Pjotr vorbei, haucht in seine Hände, Mönche setzen Arbeit fort | halbnah | off | ||
| 61 | 0h 24m 06s | 1' 27" | Kirill, Daniil, Pjotr, Andrej, Foma, Aleksej, Mönche | Kirill steht neben einem Holzstoß, Daniil und Pjotr schlichten Holz, Andrej kommt hinzu, Kirill und dann Daniil entfernen sich, Andrej steht alleine und geht dann eilig zu den Zellen, hinter ihm Foma, Aleksej und Pjotr, vorbeischreitende Mönche | halbnah nah Totale | Krähen krähen | on | |
| 62 | 0h 25m 33s | 2' 24" | Zelle Kirills | Kirill, Foma | Zelle Kirills, er schaut auf Ikone und ißt eine Gurke, er geht umher, Foma tritt ein, geht wieder, Kirill wäscht sich das Gesicht und löscht die Fackel aus | halbnah halbtotal halbnah halbnah Totale halbnah | Hundegebell, Wassertröpfeln, Zischen der erloschenen Fackel | off/on |
| 63 | 0h 27m 57s | 1' 46" | Zelle Daniils | Daniil, Andrej | Zelle Daniil, eine Kerze brennt, Daniil steht am Tisch, die Tür geht auf, Andrej tritt ein, Daniil setzt sich, Andrej geht an den Tisch, setzt sich neben ihn | Totale (D.) Totale (A.+D.) halbnah (A.+D.) halbnah (A.) | Zirpen | on |
| 64 | 0h 29m 43s | 43" | Daniil, Andrej | Daniil groß, Schwenk auf Andrej, er küßt Daniils Hand | nah (D.) nah (A.) halbnah (D.+A.) | Zirpen, Glocken, quietschende Tür | on | |
| 65 | 0h 30m 26s | 07" | Kirill | in der Tür steht Kirill, geht wieder, als er die beiden erblickt | halbtotal | Glockengeläut | off | |
| 66 | 0h 30m 33s | 09" | Andrej, Daniil | Andrej kniend vor Daniil, steht dann auf und wischt sich mit der Hand eine Träne ab | halbtotal | Glockengeläut | - | |
| 67 | 0h 30m 42s | 2' 33" | Hof des Andronnikov-Klosters | Kirill, Aleksej, andere Mönche, Andrej, Daniil, Vorsteher | Kirill geht mit seinem Hund über den Hof des Klosters, Aleksej und der lange Mönch treten zu ihm, streiten, Mönche erscheinen, unter ihnen Andrej u. Daniil, und umringen ihn, der Vorsteher erscheint und jagt Kirill fort, Kirill geht eilig fort, stolpert, bleibt stehen, wirft den Sack hin, spuckt Richtung der Mönche und geht dann schnell davon, der Hund läuft hinter ihm her, der Vorsteher und die Mönche blicken ihm nach | Totale halbnah (K.) halbtotal Totale (A.+K.) nah (K.) | Ende des Glockengeläuts | on |
| 68 a+b | 0h 33m 15s | 19" | vor dem Tor des Klosters | Kirill | der Hund läuft durch das Tor des Klosters zu Kirill, und springt ihm an die Brust, dieser schlägt ihn mit einem Stock | Totale halbnah Abblende | Krähen krähen, Bellen und Jaulen des Hundes | - |
| 69 | 0h 33m 34s | 05" | Titel: Die Passion, wie Andrej sie erlebt 1406 | Aufblende Abblende | Vogelgezwitscher | - | ||
| 70 | 0h 33m 39s | 41" | Wald | Andrej, Foma | Andrej und Foma gehen im Wald, Foma bückt sich | Totale halbnah | Vogelgezwitscher | on |
| 71 | 0h 34m 20s | 09" | Schlange schlängelt sich bei der Wurzel eines Baumes | Totale | Vogelgezwitscher | off | ||
| 72 | 0h 34m 29s | 19" | Andrej | Andrej neben einem Baum | nah | Vogelgezwitscher | off/on | |
| 73 | 0h 34m 48s | 02" | Schlange schlängelt sich im Wasser davon | Totale | Vogelgezwitscher | - | ||
| 74 | 0h 34m 50s | 05" | Foma | Foma erhebt sich vom Boden | halbnah | Vogelgezwitscher | on/off | |
| 75 | 0h 34m 55s | 25" | Andrej, Foma | Andrej und Foma überqueren einen Bach und setzen sich auf eine Baumwurzel | Totale | Vogelgezwitscher | on | |
| 76 | 0h 35m 20s | 25" | Hand von Foma und Andrej | die Hand Fomas streckt sich zu einem Baumstamm, Schwenk über die Wurzel zur Hand Andrejs | nah | Vogelgezwitscher | off | |
| 77 | 0h 35m 45s | 08" | Foma | Foma sitzt neben einer Baumwurzel u. dreht sich um | Großaufnahme | Vogelgezwitscher | on | |
| 78 | 0h 35m 53s | 18" | Theophanes | die nackten Füße Theophanes´ in einem Ameisenhaufen, Theophanes | nah | Vogelgezwitscher | - | |
| 79 | 0h 36m 11s | 14" | Andrej, Foma | Andrej und Foma sitzen im Gras, dann stehen sie auf, Andrej groß, Theophanes´ Stimme | Totale (F.+A.) halbnah (A.) | Vogelgezwitscher | off/on | |
| 80 | 0h 36m 25s | 11" | Theophanes, Foma | Theophanes packt Foma beim Ohr, dieser reißt sich los und läuft weg, Andrejs Stimme | halbnah | Vogelgezwitscher | off/on | |
| 81 | 0h 36m 36s | 15" | Foma | Foma geht durch den Wald, Theophanes´ Stimme | Totale | Vogelgezwitscher | off | |
| 82 | 0h 36m 51s | 29" | Foma | Foma steht still, Schwenk auf einen toten Schwan, der im Gras liegt, Foma bückt sich und berührt den Schwan, Theophanes´ Stimme | Totale (F.) Großaufnahme (Schwan) | Vogelgezwitscher | off | |
| 83 | 0h 37m 20s | 2' 47" | Bach | Foma, Andrej, Theophanes | Foma sitzt am Bach und wäscht Pinsel aus, Andrej erscheint, Theophanes kommt und Andrej verläßt das Bild, dann tritt Andrej zu Theophanes, er tritt beiseite, Andrej wendet sich ab und steht mit dem Rücken zur Kamera | Totale (F.) nah (A.) Großaufnahme/nah (A.+T.) | Wasserplätschern, Kuckuck ruft, Musik beginnt | off/on |
| 84 | 0h 40m 07s | 34" | "Weg nach Golgotha" | Christus, Gruppe von Leuten | der Weg nach Golgotha, ein weißes Tuch weht in einem Bach, Christus trinkt Wasser, Füße von vorbeigehenden Leuten, auf dem Pfad geht eine kleine Gruppe von Menschen | nah (Tuch) halbnah (Chr.) Totale | Musik | off (Andrej) |
| 85 | 0h 40m 41s | 26" | Christus, Gottesmutter, Maria Magdalena, Josef | schneebedeckter Hang, darauf sieht man eine Prozession, Christus geht vorne und trägt ein großes Holzkreuz, im Vordergrund gehen die Gottesmutter und Maria Magdalena, danach geht Josef vorbei | Totale halbnah | Musik, Chorgesang | off (A.) | |
| 86 | 0h 41m 07s | 26" | Christus, Prozession, Maria Magdalena, Gottesmutter, Josef | sie nehmen Christus das Holzkreuz ab, er richtet sich auf, die Prozession geht an ihm vorbei, darunter Maria Magdalena, die Gottesmutter und Josef | halbnah (Chr.) halbnah (Proz.) | Musik, Chorgesang | off (A.) | |
| 87 | 0h 41m 33s | 21" | Prozession, Christus, Krieger | die Prozession kommt durch ein belebtes Dorf, Christus geht voran, Krieger galoppieren vorbei | Totale | Musik, Chorgesang | off (A.) | |
| 88 | 0h 41m 54s | 22" | Volk, Krieger, Christus | Volk geht entlang einer Stadtmauer, Krieger galoppieren vorbei, auf dem Schneehang neigt sich das Holzkreuz und kriecht nach oben, Christus klettert hinten nach | Totale halbtotal | Musik, Chorgesang | off (A.) | |
| 89 | 0h 42m 16s | 17" | Prozession, Gottesmutter, Maria Magdalena, Josef | Prozession bewegt sich auf die Kamera zu, die Menschen bleiben stehen und fallen auf die Knie, im Vordergrund die Gottesmutter, Maria Magdalena und Josef | halbtotal | Musik, Chorgesang | off (A.) | |
| 90 | 0h 42m 33s | 10" | Christus | Christus ißt Schnee | nah | Musik, Chorgesang | - | |
| 91 | 0h 42m 43s | 15" | Krieger | auf dem Schnee liegt ein Kreuz, eine Hand mit einem Stück Birkenrinde (mit Aufschrift) streckt sich aus und wird an das Kreuz genagelt | halbnah | Musik, Chorgesang | - | |
| 92 | 0h 42m 58s | 1' 07" | Christus, Maria Magdalena, Mädchen, Krieger | Christus sitzt am Boden, er richtet sich auf, Maria Magdalena fällt zu seinen Füßen, Schwenk auf die Füße Christi, die über den Schnee gehen, er geht an einem Mädchen vorbei und legt sich auf das Kreuz, Krieger gehen neben dem Kreuz, Maria Magdalena wirft sich zu Boden, ein Krieger tritt zu ihr | Großaufnahme nah (Maria M.) halbnah (Füße Chr.) Totale (M.) | Musik, Chorgesang | - | |
| 93 | 0h 44m 05s | 09" | Josef, Gottesmutter, Prozession | Josef schaut Christus an, die Gottesmutter senkt den Kopf, schmerzerfüllte Gesichter der Prozession | Großaufnahme (J.+Gottesm.) | Musik, Chorgesang | - | |
| 94 | 0h 44m 14s | 12" | Prozession, Krieger, Christus | die ganze Prozession liegt auf den Knien im Schnee und blicken zum Berg, Krieger richten Kreuz mit dem gekreuzigten Christus auf | Totale | Ende des Chorgesangs | - | |
| 95 | 0h 44m 26s | 27" | am Fluß | Foma | am Fluß, Foma lauschend, Schwenk auf das Wasser, Farbtröpfchen verbreiten sich auf dem Wasser, Wasserpflanzen bewegen sich | Großaufnahme Abblende | Ende der Musik | off (Theoph + Andrej) |
| 96 | 0h 44m 53s | 04" | Titel: Feiertag 1408 | Aufblende Abblende | - | |||
| 97 | 0h 44m 57s | 41" | Fluß | Ikonenmaler, Pjotr, Foma, Daniil, Aleksej, Andrej | ein Boot mit Ikonenmalern treibt auf dem Fluß, ein zweites Boot am Ufer, in dem Pjotr, Foma und Daniil sitzen, Foma geht, Aleksej erscheint | Aufblende Totale halbtotal (A.+F.) nah (P.) | Musik | on |
| 98 | 0h 45m 38s | 36" | Flußufer | Foma, Andrej, Ikonenmaler | Abend. Foma und Andrej gehen am Ufer und ziehen einen Baumknorren mit sich, Lagerfeuer der Ikonenmaler in der Ferne | Totale (A.+F.) halbnah (A.+F.) | Musik, Vogelgezwitscher (Nachtigall) | on |
| 99 | 0h 46m 14s | 45" | Andrej, junge Mädchen und Männer | am Flußufer, Feuer blinken, Andrej tritt ins Bild, er bleibt stehen, junge Männer und Frauen tragen Fackeln, Andrej läuft ihnen nach | Totale Großaufnahme (A.) halbnah (A.) Totale (A.) | Musik | off/on | |
| 100 | 0h 46m 59s | 19" | nackte junge Mädchen und Männer | Lagerfeuer blinken, entlang dem Flußufer mit Bäumen und Sträuchern laufen nackte Männer und Frauen, sie laufen zum Fluß und ins Wasser hinein | Totale halbnah | Musik, undeutliches Lachen und Schreien | on | |
| 101 | 0h 47m 18s | 06" | nackte junge Mädchen und Männer, Andrej | am Ufer erblickt man nackte Männer und Frauen im Lauf zwischen den Bäumen, Andrej ist stehengeblieben | Totale | Musik, undeutliches Lachen und Schreien | - | |
| 102 | 0h 47m 24s | 12" | Andrej, nackte junge Frau | Andrej ist hinter Bäumen versteckt und beobachtet die Szene, Schwenk auf eine nackte, junge Frau | Großaufnahme (A.) Totale (Frau) | Musik | - | |
| 103 | 0h 47m 36s | 05" | Andrej | Andrej schaut sie an | halbnah | Musik | off | |
| 104 | 0h 47m 41s | 05" | nackte Frau | die nackte Frau steht in den Büschen, jemand zieht sie an der Hand hinunter und verschwindet in den Büschen | halbnah | Musik | on | |
| 105 | 0h 47m 46s | 27" | Andrej | Andrej geht langsam auf die Kamera zu, er bleibt stehen und beugt sich hinunter, Schwenk auf Andrejs Füße, seine Hände löschen die brennende Kutte | halbnah nah | Musik | - | |
| 106 | 0h 48m 13s | 17" | Gestalt, kleines Mädchen | Gestalt in einem weißen Kleid erscheint in den Büschen, ein kleines Mädchen läuft ihr nach, die Gestalt verschwindet hinter den Büschen | Totale | Musik | - | |
| 107 | 0h 48m 30s | 23" | Flußufer, Scheune | Andrej, Marfa | Andrej schleicht entlang einer Scheunenwand und schaut in die Scheune hinein, Marfa vollzieht in der Scheune magische Beschwörungen, Andrej steigt eine Leiter hoch, springt herunter und steigt wieder hinauf | nah (A.) halbnah (A.) Totale (M.) | Musik, undeutliches Lachen und Geschrei aus der Ferne | - |
| 108 | 0h 48m 53s | 1' 10" | Andrej, drei Männer | Andrej blickt durch Fenster in die Scheune, drei Männer packen ihn und binden ihn in der Scheune mit Pferdezügeln an Pfosten, dann gehen sie fort, Andrej groß | nah (A.) halbtotal halbnah Großaufnahme (A.) | Musik | on | |
| 109 | 0h 50m 03s | 1' 35" | Marfa, Andrej | Marfa blickt zu Andrej, tritt zu ihm, entfernt sich dann nach hinten, kommt dann wieder auf ihn zu, wirft die Pelzjacke ab und küßt ihn, sie bindet Andrej los, er läuft weg | halbnah (M.) nah (M.) nah (M.+A.) halbnah (M.) halbnah (M.+A.) | Musik | on | |
| 110 | 0h 51m 38s | 53" | am Fluß | Leichenzug | ein Leichenzug mit einem Sarg, in dem angezogene Strohpuppe mit einer brennenden Kerze in der Hand liegt, wird ins Wasser gelassen, der Sarg schwimmt zwischen nackten Männern und Frauen mit Fackeln in den Händen, ein Schimmel steht im Wasser | halbtotal Totale | Musik | - |
| 111 | 0h 52m 31s | 07" | Andrej | Andrej reiß sich die Kutte herunter, verschwindet hinter den Büschen | halbnah Totale | Musik | - | |
| 112 | 0h 52m 38s | 20" | Gebüsch am Flußufer | Andrej | Andrej schleicht zwischen den Büschen, bleibt stehen und blickt sich um, wischt sich Blut vom Gesicht | halbtotal halbnah | Musik | - |
| 113 | 0h 52m 58s | 19" | Marfa | die nackte Marfa erscheint zwischen den Büschen und schaut Andrej an | nah Großaufnahme | Musik | - | |
| 114 | 0h 53m 17s | 41" | heidnisches Dorf, Scheune | Andrej, schlafende Männer und Frauen, alte Frau | Andrej schleicht sich vorsichtig durch ein heidnisches Dorf, er geht in eine Scheune, eine Alte auf den Knien, schlafende Burschen und Mädchen im Hintergrund, die Alte verschmiert eine Träne auf der Backe | Totale (A.) nah (alte Frau) | Ende der Musik, knarrendes Holz, Hahn kräht | - |
| 115 | 0h 53m 58s | 27" | Andrej | Andrej tritt aus der Scheune hinaus und geht weg, weidende Pferde | Totale | Hähne krähen, knarrendes Holz | - | |
| 116 | 0h 54m 25s | 28" | Flußufer, Lagerfeuer | Andrej, Pjotr, Foma, Daniil, Frau, Aleksej, Sergej | Andrej geht am Flußufer entlang, er bleibt stehen, am Lagerfeuer sitzen Pjotr, Foma, Daniil und eine Frau, in der Ferne stehen Aleksej und Sergej bei den Booten | Totale (A.) halbnah (A.) nah (A.) Totale | Hahn kräht | on |
| 117 | 0h 54m 53s | 14" | Andrej | Andrej hockt sich vor dem Feuer hin und ißt eine Zwiebel | halbnah | Andrej ächzt | off | |
| 118 | 0h 55m 07s | 28" | Flußufer | Pjotr, Foma, Daniil, Frau | auf dem Fluß schwimmt der Sarg mit der verbrannter Strohpuppe vorbei, Schwenk auf Pjotr, Foma, Daniil und die Frau im Vordergrund | Totale (Sarg) halbnah (Maler) | plätscherndes Wasser | off (Andrej) |
| 119 | 0h 55m 35s | 14" | der Sarg mit der verbrannten Strohpuppe stößt an ein Boot und schwimmt weiter | Großaufnahme (Sarg) | Stoß des Sargs auf ein Boot | - | ||
| 120 | 0h 55m 49s | 28" | Ikonenmaler, Daniil, Andrej | der Fluß, Schwenk über das Gras, das Boot mit den Ikonenmalern erscheint, ein anderes Boot mit Daniil und Andrej | Totale halbtotal (A.+D.) | plätscherndes Wasser | off/on | |
| 121 | 0h 56m 17s | 11" | Flußufer | Mann, Frau, Mönche, Krieger | ein Mann und Marfa laufen von den Büschen zum Fluß, sie werden von Mönchen und Kriegern gejagt | Totale | plätscherndes Wasser, Beginn der Musik | on |
| 122 | 0h 56m 28s | 21" | Fluß | Ikonenmaler, Aleksej, Pjotr, Sergej, Foma, Frau, Daniil, Andrej | die Ikonenmaler blicken neugierig aus den Booten, Aleksej und Pjotr im Vordergrund, im anderen Boot sitzen Sergej, Foma und die Frau, das erste Boot schwimmt vorbei, Daniil im Bild, dann Andrej, die Frau bedeckt Sergej die Augen | halbnah | Musik | on/off |
| 123 | 0h 56m 49s | 41" | Flußufer | Fedor, Krieger, Mönch, Marfa | am Ufer, Fedor befreit sich von den Kriegern, er wankt ins Wasser, fällt hin, er wird von den Kriegern und Mönchen gepackt und ans Ufer geschleppt, er reißt sich los, eilt zu Marfa, und versetzt einem Krieger einen Stoß, Marfa reißt sich los und läuft am Ufer entlang, hinter ihr die Krieger | Totale halbtotal (F.) Totale (F.+Kr.) halbtotal (F.) Totale (M.+F.+Kr.) halbnah | Musik | on/off |
| 124 | 0h 57m 30s | 05" | Fluß | Andrej | Andrej | nah | Musik | off |
| 125 | 0h 57m 35s | 09" | Flußufer | Marfa | Marfa wirft sich ins Wasser und schwimmt | Totale | Musik | off |
| 126 | 0h 57m 44s | 09" | Fluß | Marfa | Marfa schwimmt im Wasser | Totale halbnah | Musik | off |
| 127 | 0h 57m 53s | 36" | Fluß | Andrej, Marfa | das Boot mit Andrej schwimmt an der Kamera vorbei, Marfa schwimmt vorbei in Richtung des anderen Ufers | halbnah (A.) von oben: halbnah (M.) Totale (M.) Abblende | Ende der Musik | - |
| 128 | 0h 58m 29s | 04" | Titel: Das Jüngste Gericht Sommer 1408 | Aufblende Abblende | - | |||
| 129 | 0h 58m 33s | 51" | Uspenskij-Kathedrale | Sergej, Pjotr, Grigorij | die Kathedrale, Sergej sitzt am Boden, Schwenk über die Innenwände der Kathedrale, Sergej erhebt sich und geht langsam, Pjotr arbeitet an einer weißen Säule, Schwenk vorbei an Grigorij, der mit dem Rücken zur Kamera steht, Aleksej geht vorbei, Foma schließt das Buch und steht auf, der Sakristan winkt und läuft zu Foma | Aufblende Totale halbnah | off/on | |
| 130 | 0h 59m 24s | 16" | Sakristan, Foma, Sergej, Pjotr | Foma, der Sakristan geht auf Foma zu, Pjotr arbeitet an einer weißen Wand, Sergej sitzt am Boden | halbnah (F.) Totale (Sakr.) | on | ||
| 131 | 0h 59m 40s | 1' 35" | Sakristan, Foma, Pjotr, Ikonenmaler | Sakristan spricht zu Foma, Pjotr arbeitet an einer weißen Wand | halbnah (Sakr.+F.) Totale (Sakr.) halbnah (Sakr.+F.) | on | ||
| 132 | 1h 01m 15s | 10" | Getreidefeld | Daniil, Andrej, ein Reiter | ein Getreidefeld, Daniil erscheint im Bild und bleibt stehen, Andrej geht hinter ihm, er bleibt stehen, ein Reiter entfernt sich | nah (D.) Totale halbnah (D.) Totale (A.+D.) | Bienensummen | on/off |
| 133 | 1h 01m 25s | 1' 05" | Daniil, Andrej, ein Reiter | ein Getreidefeld, Daniil und Andrej am Wegrand | Bienensummen | |||
| 134 | 1h 02m 30s | 50" | Andrej, Daniil, Reiter | Andrej tritt an den Wegrand, er dreht sich um und geht zu Daniil, dabei verläßt er das Bild, Daniil geht nach, der Schwenk folgt ihm, ein Reiter kommt vorbei | nah (A.) Totale (A.) nah (A.+D.) halbnah (A.+D.) | Bienensummen, Pferdegetrappel | on/off | |
| 135 | 1h 03m 20s | 04" | Andrej, Daniil | Getreidefeld, Andrej groß | nah (A.) | Bienensummen, Pferdegetrappel | on | |
| 136 | 1h 03m 24s | 49" | Uspenskij-Kathedrale | Foma, Andrej, Daniil, Pjotr, Frau, andere Maler | Kathedrale, Foma geht zum Tisch, nimmt seine Pinsel, steckt sie ein und geht zu Andrej, dann geht er an Daniil vorbei zum Ausgang | halbnah (F.) halbnah (F.+A.) Totale (F.) | zuschlagende Tür | on |
| 137 | 1h 04m 13s | 42" | Andrej, Foma, Daniil, Aleksej, Pjotr | Andrej blickt Foma nach, geht mit gesenktem Kopf zu Daniil, vorbei an Aleksej und Pjotr, Andrej groß | nah (A.) Großaufnahme (A.) | off | ||
| 138 | 1h 04m 55s | 07" | verkohlter Baum | drei Maler | Baum, Maler gehen im Hintergrund vorbei, Schneeflocken? | Großaufnahme (Baum) | off | |
| 139 | 1h 05m 02s | 09" | Gemächer des Großfürsten | Großfürst | die weißen Gemächer des Großfürsten, der Großfürst versteckt sich hinter einer Säule und kommt auf der anderen Seite hervor, er geht auf die Kamera zu, Schneeflocken? | Totale bis halbnah | off | |
| 140 | 1h 05m 11s | 25" | verkohlter Baum im Hof | Andrej | ein verkohlter Baum, davor Andrej, er hockt sich hin, Milch spritzt ihm von außerhalb ins Gesicht, er schüttelt sich, Schneeflocken? | halbnah nah Großaufnahme | off/on | |
| 141 | 1h 05m 36s | 08" | Gemächer des Großfürsten | 1. Fürstentochter | die weißen Gemächer des Großfürsten, die Prinzessin läuft herein und steigt auf eine Bank, sie springt herunter und läuft weiter, Schneeflocken? | halbnah Totale | Gelächter | off |
| 142 | 1h 05m 44s | 1' 04" | Andrej, 1. Fürstentochter, Großfürst, Maler, Hauptmann (Stepan), Fürstensohn | Andrej geht hinter der Fürstentochter her, durch die Türöffnung sieht man in angrenzenden Saal den Fürsten und die Maler, Andrej tritt zur Fürstentochter, nimmt sie auf den Arm und geht, der Hauptmann des Großfürsten kommt ihnen mit dem Fürstensohn auf dem Arm entgegen, Andrej geht durch die Tür in den anderen Saal, am Großfürsten vorbei, Werkbank groß, Schneeflocken? | halbnah (A.) nah (A.) halbnah (A.+FT) nah (A.+FT) halbnah | on/off | ||
| 143 | 1h 06m 48s | 57" | Großfürst, Alter Meister, Hauptmann, Fürstensohn, 2. Fürstentochter | Großfürst betrachtet seine Gemächer, geht zu Altem Meister, der Hauptmann mit dem Fürstensohn auf dem Arm, er reißt sich los und schlägt den Hauptmann, dieser nimmt die zweite Tochter des Fürsten bei der Hand und geht, Schneeflocken? | nah (GF) halbnah (GF.+AM.) | Gelächter der Fürstentochter | on/off | |
| 144 | 1h 07m 45s | 11" | Hauptmann samt Kinder, Andrej | der Hauptmann entfernt sich mit den Kindern, Schwenk auf die Wände, dann über die Werkbank, Andrej steht in Fensteröffnung, Schneeflocken? | halbnah (HM.) Totale | off | ||
| 145 | 1h 07m 56s | 21" | Alter Meister, Stotterer, Großfürst | der Alte Meister groß, Schwenk auf den Stotterer, Schwenk zurück auf den Alten Meister und auf den Großfürsten, Schneeflocken? | Großaufnahme nah | on/off | ||
| 146 | 1h 08m 17s | 15" | beim Palast des Großfürsten | Sergej, Andrej | Sergej mit Bündel in der Hand läuft zwischen den Bäumen, er kommt zu Andrej und legt es auf einen Stein, die Hand des Malers knüpft das Bündel auf, Schneeflocken? | Totale (S.) halbnah (S.) Großaufnahme (Bündel) | off | |
| 147 | 1h 08m 32s | 27" | neben einer Hütte | Andrej, Daniil, Sergej, Alter Meister, Maler | Andrej und Daniil, Andrej tritt zur Seite, Schwenk auf Daniil, Sergej, und dann auf den Alten Meister, ein Maler sitzt auf einen Stein und wirft Sergej einen Apfel zu, Schneeflocken? | halbnah (D.+A.+Maler) halbnah Totale | on/off | |
| 148 | 1h 08m 59s | 5" | im Fürstenpalast | Ikone (Hl. Georg mit Lanze), Schneeflocken? | Großaufnahme | off/on | ||
| 149 | 1h 09m 04s | 12" | Andrej, 2. Fürstentochter, 1. Fürsten-tochter, Hauptmann, Reiter, | Andrej sitzt in der Tür, in der Nähe sitzt die kleine Fürstentochter, die ältere Fürstentochter tritt hinzu, im Hof der Hauptmann mit Gefolge auf Pferden, Schneeflocken? | Totale (A.+FT) | off/on | ||
| 150 | 1h 09m 16s | 26" | Großfürst | der Großfürst in der Tür, er geht schnell an Andrej vorbei, er tritt auf die Schwelle und dreht wieder um, Schneeflocken? | Totale halbnah | off/on | ||
| 151 | 1h 09m 42s | 39" | Wald | Hauptmann, Maler, Krieger, Stotterer, Alter Meister | ein tiefer dunkler Wald, der Hauptmann auf dem Pferd erscheint, die Maler erscheinen hinter den Büschen, sie gehen am Weg entlang, sie werden von den Kriegern umringt, der Hauptmann holt mit dem Bein den Hals des Stotterers heran, er zieht sein Messer | Totale, von oben | Vogelgezwitscher, Schreien und Klagen | on |
| 152 | 1h 10m 21s | 14" | Hauptmann, Stotterer | der Hauptmann sticht dem Stotterer die Augen aus, er reitet fort | halbnah | Vogelgezwitscher, Schreien und Klagen | on | |
| 153 | 1h 10m 35s | 29" | Sergej, Krieger, Hauptmann, Maler | Sergej läuft davon, im Hintergrund die Krieger beim Ausstechen der Augen der Maler, der Hauptmann kommt heran, die Krieger schleifen einen erschlagenen Maler in die Büsche | Totale | Schreie, Stöhnen, Pferdegewieher | on | |
| 154 | 1h 11m 04s | 1' 06" | geblendeten Maler, Krieger, Hauptmann, Kosjol (Krieger), Sergej | die geblendeten Maler kriechen durch Wald, Krieger steigen auf ihre Pferde und reiten weiter, der Hauptmann sucht seine Peitsche, Kosjol kommt herbei und reicht sie ihm, der Hauptmann reitet fort und die Krieger nach, Sergej kommt hinter Baum hervor, er erblickt den toten Maler und bleibt stehen | Totale halbnah (S.) | Vogelgezwitscher, Stöhnen, Pferdegewieher | on | |
| 155 | 1h 12m 10s | 01" | junger Maler | ein junger Mann fällt auf die Erde, blutige Wunden klaffen anstatt seiner Augen | halbtotal | Röcheln des Malers | on | |
| 156 | 1h 12m 11s | 07" | Sergej | Sergej geht durch den Wald, er bleibt stehen | halbtotal halbnah | Vogelgezwitscher | - | |
| 157 | 1h 12m 18s | 21" | Arm eines Getöteten | im Sumpf liegt der Arm eines Getöteten, Schwenk auf ein Gefäß mit Milch, die Milch zerfließt langsam im Wasser | Großaufnahme | lauter Schlag eines zerbrechenden Tontopfs, Vogelgezwitscher, | - | |
| 158 | 1h 12m 39s | 1' 09" | Uspenskij-Kathedrale | Andrej | auf der weißen Wand der Kathedrale erscheinen Farbflecke, Andrej verschmiert mit der Hand die Farbe auf der Wand, Andrej steht mit dem Rücken zur Kamera, an eine Säule gelehnt, die Hände Andrejs erscheinen im Bild, Sergej liest aus der heiligen Schrift vor | halbnah nah | Regen, Weinen | on/off |
| 159 | 1h 13m 48s | 17" | Närrin | eine Närrin mit einem Bündel Stroh kommt in die Kathedrale, sie bleibt stehen, Sergej liest aus der heiligen Schrift vor | Totale | Plätschern des Regens | off | |
| 160 | 1h 14m 05s | 13" | Andrejs Hand | Andrejs Hand, Sergej liest aus der heiligen Schrift vor | Großaufnahme | Regen, Donner | off | |
| 161 | 1h 14m 18s | 05" | die Tür der Kathedrale, Sergej liest aus der heiligen Schrift vor | halbnah | Regen | off | ||
| 162 | 1h 14m 23s | 16" | Närrin | die Närrin geht von Tür zur Mitte der Kathedrale, Sergej liest aus der heiligen Schrift vor | halbnah Totale halbnah nah | Regen | off | |
| 163 | 1h 14m 39s | 1' 30" | Sergej, Närrin, Daniil, Aleksej, Andrej | Sergej liest aus hl. Schrift vor, Mädchen geht zu ihm, schaut ins Buch hinein und geht weiter, sie geht an Daniil, Aleksej und Andrej vorbei, geht zur mit Farbe verschmierten Wand und reibt mit den Händen daran | halbnah (S.) halbnah/nah (Mädchen) | Regen | on/off | |
| 164 | 1h 16m 09s | 04" | Andrej | Andrej steht mit dem Rücken zur Kamera | Großaufnahme | Regen | off | |
| 165 | 1h 16m 13s | 05" | Närrin | das weinende Mädchen dreht sich zur Wand | Großaufnahme | Regen | - | |
| 166 | 1h 16m 18s | 06" | Andrej | Andrej steht mit dem Rücken zur Kamera | nah | Regen | off | |
| 167 | 1h 16m 24s | 48" | Andrej, Daniil, Pjotr, Grigorij, Frau, Närrin | Andrej steht mit dem Rücken zur Kamera am Gerüst, dann geht er durch die Kathedrale, Schwenk auf Daniil, Pjotr, Grigorij und die Frau, die Närrin hockt auf dem Boden, Andrej dreht sich um und verläßt Kathedrale, Sergej liest aus der Schrift vor und hört wieder auf | halbnah (A.) Totale | Regen | off/on | |
| 168 | 1h 17m 12s | 55" |
[219] Daniil, Aleksej, Pjotr, Grigorij, Frau, Sergej, Närrin |
Daniil, Aleksej, Pjotr, Grigorij und die Frau, Sergej kommt ins Bild, die Närrin hockelt, alle blicken Andrej nach, die Närrin steht auf, geht auf die Kamera zu und verläßt das Bild, die Ikonenmaler blicken ihr nach | Totale nah (Mädchen) | Regen, Donner | on | |
| 169 | 1h 18m 07s | 07" | Närrin | die Närrin geht entlang der dunklen Wand und öffnet das Tor | halbnah | Rauschen des Regens , Donner | - | |
| 170 | 1h 18m 14s | 06" | Ikonenmaler | die Ikonenmaler blicken Andrej und dem Mädchen nach | Totale | Rauschen des Regens , Donner | - | |
| Teil I | 1h 18m 20s |
| Nr. | Zeit | Dauer | Ort | Personen | Motiv/Handlung/Bewegung | Kameraposition | Musik/Geräusche | Dialog |
| 1 | 0h 00m 00s | 4" | Titel: Der Überfall 1408 | Aufblende Abblende | - | |||
| 2 | 0h 00m 04s | 1' 33" | Fluß | russ. Heer, Fürst, tatarische Heer, Khan | Fluß, russ. Heer, rauchende Lagerfeuer, Pferde, Tataren reiten ins Bild | Aufblende weit (r. Heer) Totale (Tataren) | Reden, Pferdegewieher, allgemeiner Lärm, Hundegebell | on |
| 3 | 0h 01m 37s | 46" | russ. + tatar. Heer, Fürst, Khan | an beiden Ufern bewegen sich russ. und tatarische Heer auf die Kamera zu, Fürst Khan, tatar. Reiter fällt ins Wasser | weit halbnah (F.+K.) Totale (t. Reiter) | Lärm, Stimmen, Pferdewiehern, Plätschern des Wassers | off/on | |
| 4 | 0h 02m 23s | 01" | Fürst, Tatar | Fürst wirft Tatarem Seil zu | nah | Lärm, Stimmen, Pferdewiehern, Plätschern des Wassers | on | |
| 5 | 0h 02m 24s | 19" | Fürst, Tatar | Tatar steigt ans Ufer und zu Fürst, Khan | halbnah (t. Reiter) Großaufnahme (t. Reiter) halbnah (K.) | Lärm, undeutliche Schreie, Pferdewiehern, Plätschern des Wassers | - | |
| 6 | 0h 02m 43s | 18" | russ. + tatar. Heer | Tropfen fallen ins Wasser, Beine der Pferde im Wasser, russ. und tatar. Heer auf Hügeln | halbnah Totale | Schreie, Pferdewiehern, Plätscherndes Wasser, Trommelgewirr | - | |
| 7 | 0h 03m 01s | 14" | Landschaft, Hügeln | Khan, Fürst | Reiter erscheinen auf Hügel, Khan und Fürst galoppieren | Totale | Schreie, Pfiffe, Pferdewiehern, Trommelgewirr | - |
| 8 | 0h 03m 15s | 10" | Khan, Fürst | Reiter im Galopp | Totale | Schreie, Pfiffe, Pferdewiehern, Trommelgewirr | - | |
| 9 | 0h 03m 25s | 10" | Khan, Fürst, Reiter | Reiter galoppieren vorbei, Khan und Fürst vorne | halbnah auf Totale | Trommelgewirr | - | |
| 10 | 0h 03m 35s | 08" | Khan, Fürst | Khan und Fürst im Galopp | Totale | Trommelgewirr | on | |
| 11 | 0h 03m 43s | 18" | Khan, Fürst | Khan auf Rappen und Fürst auf Schimmel im Galopp | halbnah, Zoom auf Großaufnahme (F.) | Ende des Trommel-gewirrs, Beginn der Musik mit Chorgesang | on | |
| 12 | 0h 04m 01s | 12" | nähe Dmitrij-Kloster | Fürst mit Gefolge | Fürst mit Gefolge auf verschneitem Weg Richtung Kathedrale | Schwenk: Totale zu halbnah zu Totale | Chorgesang | off (Fürst) |
| 13 | 0h 04m 13s | 42" | vor der Kathedrale | Fürst, Krieger | vor der Kathedrale, Fürst steigt vom Pferd, geöffnete Tür der Kathedrale aus der Lichtschein fällt, geht zu seinem Pferd zurück | Totale | Chorgesang und Glockengeläut | off (Fürst) |
| 14 | 0h 04m 55s | 04" | Fürst | Fürst groß | Großaufnahme (F.) | off (Fürst) | ||
| 15 | 0h 04m 59s | 15" | Fürst, Krieger, Großfürst | vor der Kathedrale, Pferde des Gefolges | nah (F.) Großaufnahme (F.) | neuerlicher Beginn des Chors | off (Fürst) | |
| 16 | 0h 05m 14s | 36" | Großfürst, sein Hauptmann und sein Gefolge, Metropolit, Fürst | hinter der Kathedrale erscheint Großfürst mit Gefolge, geöffnete Tür der Kathedrale, Metropolit, gehen in die Kathedrale | Totale halbnah nah (F.) halbnah (GF.) | Glockengeläut | off (Fürst) | |
| 17 | 0h 05m 50s | 29" | vor den Mauern von Vladimir | Fürst, Khan, Reiter | Fürst und Khan und ihre Krieger reiten, die Mauern von Vladimir erscheinen | halbnah (F.+K.) Totale | Ende des Chors, Glockengeläut, Beginn der Musik mit Trommelgewirr | on |
| 18 | 0h 06m 19s | 07" | Reiter | Reiter bewegen sich Richtung Stadt | halbnah Totale | Ende des Glocken, Musik | - | |
| 19 | 0h 06m 26s | 03" | Reiter | Reiter über einer Brücke | Totale | Musik | - | |
| 20 | 0h 06m 29s | 18" | Reiter | Reiter reiten entlang der Stadtmauer | Totale | Pfiffe Musik | - | |
| 21 | 0h 06m 47s | 23" | Reiter, Fürst, Khan | Tataren und Russen reiten zu den Toren der Stadt bis zum geschlossenen Tor | halbnah Totale | Schreie, tatar. Stimmen, Ende der Musik | on | |
| 22 | 0h 07m 10s | 19" | tatar. + russ. Fußvolk | tatar. und russ. Fußvolk versucht, die Tore der Stadt aufzubrechen | Totale halbnah Totale | Beginn der Musik, Lärm, Pferdewiehern | - | |
| 23 | 0h 07m 29s | 14" | Vladimir | Khan, tatar. + russ. Reiter | Khan und Tatar. und russ. Reiter stürmen durch das Tor der Festung, Reiter fällt vom weißen Pferd, Pferd bleibt stehen | Schwenk: Totale zu halbnah zu Totale | Schreie, Musik | - |
| 24 | 0h 07m 43s | 12" | Reiter, Krieger | enge Öffnung in Mauer, Reiter dringt ein, zwei kämpfende Krieger auf der Mauer | halbnah Totale | Lärm aus der Menge, Schreie, Trommelgewirr | - | |
| 25 | 0h 07m 55s | 07" | Pjotr, Fürst | Pjotr steht an Pfosten, Pfeil dringt in Pfosten ein, läuft weg, Fürst ihm nach | nah (P.) Totale | Trommelgewirr | on | |
| 26 | 0h 08m 02s | 06" | Fürst, Pjotr | Fürst im Galopp, schlägt mit Säbel nach Pjotr, der fällt zu Boden | halbnah Totale | Lärm aus der Menge, Schreie, Trommelgewirr | off | |
| 27 | 0h 08m 08s | 04" | Pjotr | Pjotr am Boden, Blut strömt aus seinem Hals | nah (P.) | Lärm aus der Menge | - | |
| 28 | 0h 08m 12s | 08" | Fürst, Tatar | Fürst galoppiert zu einem Tataren, er wischt Säbel ab | halbnah | Lärm aus der Menge, Schreie, Trommelgewirr | on | |
| 29 | 0h 08m 20s | 02" | Mann | Mann mit Speer in der Hand auf Dach einer Scheune, | halbtotal | Lärm aus der Menge Trommelgewirr | - | |
| 30 | 0h 08m 22s | 03" | Tatar, Fürst | Tatar schießt Pfeil ab, neben ihm der Fürst | halbnah | Lärm aus der Menge, Schreie, Trommelgewirr | - | |
| 31 | 0h 08m 25s | 04" | Tatar | Tatar galoppiert über Hof, wirft Fackel auf das Strohdach, Feuer flammt auf | Totale | Lärm aus der Menge, Schreie, Trommelgewirr | - | |
| 32 | 0h 08m 29s | 19" | verwundeter Mann | der verwundete Mann auf Dach kriecht herunter, Flammen | halbnah | Lärm aus der Menge, Schreie, Trommelgewirr | - | |
| 33 | 0h 08m 48s | 45" | Mann, Foma, Tatar, Krieger | Blick auf Schlägerei durch Scheunentor, ein Mann schleicht entlang der Scheune auf den Hof, wo er und Foma einen Tatren vom Pferd ziehen, ein Krieger erschlägt den Mann, Foma läuft über die Schwelle davon, springt hinaus auf Hof, steigt eine Treppe entpor, er wird dabei von Tatar an den Beinen gepackt, reißt sich aber los und klettert aufs Dach, Reiter kommen zur Kathedrale | Totale halbnah (Mann) Totale | Lärm aus der Menge, Schreie | on/off | |
| 34 | 0h 09m 33s | 34" | Foma, Khan, Fürst | Foma läuft über Weg und versteckt sich hinter einem Haus, Reiter auf der Straße, vorne der Khan, Köpfe der Pferde und Hunde | Totale halbnah (K.+Foma) Totale | Hundegebell, Pfiffe, Schreie, Trommelgewirr | on/off | |
| 35 | 0h 10m 07s | 03" | Reiter | Reiter galoppieren über Brücke | halbnah | Schreie, Pferdegetrappel, Trommelgewirr | - | |
| 36 | 0h 10m 10s | 03" | Frau | Flammen, im Hof wird eine Frau von einem Speer durchbohrt und fällt zu Boden | halbnah Totale | Lärm aus der Menge, Schreie, Trommelgewirr | - | |
| 37 | 0h 10m 13s | 11" | Menschen, Krieger, zwei Tataren, schwangere Frau | durch das brennende Tor rennen Leute, von Kriegern verfolgt, zwei Tataren schleifen schwangere Frau an den Händen einen Weg entlang, Reiter galoppieren vorbei | Totale | Schreie, Winseln, Weinen, Stöhnen, Trommelgewirr | - | |
| 38 | 0h 10m 24s | 30" | Reiter, Tataren, schwangere Frau | Reiter galoppieren durch die Straßen, Festungsmauer, ein Tatar zieht schwangere Frau an der Hand, ein anderer packt sie am Arm, sie fällt, er zieht sie am Zopf | Totale, von oben halbnah (Frau, Krieger) Totale | Lärm aus der Menge, Schreie, Trommelgewirr, Beginn des Chorgesangs | on | |
| 39 | 0h 10m 54s | 56" | vor der Uspenskij-Kathedrale | tatar. + russ. Krieger, Khan, Fürst | laufender Tatar, tatar. und russ. Krieger versuchen Tür der Kathedrale mit Rammbock aufzubrechen | halbnah Totale halbnah (F.+K.) Totale | dröhnende Schläge an der Kirchentür, Chorgesang | - |
| 40 | 0h 11m 50s | 38" | Khan, Krieger, Fürst | Khan steht vor der Tür der Kathedrale, Krieger beim Aufbrechen der Tür, Schwenk vom Khan zu Fürst und weiter zu einem Schimmel | halbnah (K.) nah (F.) | Dröhnen des Rammbocks, Chorgesang | off | |
| 41 | 0h 12m 28s | 13" | Fürst, Krieger, Bauer | Fürst mit Rücken zur Kamera, Krieger mit Rammbock, Bauer reitet vorbei und wird von Kriegern verfolgt | nah (F.) Totale | Chorgesang | on | |
| 42 | 0h 12m 41s | 11" | Reiter, Krieger | ein blutiges Pferd stürzt von Festungsmauer, Reiter klammert sich an das Geländer, Tataren stürzen sich auf ihn, Schlägerei | Totale halbnah | Chorgesang | on | |
| 43 | 0h 12m 52s | 11" | Uspenskij-Kathedrale | alte Frau, Einwohner von Vladimir | in der Kathedrale, erschrockener Blick einer alten Frau, Gesichter der Einwohner (Schwenk) | Großaufnahme (alte Frau) nah (Einwohner) | Chorgesang | - |
| 44 | 0h 13m 03s | 03" | Närrin, kniendes Volk | Mädchen steht an einer Säule, Leute liegen auf den Knien und beten | halbnah | Rammbock Chorgesang | - | |
| 45 | 0h 13m 06s | 23" | Andrej, Närrin, kniendes Volk, Reiter | Leute liegen auf den Knien, Andrej geht vorbei und nimmt die Närrin mit und knien sich nieder, die Krieger brechen das Tor auf und kommen auf Pferden in die Kathedrale | nah (A.) halbnah (A.+N.) Totale | Ende des Chorgesang | - | |
| 46 | 0h 13m 29s | 10" | tatar. Reiter, Fußsoldaten, Krieger | tatar. Reiter stürmen die Kathedrale, begleitet von Kriegern mit Fackeln in den Händen | Totale halbnah | Klagen, Schreie | - | |
| 47 | 0h 13m 39s | 13" | Tataren, Einwohner von Vladimir, Närrin, Andrej | Tataren mißhandeln die Einwohner, ein Krieger trägt die Närrin fort, Andrej folgt ihnen | Totale halbnah | Klagen, Stöhnen, Schreie | on/off | |
| 48 | 0h 13m 52s | 08" | Fürst, Menschen | Fürst geht vorbei, Handgemenge im Hintergrund | halbnah | Klagen, Schreie | - | |
| 49 | 0h 14m 00s | 16" | Krieger, Närrin, Andrej | Krieger steigt mit Mädchen die Holztreppe hoch, Andrej folgt ihnen mit Axt, der Krieger fällt mit zerschlagenem Schädel die Treppen herunter | halbnah | Klagen, Schreien | on | |
| 50 | 0h 14m 16s | 09" | tatar. + russ. Krieger, Bewohner von Vladimir | tatar. und russ. Krieger auf Pferden treiben die Bewohne zusammen | Totale | Klagen, Schreien, Musik | - | |
| 51 | 0h 14m 25s | 26" | Vladimir | Mann, Einwohner, Krieger | Schwenk über das brennende Vladimir, Mann läuft vorbei | Totale weit | Glockengeläut | - |
| 52 | 0h 14m 51s | 43" | Uspenskij-Kathedrale | Khan, Fürst | in der Kathedrale, Schwenk über die Fresken, Khan auf dem Pferd, Fürst nähert sich, schaukelnde Kandelaber, | halbtotal (K.+F.) nah (F.) | Stimmen | on |
| 53 | 0h 15m 34s | 1' 01" | Sakristan, Henker, Krieger | offenes Feuer, ein Metallkreuz im Feuer, Sakristan liegt auf einer Holzbank, daneben Henker mit brennender Fackel in der Hand, Henker, ein Tatar und ein Krieger heben Bank mit dem Sakristan auf und stellen sie zur Wand, Fürst nähert sich | Großaufnahme (Feuer+Kr.) halbnah (S.) | Stimmen | off/on | |
| 54 | 0h 16m 35s | 18" | Fürst | Fürst | nah | off | ||
| 55 | 0h 16m 53s | 28" | Dmitrij-Kathedrale | Fürst, Großfürst, Hauptmann | Gesichter der Geistlichen in der Kathedrale, Fürst geht vorbei und küßt Großfürst, Hauptmann, Füße der beiden Fürsten | Großaufnahme | Chorgesang und Musik | - |
| 56 | 0h 17m 21s | 32" | Gefolgschaft des Großfürsten, des Fürsten und der Geistlichkeit, Metropolit | Gefolgschaft des Großfürsten, des Fürsten und die Geistlichkeit in der Kathedrale, Metropolit, Fürst küßt dessen Kreuz | nah/halbnah | Chorgesang und Musik | - | |
| 57 | 0h 17m 53s | 06" | Großfürst, Hauptmann | Großfürst und Hauptmann blicken sich an | Großaufnahme | Chorgesang und Musik | - | |
| 58 | 0h 17m 59s | 05" | Fürst | Fürst geht durch Kathedrale | halbnah | Chorgesang und Musik | - | |
| 59 | 0h 18m 04s | 12" | Großfürst | Kerzen brennen, Großfürst erscheint und verschwindet in Dunkelheit | Großaufnahme | Ende des Chorgesangs und der Musik | off | |
| 60 | 0h 18m 16s | 24" | Uspenskij-Kathedrale | Henker, Sakristan, zwei russ. Krieger, Tataren | Henker wickelt dem Sakristan Binde ums Gesicht, zwei russ. Krieger helfen ihm, Gruppe von Tataren in der Tür der Kathedrale | halbnah | Stimmen | on |
| 61 | 0h 18m 40s | 21" | Khan | Ikonen, Khan auf dem Pferd, brennende Ikonenwand | halbnah (Ikone) halbnah halbtotal | Stimmen | off | |
| 62 | 0h 19m 01s | 08" | Henker, zwei Krieger, Sakristan | Henker und zwei Krieger, sie nehmen Bank mit dem Sakristan und tragen sie fort | nah | Stimmen | - | |
| 63 | 0h 19m 09s | 22" | Fürst, Tataren, russ. Krieger, Tote, Sakristan, Henker | Fürst blickt nach unten, dort brennt die Ikonenwand, Erschlagene liegen herum, Tataren und russ. Krieger, gefolterter Sakristan | von oben: nah Totale | Stimmen | off/on | |
| 64 | 0h 19m 31s | 20" | Sakristan, Henker, Krieger | Kübel mit Pech, Sakristan auf der Bank, der Henker neben ihm, sie gießen ihm kochendes Pech in den Mund, legen ihn auf Boden, Sakristan ist an Pferdeschwanz angebunden, Pferd springt aus der Kathedrale | Großaufnahme (Pech) halbnah Totale | Pfiffe, Pferdewiehern | on | |
| 65 | 0h 19m 51s | 19" | Fürst | Fürst steigt Treppen hinauf, bleibt stehen und blickt nach unten | nah | Beginn der Musik, Schreie, Stöhnen, Jammern | - | |
| 66 | 0h 20m 10s | 16" | Platz in Vladimir | Bewohner von Vladimir, Tataren | Tataren jagen die Bewohner zusammen | von oben: weit | Schreien, Stöhnen, Weinen Musik | - |
| 67 | 0h 20m 26s | 19" | Kuppeln der Uspenskij-Kathedrale | Tataren, Fürst | Kuppeln der Kathedrale, Tataren reißen Gold von den Kuppeln, der Fürst ist unter ihnen | weit | Stimmen Musik | - |
| 68 | 0h 20m 45s | 18" | Fürst, Tataren | der Fürst, dahinter plündernde Tataren, sie tragen Goldblätter von den Kuppeln vorbei | nah (F.) (Zeitlupe) | Musik | - | |
| 69 | 0h 21m 03s | 16" | Platz in Vladimir | Bewohner von Vladimir | zwei weiße Gänse fliegen über die Köpfe der Einwohner, die in einer Schlucht zusammengetrieben worden sind | von oben: weit (Zeitlupe) | Schreien, Stöhnen, Klagen, Musik | - |
| 70 | 0h 21m 19s | 08" | Bach | Foma | Foma läuft durch einen Bach, bleibt an einem Baum stehen, geht an einer Scheune entlang | halbnah nah | Ende der Musik | - |
| 71 | 0h 21m 27s | 04" | Tatar | Tatar schießt Pfeil auf Foma | nah | Schrei, Pfeil zischt | off | |
| 72 | 0h 21m 31s | 38" | Foma | Foma geht langsam auf Kamera zu, ein Pfeil in seinem Rücken, er fällt mit dem Gesicht nach unten in den Bach, etwas Weißes schwimmt vorüber | halbtotal halbnah (Zeitlupe) | Stöhnen, plätscherndes Wasser | - | |
| 73 | 0h 22m 09s | 24" | Uspenskij-Kathedrale | Andrej, Erschlagene | verbrannte Ikonenwand, Andrej auf den Knien, Erschlagene liegen herum, schwarze Katze läuft vorbei | Totale | Glocken, miauende Katze | - |
| 74 | 0h 22m 33s | 23" | Närrin | die Närrin sitzt mitten unter den Erschlagenen und flicht einer Toten den Zopf | halbtotal | Glocken | - | |
| 75 | 0h 22m 56s | 15" | Andrej | Andrej sitzt | nah | Glocken | on | |
| 76 | 0h 23m 11s | 28" | Theophanes | eine Hand blättert in einem verbrannten Evangelium, Theophanes, Schwenk auf Theophanes´ Gesicht | Großaufnahme | Ende der Glocken | off | |
| 77 | 0h 23m 39s | 1' 47" | Andrej, Theophanes | Andrej tritt an Theophanes heran und sie reden miteinander | halbnah (A.) nah (A.+T.) halbnah (T.+A.) nah (A.) Großaufnahme (A.) | Glockenschläge | on | |
| 78 | 0h 25m 26s | 1' 03" | Theophanes, Andrej | Theophanes, Andrej tritt zu ihm | nah (T.+A.) | Glockenschläge | on | |
| 79 | 0h 26m 29s | 12" | Närrin | die Närrin sitzt mitten unter den Erschlagenen und flicht einem toten Mädchen einen Zopf | nah | Glockenschläge | off | |
| 80 | 0h 26m 41s | 1' 21" | Theophanes, Andrej | Theophanes, Andrej tritt zu ihm | nah (T.+A.) halbnah (T.+A.) | Glockenschläge | on/off | |
| 81 | 0h 28m 02s | 2' 16" | Theophanes, Andrej | Theophanes, Andrej geht vorbei, es beginnt zu schneien | nah | Glockenschläge | on | |
| 82 | 0h 30m 18s | 08" | Närrin | die Närrin liegt am Boden, es schneit | nah | Glockenschläge | off | |
| 83 | 0h 30m 26s | 28" | Andrej | Andrej steht in der Kirche, ein Pferd kommt herein | Totale nah | Glockenschläge | - | |
| 84 | 0h 30m 54s | 18" | Närrin | die Närrin schläft, es zuckt beim Wiehern des Pferdes | Großaufnahme Abblende | Pferdewiehern | - | |
| 85 | 0h 31m 12s | 05" | Titel: Das Schweigen 1412 | Aufblende Abblende | - | |||
| 86 | 0h 31m 17 | 32" | Hof des Andronnikow-Kloster | Närrin | Kuppeln der Kirche des Klosters, Schwenk über den Hof, die Närrin geht mit einem Bund Wacholder und stopft ihn in ein Faß und steckt etwas in den Mund | Aufblende Totale halbnah | Glocken | - |
| 87 | 0h 31m 49s | 06" | Andrej | Andrej geht über den Hof des Klosters, er bleibt stehen und beobachtet sie | halbtotal nah | Glocken | - | |
| 88 | 0h 31m 55s | 19" | Närrin | die Närrin geht zu einem Hund, bückt sich nieder und geht zum Holzstoß und riecht daran | halbnah Totale nah | Glocken | - | |
| 89 | 0h 32m 14s | 04" | Andrej | blickt zur Närrin | nah | Glocken | ||
| 90 | 0h 32m 18s | 09" | Närrin | die Närrin weint | Großaufnahme | Glocken | ||
| 91 | 0h 32m 27s | 13" | Galerie des Andronnikow-Kloster | Andrej, Ministrant, zwei blinde Bettler, Zwerg, Mönch, Aleksej, Kirill, Methodij | eine Galerie im Kloster, Andrej, Ministrant tritt mit einem Korb Äpfel ein, zwei blinde Bettler, Zwerg, Mönch und Aleksej sind da, Kirill und Methodij kommen herein | nah | on/off | |
| 92 | 0h 32m 40s | 53" | Andrej, Ministrant, zwei blinde Bettler, Zwerg, Mönch, Aleksej, Kirill, Methodij | Mönche sitzen beisammen | nah/halbnah | on/off | ||
| 93 | 0h 33m 33s | 36" | Andrej | Andrej geht auf Galerie Richtung Kamera, er nimmt sich einen Apfel und dreht sich wieder um und geht | Totale | Lachen, Krähen krähen | off | |
| 94 | 0h 34m 09s | 07" | Kirill | Kirill sitzt | Großaufnahme | Krähen krähen | on | |
| 95 | 0h 34m 16s | 42" | Aleksej, Kirill | Andrej steht an der Wand, er geht, tritt dann zu Kirill, Kirill geht zu Wand und dreht sich um, ein Schatten wird an die Wand geworfen | halbnah (Al.) Großaufnahme halbnah (K.) | Krähen krähen, Schreie, Lachen, Pfiffe | on/off | |
| 96 | 0h 34m 58s | 04" | ein Sonnenstrahl fällt durch ein Loch des Fensterladens | halbnah | Schreien, Lachen, Pfiffe | off | ||
| 97 | 0h 35m 02s | 25" | Hof des Andronnikow-Kloster | reitende Tataren, Andrej | Hof des Klosters, Tataren auf Pferden kommen herein, bleiben am Brunnen stehen und sitzen ab, Andrej geht vorbei | Totale/weit halbnah (A.) | Schreie, Lachen, Pfiffe | - |
| 98 | 0h 35m 27s | 18" | Andrej, Närrin | Andrej tritt an ein Feuer, die Närrin sitzt auf einem Sägebock und ißt, daneben Hunde, Andrej arbeitet, | Totale | Schreie, Lachen, Pfiffe, Hundegebell | - | |
| 99 | 0h 35m 45s | 14" | Närrin | die Närrin ißt einen Apfel | halbnah | Schreie, Lachen, Hundegebell | - | |
| 100 | 0h 35m 59s | 25" | Andrej | offenes Feuer, eine Zange ergreift einen Stein, Andrej schleppt den Stein zu den Fässern | halbnah/nah Totale | Schreien, Sprechen, Lachen, Hundegebell | - | |
| 101 | 0h 36m 24s | 07" | Tataren | der Tatarenälteste füttert Hunde | halbnah | Schreien, Sprechen, Lachen, Hundegebell | - | |
| 102 | 0h 36m 31s | 21" | Närrin | die Närrin geht vorsichtig einige Schritte | halbnah/nah | Schreie, Lachen, Hundegebell | - | |
| 103 | 0h 36m 52s | 06" | Tataren | der älteste Tatar wirft den Hunden Fleisch zu, raufende Hunde | halbnah | Schreie, Lachen, Hundegebell | - | |
| 104 | 0h 36m 58s | 13" | die Hunde stürzen sich auf das Fleisch und beißen sich | halbtotal | Schreie, Lachen, Hundegebell | - | ||
| 105 | 0h 37m 11s | 06" | die Hunde raufen | halbnah | Schreie, Lachen, Hundegebell | - | ||
| 106 | 0h 37m 17s | 20" | Tatren, Närrin | die Tataren entfernen sich, die Närrin erscheint, sieht sich um und will ein Stück Pferdefleisch holen | halbnah | Schreien, Sprechen, Lachen, Hundegebell | - | |
| 107 | 0h 37m 37s | 18" | Tatren, Närrin | Tataren auf ihren Pferden, ein Tatar nimmt die Närrin bei der Hand und zieht es mit und wirft ihr ein Stück Fleisch zu | Totale | Schreien, Sprechen, Lachen, Hundegebell | on | |
| 108 | 0h 37m 55s | 56" | Gang im Andronnikow-Kloster | Vorsteher, Kirill, Zwerg | auf der Galerie geht der Vorsteher, Kirill kriecht auf der Erde, Kirill geht hinter dem Vorsteher nach, Kirill bleibt stehen, ein Zwerg läuft hinter dem Vorsteher nach | halbtotal halbnah nah halbnah | on/off | |
| 109 | 0h 38m 51s | 08" | Hof des Andronnikow-Kloster | Andrej | Andrej geht über den Hof | halbtotal | Gelächter, Pferdewiehern | - |
| 110 | 0h 38m 59s | 15" | Tatar, tatarische Reiter | ein junger Tatar auf einem Pferd, dahinter weitere Tataren auf Pferden | halbnah | Stimmen, Gelächter | ||
| 111 | 0h 39m 14s | 57" | Närrin, Tatar | die Närrin steht neben dem jungen Tatar, sie blickt auf seinen Panzer und ißt Fleisch, dann führt sie das Pferd am Zügel zur Kirchentreppe, sie erblickt in der Rüstung ihr Spiegelbild | halbnah (N.) nah | Stimmen, Gelächter, Pferdewiehern | off | |
| 112 | 0h 40m 11s | 12" | Tatar, Närrin | der junge Tatar schaut die Närrin (steht mit dem Rücken zur Kamera) an | nah halbnah | Stimmen, Gelächter | - | |
| 113 | 0h 40m 23s | 05" | Närrin | die Närrin blickt zum Tataren | halbnah | Stimmen, Gelächter | off | |
| 114 | 0h 40m 28s | 1' 17" | Andrej, Tataren, Närrin | Andrej geht an den Tataren vorbei und bleibt stehen, der junge Tatar steigt vom Pferd, tritt zur Närrin. Andrej nimmt die Närrin an der Hand und will sie wegziehen, die Närrin reißt sich los und geht zum Tataren, der Tatar setzt ihr einen Helm auf, geht zum Pferd, nimmt ein Stück Brokat und legt es ihr um, die Närrin läuft schreiend und tanzend im Hof herum, Andrej versucht sie zu fangen, die Närrin läuft ihm davon | halbnah (A.) Totale halbtotal (N.+T.) Totale halbtotal Halbnah (T.) | Gelächter, Stimmen | on | |
| 115 | 0h 41m 45s | 53" | Andrej, Närrin, Tataren | Andrej zieht die Närrin an der Hand, die Närrin spuckt ihm ins Gesicht , der junge Tatar hebt die Närrin zu sich in den Sattel und reitet davon, ein kleines Mädchen läuft über den Hof | Totale (A.+N.) halbnah (A.+N.) Totale | Gelächter, Stimmen, Geschrei | on | |
| 116 | 0h 42m 38s | 08" | Tataren | die Tataren reiten über den Hof durch das Tor des Klosters hinaus | Totale | Schreie, Pfiffe | - | |
| 117 | 0h 42m 46s | 07" | Andrej, Mönch | Andrej steht, ein Mönch geht vorbei | nah (A.) | - | ||
| 118 | 0h 42m 53s | 1' 22" | Kirill, Mönche, Andrej | Kirill geht zu Andrej, Andrej blickt ihn an und geht zum Feuer, er nimmt mit der Zange einen Stein und trägt ihn an Kirill vorbei | nah (K.) halbnah (K.) halbnah (K.+A.) halbtotal (K.+A.) halbnah (A.) | Krähen krähen Glocken | on | |
| 119 | 0h 44m 15s | 03" | Andrej | der gespaltene Stein fällt beim Faß in den Schnee, Andrej kommt heran | Großaufnahme Abblende | Glocke, Zischen | - | |
| 120 | 0h 44m 18s | 05" | Titel: Die Glocke 1923 | Aufblende Abblende | 1 Glockenschlag | - | ||
| 121 | 0h 44m 23s | 05" | vor einer Hütte | Boriska | Boriska sitzt an einer Hauswand gelehnt | Aufblende Großaufnahme | Krähen krähen, Tröpfeln von Wasser | - |
| 122 | 0h 44m 28s | 16" | durch den weißen Schnee schlängeln sich dunkle Bächlein von Schmutz | Großaufnahme | Krähen krähen, Tröpfeln von Wasser, Gackern von Hühnern | off | ||
| 123 | 0h 44m 44s | 43" | Boriska | Boriska sitzt bei seiner Hütte, Krieger auf Pferden erscheinen und reiten zu Boriska, Boriska im Bild, davor der Schwanz des Pferdes, ein Huhn sitzt im Fenster, Boriska steht dann auf und geht weg, dahinter reiten die Krieger fort | halbnah | Gackern von Hühnern, Krähen krähen | on/off | |
| 124 | 0h 45m 27s | 14" | Krieger | ein Krieger fällt vom Pferd auf einen Reisighaufen, das Pferd geht im Vordergrund, der Krieger steht wieder auf | halbtotal | Vogelgezwitscher | on/off | |
| 125 | 0h 45m 41s | 51" | Boriska, Krieger | Boriska sitzt am Weg, die Krieger reiten vorbei, Boriska steht auf und bleibt stehen | halbnah (B.) nah (B.) | Krähen krähen, ein Bach plätschert | on/off | |
| 126 | 0h 46m 32s | 12" | Krieger | die Krieger drehen sich zu Boriska um | halbnah | Krähen krähen, ein Bach plätschert | on | |
| 127 | 0h 46m 44s | 29" | Boriska, Krieger | Boriska steht am Weg, er läuft, fällt hin und läuft zum ersten Krieger weiter, er setzt sich zu einem anderen Krieger hinten aufs Pferd | Totale (B.) halbnah (B.+Kr.) Totale | Krähen krähen, ein Bach plätschert | off/on | |
| 128 | 0h 47m 13s | 26" | Flußufer | Boriska, Andrejka, Gießer | Flußufer, Boriska, Andrejka und eine Gruppe von Gießern gehen den steilen Hang hinauf, der weiße Kreml in der Ferne | Totale halbnah (B.+A.+G.) Totale (Kreml) | Glocken, Hähne krähen | on/off |
| 129 | 0h 47m 39s | 24" | Hügel | Boriska, Pjotr, Meister, Andrejka | Boriska und Pjotr stehen auf einem Hügel, hinter dem Hügel erscheine die Meister, Boriska schlägt einen Pfahl in die Erde | Totale halbtotal | Glocken, Hähne krähen | on/off |
| 130 | 0h 48m 03s | 42" | Meister, Pjotr, Boriska, Stepan | die Meister stehen schweigend da, ein alter Meister im Vordergrund, Boriska erscheint, der alte Meister geht, Stepan hinter ihm nach | halbnah (P.) halbtotal Totale | Glocken, Hähne krähen | off/on | |
| 131 | 0h 48m 45s | 43" | Erdarbeiter, Boriska | Erdarbeiter graben eine Grube, Boriska wirft den Spaten hin und zieht eine Wurzel heraus, Boriska erhebt sich und blickt auf den Baum hinauf | halbnah (B.) Totale (B.) | Glocken, Hähne krähen, Vogelgezwitscher | - | |
| 132 | 0h 49m 28s | 22" | Boriska, Erdarbeiter | Boriska in der Grube, grabende Erdarbeiter, Vogel fliegt vorbei | von oben: halbnah Totale | Glocke, Vogelgezwitscher | - | |
| 133 | 0h 49m 50s | 49" | Gießer, Boriska, Andrejka (im Hintergrund ein Wagen mit Mann) | die Gießer stehen an einem lehmigen Abhang, Boriska springt herunter und nimmt den Lehm in die Hand, befühlt ihn und wirft ihn weg, er geht zu Andrejka, dann laufen Boriska und Andrejka davon in eine Schlucht, im Hintergrund ein Pferdewagen | halbtotal halbnah (B.) Totale (B.+A.) weit | Vogelgezwitscher | off/on | |
| 134 | 0h 50m 39s | 1' 04" | Boriska, Stepan, Andrejka | Boriska und Stepan gehen über ein Feld, sie bleiben stehen, Andrejka im Hintergrund, Boriska geht, Stepan ihm nach, wirft einen Lehmklumpen weg und geht, Boriska und Andrejka gehen in andere Richtung, dabei stolpert Boriska | halbnah (B.) Totale (B.+S.) halbnah (B.+S.) Totale weit | Vogelgezwitscher | on/off | |
| 135 | 0h 51m 43s | 38" | Flußufer | Boriska (Andrej im Hintergrund auf Pferde-wagen) | Regen, Boriska geht mit einem Spaten am steilen Flußufer entlang, er schüttelt den Fuß, wobei der Schuhlappen abfällt, Boriska springt hinterher, im Hintergrund Andrej auf einem Pferdewagen | Totale halbnah Totale | Regen | - |
| 136 | 0h 52m 21s | 34" | Boriska | Boriska rollt und rutscht den lehmigen, steilen Hang hinunter, klammert sich an einen Busch, er legt sich auf die Erde und krallt die Finger in den Lehm | Totale halbtotal | Regen | on | |
| 137 | 0h 52m 55s | 29" | Andrej | Regen, Andrej sitzt auf einem Wagen, der mit Körben voll Kohl beladen ist, er bringt das Pferd zum Stehen und geht zum Pferd | halbnah weit | Regen | off/on | |
| 138 | 0h 53m 24s | 1' 35" | Glockengrube | Gießer, Andrejka, Boriska, Stepan, Küster, Andrej | Glockengrube, Gießer bearbeiten die Glockenform, im Vordergrund Andrejka, Boriska läuft vorbei, Stepan kommt in die Grube, Boriska erscheint oben und der Küster hält ihn an, Boriska geht zwischen den Arbeitern hindurch, Andrej kommt ihm entgegen, Boriska geht in die Grube zu Stepan | halbnah (B.+A.) Totale (B.) halbtotal halbnah halbtotal Totale nah halbnah | Lärm der Arbeiter | on/off |
| 139 | 0h 54m 59s | 1' 43" | Andrej, alter Meister, Stepan, Andrejka, Handwerker, Boriska, Krieger | Andrej am Rand der Grube, in der Grube sind der alte Meister, Stepan und Andrejka und die anderen Handwerker, ein Krieger führt Andrejka fort, Boriska groß im Bild | Totale (A.) halbnah (B.+Arbeiter) nah (B.) halbnah (B.+Andrejka) nah (B.) | Stimmen der Arbeiter, Schreien und Weinen Andrejkas | off/on | |
| 140 | 0h 56m 42s | 10" | Rand der Glockengrube | Andrej | Andrej steht oben am Grubenrand | halbnah | Schreien und Weinen Andrejkas | off |
| 141 | 0h 56m 52s | 19" | Boriska | Boriska liegt auf einem Strohlager und schließt die Augen | nah | Lärm der Menge, Weinen Andrejkas | on | |
| 142 | 0h 57m 11s | 23" | Glockengrube | Andrej | Glockengrube, Andrej wendet sich ab und geht | Großaufnahme | Beginn der Singstimme, Stimmen, Hämmern der Arbeiter | - |
| 143 | 0h 57m 34s | 18" | Weg | drei Männer | Regen, drei Gestalten laufen über einen aufgeweichten Weg, eine Eiche kommt ins Bild | weit | Singstimme und Musik, Hämmern | - |
| 144 | 0h 57m 52s | 08" | unter einer Eiche | drei Männer | drei Gestalten stehen am Wegrand unter der Eiche | weit | Singstimme und Musik, Hämmern | - |
| 145 | 0h 58m 00s | 07" | Kirill | Kirill steht unter der Eiche, mit einer Krähe in der Hand | Großaufnahme | Singstimme und Musik, Hämmern | - | |
| 146 | 0h 58m 07s | 16" | Andrej | Andrej steht unter der Eiche, Schwenk auf einen Zweig, der Wind schüttelt die Blätter, Regen | Großaufnahme | Singstimme und Musik | - | |
| 147 | 0h 58m 23s | 23" | bei der Glockengrube | Andrej, zwei Handwerker, Boriska | Andrej unter einem Baum, zwei Handwerker tragen den schlafenden Boriska vorbei | Großaufnahme Abblende | Ende der Musik | - |
| 148 | 0h 58m 46s | 36" | Boriska, alter Meister | Boriska schläft auf Strohlager, der alte Meister weckt ihn, Boriska erhebt sich und sie gehen zum Brennofen, Boriska groß, dahinter Flammen | Aufblende nah halbnah (B.+P.) Totale (B.) halbnah (B.) | Stimmen und Geräusche aus der Menge, Geräusch des Feuers | on | |
| 149 | 0h 59m 22s | 15" | Boriska | Flammen, Boriska kommt ins Bild (mit dem Rücken zur Kamera) | Großaufnahme | Stimmen, Geräusch des Feuers | off | |
| 150 | 0h 59m 37s | 46" | Stepan, Hauptmann, Boriska, alter Meister | eine mit Silber gefüllte Waagschale, ein Fuß tritt auf die Schale, an der Waage stehen Stepan, der Hauptmann und Boriska, Boriska geht am alten Meister vorbei | Großaufnahme (Silber) halbnah (M.+B.) nah (HM.+B.) nah (B.) | Stimmen | on/off | |
| 151 | 1h 00m 23s | 38" | Handwerker, Gaukler, Andrej, Kirill | der Gaukler schlägt in der Menge der Handwerker auf Andrej ein, Kirill läuft herbei und stößt ihn weg, der Gaukler wird von den Männern festgehalten und versucht sich loszureißen, Andrej geht im Vordergrund vorbei | halbnah (G.+K.+A.) halbnah (G.+HW.) nah (A.) | Schreie und Lärm von der Menge | on | |
| 152 | 1h 01m 01s | 11" | Gaukler, Männer, Andrej | der Gaukler reißt sich los, geht mit Beil in der Hand auf Andrej los | halbnah | Schreie und Lärm von der Menge, Brennen des Feuers | on | |
| 153 | 1h 01m 12s | 05" | Andrej, Kirill | Andrej steht mit gesenktem Kopf da, hinter ihm läuft Kirill vorbei | Großaufnahme | off | ||
| 154 | 1h 01m 17s | 1' 22" | Kirill, Gaukler, Andrej, Männer | Kirill weicht vor dem Gaukler zurück und deckt Andrej mit seinem Körper, Kirill fällt auf die Knie und der Gaukler hebt ihn auf, beide gehen auf die Kamera zu, der Gaukler geht dann zum Wagen, man reicht ihm einen Krug Dünnnbier, er trinkt, der Gaukler zieht seine hinuntergerutschten Hosen hoch und geht auf die Kamera zu und dreht sich um | halbnah (K.+G.) halbtotal (G.) halbnah (G.) | Schreie und Lärm von der Menge, Brennen des Feuers | on | |
| 155 | 1h 02m 39s | 07" | durch die Flammen sieht man die Mauern der Kathedrale | halbnah | Gelächter | off | ||
| 156 | 1h 02m 46s | 12" | Boriska, alter Meister | Boriska und der alte Meister arbeiten am Schmelzofen, unten an den Öfen arbeiten die Gießer | halbnah | off/on | ||
| 157 | 1h 02m 58s | 1' 06" | Boriska, Andrejka, Pjotr | Boriska kommandiert, er springt hinunter in die Grube, Andrejka läuft ins Bild, Schwenk über den Ofen zu Boriska, Andrejka kommt hergelaufen, Boriska tritt zu Pjotr, er betrachtet die Metallprobe und wendet sich ab, Schwenk auf die Menge an der Grube | Totale nah (B.) Totale halbnah (A.+B.) halbtotal nah (B.) | Lärm der Arbeiten, Brennen des Feuers | on/off | |
| 158 | 1h 04m 04s | 06" | Menschen | Schwenk über die Menschen an der Grube | Totale | Brennen des Feuers | - | |
| 159 | 1h 04m 10s | 45" | Gießer, Boriska, Andrejka, Stepan | aus den Rohren der Öfen kommen Rauch und Funken, die Gießer arbeiten an den Öfen, im Vordergrund Boriska, Andrejka und Stepan, das Kupfer fließt durch die Rinne | Totale halbtotal (B.) halbnah (B.) nah | Lärm von den Öfen, Schreie, Geräusch des fließenden Metalls | on | |
| 160 | 1h 04m 55s | 10" | Gießer, Andrej | Gießer arbeiten auf einem Gerüst bei den Öfen, im Vordergrund steht Andrej | nah (A.) halbnah | Lärm von den Öfen | - | |
| 161 | 1h 05m 05s | 42" | Boriska, Gießer | Boriska hört auf das Geräusch der Legierung und beugt sich zur Grube hinunter, dann geht er um die Grube herum und setzt sich und lauscht | halbtotal halbnah Großaufnahme | Lärm von den Öfen, Geräusch des fließenden Metalls | - | |
| 162 | 1h 05m 47s | 1' 06" | Glockengrube | Pjotr, Gießer, Boriska | die Glockenform in der Grube, Pjotr und die Gießer sind bei der Arbeit, Boriska steigt hinunter, er nimmt ein Brecheisen und beginnt mit dem Aufbrechen der Form, auch die anderen Gießer machen sich an das Aufbrechen | Totale halbnah (P.+B.) nah (B.) | Stimmen, Klopfen der Hämmer | off |
| 163 | 1h 06m 53s | 05" | Rand der Glockengrube | Andrej | Andrej steht am Rand der Grube und blickt hinunter, Handwerker gehen vorbei | Totale (A.) | Klopfen der Hämmer | - |
| 164 | 1h 06m 58s | 36" | Glockengrube | Boriska | Boriska schlägt mit einem Meißel die Form ab | nah | Klopfen der Hämmer | - |
| 165 | 1h 07m 34s | 12" | Schmelzofen | Andrejka | am verlöschten Ofen steht Andrejka, er geht auf die Kamera zu und schaut nach unten | halbnah nah | Klopfen der Hämmer | off |
| 166 | 1h 07m 46s | 40" | Glockengrube | alter Meister, Stepan, Boriska | auf dem Boden der Grube steht eine riesige Glocke, um sie herum der alte Meister, Stepan und Boriska, Boriska setzt sich, an der Glocke gelehnt schließt er die Augen | von oben: Totale halbnah (B.) nah | on/off | |
| 167 | 1h 08m 26s | 50" | Hof des Andronnikow-Kloster | Andrej, Kirill | Hof des Klosters, Andrej tritt ans Feuer, Schwenk auf Kirill, Andrej geht an Kirill vorbei | halbnah (A.) nah (K.) Totale (A.) | Vogelgezwitscher | off/on |
| 168 | 1h 09m 16s | 41" | Kirill, Andrej | Kirill groß, Andrej geht vorbei | Großaufnahme (K.) nah (A.) | Vogelgezwitscher | on/off | |
| 169 | 1h 09m 57s | 1' 01" | Andrej, Kirill | Andrej im schnellen Gang, er bleibt am Feuer stehen, Kirill kommt heran | nah (A.) halbnah (A.) halbnah (A.+K.) nah (K.) | Vogelgezwitscher | off/on | |
| 170 | 1h 10m 58s | 16" | Andrej | Andrej, die Kamera schwenkt auf das Feuer | Großaufnahme | 6 Glockenschläge | - | |
| 171 | 1h 11m 14s | 29" | Kirill | Kirill, er geht nach hinten in den Hof, dreht sich einmal um und geht dann weiter | nah (K.) halbnah (K.) | Glockenschläge Lärm der Menge, Schreie | off | |
| 172 | 1h 11m 43s | 1' 02" | bei der Glocken-grube, Fluß | Volk, Boriska | das Volk strömt über den Fluß und steigt den Hang hinauf zur Glockengrube, die Leute gehen an den Öfen vorbei, Boriska geht zum Glockengerüst, in der Grube: die Glocke | von oben: Totale/weit Totale | Lärm, Gelächter, Stimmen der Arbeiter, Pfiffe | on |
| 173 | 1h 12m 45s | 1' 37" | Glockengrube | Boriska, Pjotr, Arbeiter | Boriska geht um die Glocke herum, der alte Meister tritt zu ihm, Boriska steigt aus der Grube, Schwenk über die Glocke, durch das Gerüst hindurch, um die Grube stehen Arbeiter, Boriska geht auf die Kamera zu und bleibt stehen, der alte Meister tritt zu ihm | halbnah (B.) nah halbnah (B.+P.) Totale halbnah (B.+P.) | Lärm, Stimmen | off/on |
| 174 | 1h 14m 22s | 32" | Arbeiter, Boriska, Arbeiter | die Arbeiter drehen die Winde, Schwenk über die Leute, die an den Stricken ziehen, dann zum Gerüst, an dem die Glocke emporschwebt, Boriska geht auf die Kamera zu | Totale halbnah (B.) | Lärm aus der Menge. Knarren der Seile und des Holzes | - | |
| 175 | 1h 14m 54s | 16" | Langsam schwebt die Glocke empor | Großaufnahme | Lärm aus der Menge, Knarren des Gerüsts und der Stricke | - | ||
| 176 | 1h 15m 10s | 55" | Kremlmauer | Großfürst, Gefolge, ausländische Gäste, Volk | aus dem Tor der Kremlmauer kommt der Großfürst geritten, hinter ihm das Gefolge und die ausländischen Gäste, im Vordergrund geht ein Pferd vorbei, das Volk tritt beiseite und verneigt sich, im Vordergrund ziehen die Männer an Stricken, die Kamera schwenkt zu den Öfen | weit Totale | Lärm aus der Menge, Knarren des Gerüsts und der Stricke | on |
| 177 | 1h 16m 05s | 11" | bei der Glockengrube | Hauptmann, alter Meister | vor dem Hauptmann, der auf einem Pferd sitzt, steht der alte Meister, dann reitet er fort | halbnah | Lärm aus der Menge, Knarren des Gerüsts und der Stricke | on |
| 178 | 1h 16m 16s | 27" | Boriska, Arbeiter | Boriska geht am Gerüst entlang, Meister und Arbeiter arbeiten, Boriska bleibt stehen und blickt nach oben | halbnah (B.) nah (B.) | Lärm aus der Menge, Knarren des Gerüsts und der Stricke | off | |
| 179 | 1h 16m 43s | 08" | die Glocke dreht sich im Kreis | Großaufnahme (Detail) | Knarren des Gerüsts | off | ||
| 180 | 1h 17m 51s | 11" | Arbeiter | vom Gerüst lassen sich Arbeiter an Stricken in die Grube herab | Totale | Murmeln aus der Menge | - | |
| 181 | 1h 17m 02s | 1' 08" | Gefolge des Metropoliten, Metropolit, Boriska | an der Glockengrube, vor dem Hintergrund der Menge das Gefolge des Metropoliten, dieser nähert sich der Glocke, Boriska läuft auf die Kamera zu, geht dann langsam um die Glocke herum und verläßt das Bild, der Metropolit und die Geistlichen kommen ins Bild, sie segnen die Glocke, Boriska kommt wieder ins Bild | Totale halbnah (B.) nah (B.) halbnah (Metro.) nah (B.) | Murmeln aus der Menge | on/off | |
| 182 | 1h 18m 10s | 41" | Volk, Großfürst, ausländische Gäste, Gefolge, Boriska, Meister, Stepan | die Menge schaut dem Schauspiel zu, der Großfürst und die ausländischen Gäste auf den Pferden, hinter ihnen ein zahlreiches Gefolge, im Vordergrund erscheint Boriska, er geht zu den Meistern, Stepan stößt Boriska an, dieser tritt zum Großfürsten und kniet nieder, Beine des Pferdes im Bild, Boriska steht auf, der Hauptmann reitet auf ihn zu, Boriska weicht zurück, im Hintergrund die Meister | Totale (GF.+Gef.) halbnah (B.) halbtotal (B.) Totale (GF.) nah (B.) | Murmeln aus der Menge | off/on | |
| 183 | 1h 18m 51s | 1' 19" | Boriska, alter Meister, Gießer | Boriska und der alte Meister stehen bei der Glocke, ein kräftiger Gießer geht zur Glocke, er faß das Seil des Glockenknöppels und beginnt, es hin- und herzubewegen, die italienischen Gesandten unterhalten sich | nah (B.+P.) halbnah (B.+P.) halbtotal Totale (Gießer) | Knarren und Quietschen der Glocke, Murmeln aus der Menge | on | |
| 184 | 1h 20m 10s | 12" | Volk, Großfürst, Hauptmann, Gefolge, ital. Gesandte | im Vordergrund die Menge, der Großfürst und der Hauptmann, Schwenk über das Gefolge auf die italienischen Gesandten | halbnah/halbtotal | Italienische Unterhaltung, Knarren der Glocke | - | |
| 185 | 1h 20m 22s | 04" | Volk | das Volk schaut zu, im Vordergrund schaukelt der Glockenklöppel | halbtotal | Knarren der Glocke | - | |
| 186 | 1h 20m 26s | 09" | Schwenk über die Glocke auf ein Bild vom Hl. Georgij, dem Sieger | Großaufnahme (Detail) | Knarren der Glocke | - | ||
| 187 | 1h 20m 35s | 07" | Meister, Menschen | die Meister horchen aufmerksam auf die Glocke | halbnah | Knarren der Glocke | - | |
| 188 | 1h 20m 42s | 08" | Menschenmenge | vor dem Vordergrund der Menge schaukelt der Glockenklöppel | Großaufnahme (Detail) | Knarren der Glocke | - | |
| 189 | 1h 20m 50s | 09" | Boriska | Boriska horcht aufmerksam auf die Glocke, er setzt sich auf die Erde | halbnah | Knarren der Glocke | - | |
| 190 | 1h 20m 59s | 04" | Andrej | Andrej dreht sich um | Großaufnahme | erste Schlag der Glocke | - | |
| 191 | 1h 21m 03s | 14" | Närrin | im Vordergrund geht die Närrin vorbei, im Hintergrund die Menge | halbnah | Glockenschläge Lärm, Lachen und Schreie aus der Menge | - | |
| 192 | 1h 21m 17s | 35" | Boriska, Volk | Boriska sitzt auf der Erde, von allen Seiten hat die Menge die Glockengrube umringt, die Glocke schwebt über der Grube | von oben: Totale, Fahrt zurück auf weit | Schreie aus der Menge, Glockengeläut, und andere Glocken | - | |
| 193 | 1h 21m 52s | 29" | Boriska | Boriska geht über das Feld | weit | Glockengeläut, und andere Glocken | - | |
| 194 | 1h 22m 21s | 16" | Volk, Großfürst, Gefolge | Weg, das Volk liegt auf den Knien, der Großfürst und sein Gefolge reiten vorbei | von oben: Totale | Glockengeläut, und andere Glocken | - | |
| 195 | 1h 22m 37s | 1' 22" | Andrej, Menschen-gruppe, Boriska | Andrej tritt zu einer kleinen Gruppe von Leuten, diese gehen auseinander, Andrej geht zum Pfosten, auf der schmutzigen Erde liegt Boriska, Andrej beugt sich zu ihm und legt Boriskas Kopf auf seine Knie | Totale (A.) halbnah (A.) Totale | Glockengeläut, und andere Glocken, Weinen Boriskas | on | |
| 196 | 1h 23m 59s | 11" | Frau (Närrin), Junge | eine Frau (Närrin) erscheint, ein Junge führt ein Pferd | Totale | Glockengeläut, und andere Glocken, Weinen Boriskas | off | |
| 197 | 1h 24m 10s | 43" | Andrej, Boriska | Andrej und Boriska sitzen auf der Erde, Schwenk über Boriska auf ein verglimmendes Lagerfeuer | nah (B.+A.) | Glockengeläut, und andere Glocken, Weinen Boriskas | on | |
| 198 | 1h 24m 53s | 49" | erloschene Feuerstelle (Standbild) Überblendung "Thronender Christus" (Detail) Überblendung "Apostel" (Detail) | Großaufnahme (Standbild: Feuerstelle) | Stille, Beginn der Musik und des Gesanges | - | ||
| 199 | 1h 25m 42s | 07" | "Verkündigung" (Detail) | Großaufnahme | Musik und Gesang | - | ||
| 200 | 1h 25m 49s | 36" | "Apostel" (Detail) mit 1 Überblendung | Großaufnahme | Musik und Gesang | - | ||
| 201 | 1h 26m 25s | 22" | "Einzug in Jerusalem" (Detail) | Großaufnahme | Musik und Gesang | - | ||
| 202 | 1h 26m 47s | 14" | "Einzug in Jerusalem" (Detail: Eselin) | Großaufnahme | Musik und Gesang | - | ||
| 203 | 1h 27m 01s | 15" | "Geburt Christi (Detail: Magier) Überblendung "Geburt Christi" (Detail: Engel) | Großaufnahme | Musik und Gesang | - | ||
| 204 | 1h 27m 16s | 27" | "Thronender Christus" | Totale | Musik und Gesang | - | ||
| 205 | 1h 27m 43s | 20" | "Verklärung" (Detail) Überblendung "Verklärung" (Detail: Apostel Petrus) | Großaufnahme | Musik und Gesang | - | ||
| 206 | 1h 28m 03s | 03" | "Erweckung des Lazarus" (Detail) | halbnah | Musik und Gesang | - | ||
| 207 | 1h 28m 06s | 06" | "Erweckung des Lazarus" (Detail) | Großaufnahme | Musik und Gesang | - | ||
| 208 | 1h 28m 12s | 16" | "Verkündigung" (Detail: Hl. Geist) Überblendung "Taufe Jesu" (Detail: Johannes der Täufer) | halbnah Großaufnahme | Musik und Gesang | - | ||
| 209 | 1h 28m 28s | 09" | "Erweckung des Lazarus" | Großaufnahme | Musik und Gesang | - | ||
| 210 | 1h 28m 37s | 14" | "Geburt Christi" | Großaufnahme | Musik und Gesang | - | ||
| 211 | 1h 28m 51s | 15" | "Geburt Christi" (Detail) | Großaufnahme | Musik und Gesang | - | ||
| 212 | 1h 29m 06s | 25" | "Dreieinigkeit" (Detail) | Großaufnahme | Musik und Gesang | - | ||
| 213 | 1h 29m 31s | 1' 54" | "Dreieinigkeit" (Details) mit 4 Überblendungen | Großaufnahme | Musik und Gesang | - | ||
| 214 | 1h 31m 25s | 17" | "Dreieinigkeit" | halbnah | Musik und Gesang | - | ||
| 215 | 1h 31m 42s | 56" | "Erzengel Michael" (Detail: Gesicht) Überblendung "Apostel Paulus" (Detail) Überblendung "Erlöser" (Detail: Kopf) es beginnt zu regnen | Großaufnahme | Ende der Musik, Gewitter mit Donner, Stille, zweiter Donner Regen setzt ein | - | ||
| 216 | 1h 32m 38s | 33" | Holz (einer abgeblätterten Ikone?) Überblendung eine verregnete Landschaft, am Ufer eines Flusses stehen 4 Pferde | Großaufnahme Totale | - | |||
| Teil II | 1h 33m 11s |
Anhang 2: Zeitachse zum Film Andrej Rublëv

Teil I
1 - 62

Teil I
63 - 109

Teil I
110 - 170

Teil II
1 - 86

Teil II
87 - 158

Teil II
159 - 216
Anhang 3: Zeitachse der Schl ußsequenz (Ikonen)

Zeitachse der Schlußsequenz (Ikonen)
Anhang 4: Andrej Rublëv - Handlungsabriß
[220] Der Film Andrej Rublëv besteht aus einem Prolog, 8 Episoden und einem Epilog.
[221] Im Prolog versucht ein Bauer mit einem Ballon zu fliegen. Er startet von einem Kirchendach aus, fliegt über weidende Rinderherden und Flüsse, stürzt aber schließlich ab.
[222] In der ersten Episode, "Ein Gaukler 1400", sind drei Mönche, Andrej Rublëv, Kirill und Daniil, auf dem Weg nach Moskau, um als Ikonenmaler Arbeit zu finden. Aufgrund eines starken Regengusses suchen sie in einer Scheune Zuflucht. In dieser Scheune tanzt ein Gaukler und singt Spottlieder über die Bojaren. Plötzlich wird der Gaukler von Soldaten verhaftet, zusammengeschlagen und abtransportiert. Die drei Mönche ziehen weiter.
[223] Die Episode "Theophanes der Grieche 1405"beginnt mit einem Gespräch von Kirill mit Theophanes, einem berühmten griechischen Ikonenmaler. Dieser will Kirill als Gehilfen für die Bemalung der Verkündigungskathedrale, der aber Bedingungen für seine Mitarbeit stellt. Letztlich wird Andrej dazu berufen, gemeinsam mit Theophanes diese Arbeiten durchzuführen. Da verläßt Kirill wütend und schimpfend das Kloster und geht in die "Welt" hinaus.
[224] In der dritten Episode, "Die Passion, wie Andrej sie erlebt 1406", sind Andrej, Theophan und der Gehilfe Foma unterwegs und führen religionsphilosophische Gespräche über die Vergänglichkeit des irdischen Lebens und die Eitelkeit der künstlerischen Träume. Im Lauf ihrer Wanderung kommen Theophanes und Andrej auf die Passion Christi zu sprechen. Während des Gesprächs wird die im russischen bäuerlichen Milieu angesiedelte Passion dargestellt.
[225] In der anschließenden Episode, "Feiertag 1408", beobachtet Andrej nächtens ein heidnisches Fest, bei dem Männer und Frauen nackt mit Fackeln durch Wiesen und Wälder laufen. Dabei wird er gefaßt und an einen Holzmast gebunden. Eine Frau namens Marfa kommt zu ihm, küßt ihn und läßt ihn wieder frei. Daraufhin streift Andrej die ganze Nacht durch die Gegend; am Morgen kehrt er suchend zum Dorf zurück, geht dann aber wieder zu seinen Leuten, die an einem Flußufer auf ihn warten. Während der folgenden Bootsfahrt beobachten Andrej und sein Gefolge eine Verfolgungsjagd, in der Krieger und ein Mönch zwei "Heiden", u.a. Marfa, zum Fluß treiben; die Frau kann sich schwimmend in Sicherheit bringen.
[226] Die fünfte Episode, "Das Jüngste Gericht Sommer 1408", die letzte des ersten Teils, ist geprägt durch das Unvermögen Andrejs, ein Jüngstes Gericht zu malen. Er möchte nicht durch seine Bilder die Menschen verängstigen und seine Kunst nicht zum Machtmißbrauch einsetzen. Darüber spricht er mit Daniil, während sie an einem Weg entlang von Getreidefeldern gehen. Währenddessen verläßt Foma aus Verdrossenheit über die nicht vorangehende Malerei die Arbeitsstätte, um einen anderen Auftrag anzunehmen. Außerdem wird in dieser Episode die Blendung bzw. Ermordung der Steinmetze und Baumeister dargestellt: Der Großfürst erteilt seinem Hauptmann Stepan den Auftrag dazu, nachdem die Steinmetze, die gerade einen Palast für ihn fertiggestellt hatten, verkündet haben, daß sie vom Bruder des Großfürsten den Auftrag für einen noch größeren und schöneren Palast bekommen haben. Die Schlußsequenz dieser Episode zeigt erstmals die Närrin, die während eines Gewitters Schutz in der Kathedrale sucht.
[227] In der darauffolgenden Episode, "Der Überfall 1408", steht der Tatareneinfall in Vladimir im Mittelpunkt. Der Bruder des Großfürsten verbündet sich mit dem Tatarenanführer und gemeinsam stürmen und zerstören ihre Truppen die Stadt des Großfürsten, der nicht anwesend ist. Es werden auch Andrejs Gehilfen Pjotr und Foma getötet; als ein Krieger versucht, die Närrin zu vergewaltigen, tötet ihn Andrej. Nachdem der Überfall vorbei ist steht Andrej fassungslos in der zerstörten Kathedrale; die Närrin hockt am Boden und flechtet die Haare einer Toten zu einem Zopf. Da erscheint Theophanes, und Andrej beschließt nach dem Geständnis seiner Tat (den Mord eines Russen), keine Ikonen mehr zu malen und Gott ein Schweigegelöbnis abzulegen.
[228] Die siebente Episode, "Das Schweigen 1412", spielt im Andronnikov-Kloster, dem Heimatkloster Andrejs. Kirill erbittet vom Vorsteher die neuerliche Aufnahme ins Kloster, da man in der "Welt" nicht ohne Sünde leben könne. Als während des kargen Winters Tataren ins Kloster kommen und Fleisch an die Hunde verfüttern, eilt die Närrin hin, um auch etwas Eßbares zu erwischen. Die Tataren machen sich über sie lustig, doch einer will sie zur Frau nehmen. Als der schweigende Andrej sie zurückhalten will, spuckt ihm die Närrin ins Gesicht und reitet mit den Tataren fort.
[229] Die achte und letzte Episode, "Die Glocke 1923", handelt von der Herstellung einer Glocke. Der Großfürst läßt im ganzen Land nach Glockengießern suchen, doch sind die meisten von ihnen an der Pest gestorben. Nur Boriska, der Sohn eines Glockengießers, gibt vor, das Geheimnis des Glockengusses zu kennen: Obwohl er es nicht wirklich weiß, schafft er es dennoch, eine wohlklingende Glocke zu gießen. Andrej beobachtet während der Arbeiten den leidenschaftlichen Einsatz des Jungen, und als er am Tag der Einweihung den wunderbaren Klang dieser Glocke hört, faßt er den Beschluß, wieder Ikonen zu malen und gemeinsam mit Boriska zum Dreifaltigkeits-Kloster zu gehen und dort zu arbeiten.
[230] In den letzten Einstellungen, dem Epilog, werden Details aus den Meisterwerken des historischen Andrej Rublëv gezeigt. Der Film schließt mit einer Einstellung, in der Pferde in einer Flußlandschaft im Regen stehen.
Anhang 5: Filmographie
Die Dampfwalze und die Violine [KATOK I SKRIPKA]
UdSSR 1960. Produktion: Mosfilm. Regie: Andrej Tarkovskij. Buch: Andrej Mihalkov-Koncalovskij, Andrej Tarkovskij. Kamera: Vadim Jusov. Musik: Vjaceslav Ovcinnikov.
Darsteller: Igor Fomcenko (Sasa), V. Zamanskij (Sergej), Nina Arhangel`skaja (Mädchen), Marina Adzubej (Mutter)
Dauer: 46 Min., Farbe
Ivans Kindheit [IVANOVO DETSTVO]
UdSSR 1962. Produktion: Mosfilm. Regie: Andrej Tarkovskij. Buch: Vladimir Bogomolov, Mihail Papava; nach einer Erzählung von Vladimir Bogomolov. Kamera: Vadim Jusov. Musik: Vjaceslav Ovcinnikov.
Darsteller: Kolja Burljaev (Ivan), Valentin Subkov (Cholin), E. Sarikov (Gelzev), S. Krylov (Katassonov), Nikolaj Grin`ko (Grjaznov), V. Maljavina (Masa)
Dauer: 97 Min., S/W
Andrej Rublëv
UdSSR 1966. Produktion: Mosfilm. Regie: Andrej Tarkovskij. Buch: Andrej Mihalkov-Koncalovskij, Andrej Tarkovskij. Kamera: Vadim Jusov. Musik: Vjaceslav Ovcinnikov.
Darsteller: Anatolij Solonizyn (Andrej Rublëv), Ivan Lapikov (Kirill), Nikolaj Grin`ko (Daniil), Nikolaj Sergeev (Theophanes), Irma Rausch (Närrin), Nikolaj Burljaev (Boriska), Jurij Nazarov (Großfürst/sein Bruder der Fürst), Mihail Kononov (Foma)
Dauer: 185 Min., S/W, Farbe
Solaris [SOLJARIS]
UdSSR 1972. Produktion: Mosfilm. Regie: Andrej Tarkovskij. Buch: Friedrich Gorenstein , Andrej Tarkovskij; nach dem Roman Solaris von Stanislav Lem. Kamera: Vadim Jusov. Musik: Eduard Artemjev, Johann Sebastian Bach.
Darsteller: Donatas Banionis (Kris Kelvin), Natalja Bodarcuk (Kary Kelvin), Jurij Jarvet (Snaut), Anatolij Solonizyn (Sartorius), Nikolaj Grin`ko (Vater von Kris)
Dauer: 167 Min., Farbe
Spiegel[ZERKALO]
UdSSR 1974. Produktion: Mosfilm. Regie: Andrej Tarkovskij. Buch: Aleksandr Misarin, Andrej Tarkovskij. Kamera: Georgij Rerberg. Musik: Eduard Artemjev, Johann Sebastian Bach, Purcell, Pergolese.
Darsteller: Margarita Terehova (Mutter und Natalja), Alla Demidova (Kollegin), O. Jankovskij (Vater), I. Danilcev (Aleksej), Nikolaj Grin`ko (männlicher Kollege), Jurij Nazarov (militärischer Ausbildner), Larissa Tarkovskaja (Frau des Doktors), Marija Tarkovskaja (Aleksejs Mutter als eine alte Frau), A. Solonizyn (Doktor)
Dauer: 108 Min., Farbe, S/W
Stalker
UdSSR 1979. Produktion: Mosfilm. Regie: Andrej Tarkovskij. Buch: Arkadij und Boris Strugackij; nach der Erzählung Picknick am Wegesrand. Kamera: Aleksandr Knjazinskij, N. Fudim, S. Naugol`nyh. Musik: Eduard Artemjev.
Darsteller: Alissa Frejndlih (Frau von Stalker), Aleksandr Kajdanovskij (Stalker), Anatolij Solonizyn (Schriftsteller), Nikolaj Grin`ko (Wissenschaftler), Natasa Abramova (Tochter Stalkers)
Dauer: 161 Min., Farbe, S/W
Nostalghia
Italien 1983. Produktion: Opera Film für RAI TV Rete 2. Regie: Andrej Tarkovskij. Buch: Andrej Tarkovskij, Tonino Guerra. Kamera: Guiseppe Lanci. Musik: Claude Debussy, Guiseppe Verdi, Richard Wagner.
Darsteller: Oleg Jankovskij (Gorcakov), Domiziana Giordano (Eugenia), Erland Josephon (Domenico), Petrizia Terreno (Gorcakovs Frau), Laura de Marchi (Frau), Delia Boccardo (Domenicos Frau), Milena Vukotic (Gemeindeangestellte), Alberto Canepa (Bauer)
Dauer: 130 Min., Farbe
Opfer [OFFRET]
Schweden/Frankreich 1985. Produktion: Schwedisches Filminstitut/Argos Films (Paris). Regie: Andrej Tarkovskij. Buch: Andrej Tarkovskij. Kamera: Sven Nykvist. Musik: Johann Sebastian Bach, schwedische und japanische Volksmusik.
Darsteller: Erland Josephson (Alexander), Susan Fleetwood (Adelaide), Valerie Mairesse (Julia), Allan Edwall (Otto), Gudrun Giseladottir (Maria), Sven Wollter (Victor), Tommy Kjellquiat (Jungchen)
Dauer: 149 Min., Farbe
Dokumentarfilme über ANDREJ TARKOVSKIJ
BAGLIVO, DONATELLA (Regie, Buch, Schnitt): Un poeta nel cinema.- Ciak Studio: Italien 1983, 65 Min.
BAGLIVO, DONATELLA (Regie, Buch, Schnitt): Andrej Tarkowskij in Nostalghia.- Ciak Studio: Italien 1984, 90 Min.
DEMANT, EBBO: Auf der Suche nach der verlorenen Zeit [Dieser Verweis stammt aus dem Artikel von Layla Alexander Der rätselhafte und geheimnisvolle Andrej Tarkowskij, in dem aber keine näheren Angaben zu diesem Film gemacht werden.]
LESZCZYLOWSKI, MICHAL (Regie, Buch): Directed by Andrej Tarkovskij.- Schwedisches Film Institut 1988, 101 Min.
SOKUROV, ALEXANDR (Regie, Buch): Moskovskaja Elegia [Moskauer Elegie].- UdSSR 1987, 87 Min.
Bibliographie
ALBERSMEIER, FRANZ-JOSEF: Texte zur Theorie des Films.- Stuttgart: Reclam 1995
ALEXANDER, LAYLA: Der rätselhafte und geheimnisvolle Andrej Tarkowski.- In: Sowjet Film 7 -9, 1989, jeweils S.32ff.
ANDREI TARKOWSKIJ. Reihe Film 39.- München/ Wien: Hanser 1987
ANDREW, DUDLEY: The Major Film Theories. An Introduction.- New York: Oxford University Press 1976
ANDREWS, NIGEL: Andrei Rublev.- In: Monthly Film Bulletin, Vol. 40, Nr. 477, Oct. 1973
ARNHEIM, RUDOLF: Film als Kunst.- München: Hanser 1974
ASTORIA: Wiederaufführung von Tarkowskis "Andrei Rubljow".- In: Neue Zürcher Zeitung, 22. Jän. 1987
BACHMANN, GIDEON: Begegnung mit Andrej Tarkowskij.- Filmkritik, Dez. 1962, S. 548-552
BAER, VOLKER: Visionen von menschlicher Einsamkeit. Zum Tode des russischen Filmregisseurs Andrej Tarkowskij.- In: Der Tagesspiegel, 30. Dez. 1986
BAHL, MARINA: Andrej Tarkovskij - Die Zone als Entwicklungsprozeß.- Diplomarbeit an der Universität Innsbruck 1993
BALÁZS, BÉLA: Schriften zum Film. 2 Bde.- Budapest: Akadémiai Kiadó/ Hanser/ Henschel 1982
BALÁZS, BÉLA: Der Film. Werden und Wesen einer neuen Kunst.- Wien: Globus 1976, 5.Aufl.
BAUM, MARLENE: Das Pferd als Symbol. Zur kulturellen Bedeutung einer Symbiose.- Frankfurt am Main: Fischer 1991
BAZIN, ANDRÉ: Was ist Kino? Bausteine zu einer Theorie des Films.- Köln: DuMont Schauberg 1975
BECKER, GERHOLD: Die Ursymbole in den Religionen.- Graz/ Wien/ Köln: Styria 1987
BECKER, WOLFGANG/ SCHÖLL, NORBERT: Methoden und Praxis der Filmanalyse. Untersuchungen zum Spielfilm und seinen Interpretationen.- Opladen: Leske+Budrich 1983
BEILENHOFF, WOLFGANG (Hg.): Poetik des Films. Deutsche Erstausgabe der filmtheoretischen Texte der russischen Formalisten mit einem Nachwort und Anmerkungen.- München: Fink 1974
BENJAMIN, WALTER: Das Kunstwerk im Zeitalter seiner technischen Reproduzierbarkeit. Drei Studien zur Kunstsoziologie.- Frankfurt am Main: Suhrkamp Sonderausgabe 1996
BIEGER, ECKHARD: Was ist die religiöse Dimension in Tarkowskijs Filmen Annäherungen an die Bildkompositionen Andrej Tarkowskijs.- In: Film-Korrespondenz, Nr. 10, 12. Mai 1987, S. 8-10
BORDWELL, DAVID/ CARROLL, NOEL (eds.): Post-Theory. Reconstructing Film Studies.- Madison, Wisconsin: The University of Wisconsin Press 1996
CAVELL, STANLEY: The World Viewed. Reflections on the Ontology of Film.- Cambridge, Massachusetts: Harvard University Press 1979/ Enlarged Edition
CAVIGELLI, ZENO/ HAHN, JOHAN G./ HENKE, THOMAS u.a.:Aus Leidenschaft zum Leben. Film und Spiritualität.- Zürich: Benziger 1993
CHRISTIE, IAN: Raising the Shroud.- Monthly Film Bulletin, V. 54, Nr. 637, Februar 1987, S. 37-38
DANNOWSKI, HANS W.: Revolution und Religion. Eisenstein und Tarkovskij.- In: epd-Film, 2, Feb. 1987, S. 2-4
DANNOWSKI, HANS W.: Mythos und Remythisierung. Film, Philosophie und Theologie im Gespräch über mythische Erfahrung.- epd-Film, 1, Jan. 1987, S. 21-26
DELEUZE, GILLES: Das Bewegungs-Bild. Kino 1.- Frankfurt am Main: Suhrkamp 1990, 2. Aufl.
DELEUZE, GILLES: Das Zeit-Bild. Kino 2.- Frankfurt am Main: Suhrkamp 1991
DERMUTZ, GERHARD: Religiöse Elemente im Filmschaffen Andrej Tarkowskijs.- Diplomarbeit an der Universität Graz 1989
DJOMIN, VIKTOR: Andrej Tarkowski.- Sowjet Film, 3, 1983, S. 18-19 u. S. 26
DOTZAUER, GREGOR: Der Gott und die Gier. Die Tagebücher des Andrej Tarkowski.- In: Frankfurter Allgemeine Zeitung, 10. Okt. 1989
EISENSTEIN, SERGEJ: Das Dynamische Quadrat. Schriften zum Film.- Köln: Röderberg 1988
ENGELL, LORENZ: bewegen beschreiben. Theorie zur Filmgeschichte.- Weimar: Verlag und Datenbank für Geisteswissenschaften 1995
FEDOROWSKIJ, NATAN: Der Regisseur der Zeit: Andrej Tarkowksi.- FAZ-Magazin, 27. Jänner 1984
FREUNDE DER DEUTSCHEN KINEMATHEK EV (Hg.): Andrej Tarkowskij: "Andrej Rubljow". Filmtext und Dokumente.- Heft 41, Reprint, Juli 1969
FREUNDE DER DEUTSCHEN KINEMATHEK EV (Hg.): Materialien zu den Filmen von Andrej Tarkowskij.- Berlin: Juli 1988, 5., erw. Aufl.
GARTENBERG, JON: Glossary of Filmographic Terms.- Brüssel: Van Muysewinkel 1989, 2.Aufl.
GOULDING, DANIEL J. (ed.): Five Filmmakers. Tarkovsky, Forman, Polanski, Szabó, Makavejev.- Bloomington/ Indianapolis: Indiana University Press 1994
GREEN, PETER: Andrei Tarkovsky (1932 - 1986).- Sight & Sound, 2, spring 1987, S. 108-109
GREEN, PETER: Andrei Tarkovsky. The Winding Quest.- London: The Macmillan Press Ltd 1993
GREEN, PETER: Apocalypse & Sacrifice.- Sight & Sound, 2, spring 1987, S.111-118
GREEN, PETER/ GREEN, WALTRAUT: Schmales Oeuvre. Andrej Tarkowskij 1932-1986.- In: medium, Jan. - März 1987, S. 57f.
GREINER, ULRICH: Kunst? Schööön! Der Filmregisseur Andrej Tarkowskij und sein Buch "Die versiegelte Zeit".- In: Die Zeit, 7. Juni 1985
HICKETHIER, KNUT: Film- und Fernsehanalyse.- Stuttgart/ Weimar: Metzler 1996, 2., überarb. Aufl.
HOFMANN, WILHELM (Hg.): Sinnwelt Film. Beiträge zur interdisziplinären Filmanalyse.- Baden-Baden: Nomos 1996
H. Z.: Andrej Tarkowskij.- film-echo/ Filmwoche, Nr.1/2, 9. Jän. 1987, S.9
"Im Augenblick will ich kein Kind mehr sein". Pressekonferenz zum Film "Nostalghia" mit Andrej Tarkowskij.- Filmfaust, 38, März/ April 1984, S. 2-8
JENNY, KRISTIN: Andrej Tarkovskijs Bild von Frauen. Eine Analyse anhand der Filme "Der Spiegel" und "Nostalghia".- Diplomarbeit an der Universität Innsbruck 1995
JENNY, URS: Die Legenden gehen zu Ende. Bericht von den Filmfestspielen in Cannes.- Süddeutsche Zeitung, 23. Mai 1969
JEREMIAS, BRIGITTE: Politisches Scheinengagement. Viel Film in Cannes.- In: Frankfurter Allgemeine Zeitung, 22. Mai 1969
JOHNSON, VIDA T./ PETRIE, GRAHAM: The Films of Andrei Tarkovsky. A Visual Fugue.- Bloomington, Indianapolis: Indiana University 1994
JOKESCH, ALFRED: "Opfer". Realpräsenz im Film. Interpretationen zur Opferthematik im Werk Andrej Tarkowskijs.- Diplomarbeit an der Universität Graz 1993
J.R.T.: The Sacrifice.- Films and Filming, 384, September 1986, S. 43
JÜNGER, HANS-DIETER: Kunst der Zeit und des Erinnerns. Andrej Tarkowskijs Konzept des Films.- Ostfildern: Edition Tertium 1995
KANDORFER, PIERRE: DuMont´s Lehrbuch der Filmgestaltung. Theoretisch-technische Grundlagen der Filmkunde.- Köln: DuMont 1984
KANZOG, KLAUS: Einführung in die Filmphilologie.- München: Verlegergemeinschaft Schaudig/ Bauer/ Ledig 1991
KENEZ, PETER: Cinema and Soviet Society, 1917 - 1953.- Cambridge: University of Cambridge 1992
KENNEDY, HARLAN: Tarkovsky. A Thought in Nine Parts.- Film Comment, 3, May/June 1987, S. 44-46
KNILLI, FRIEDRICH/ REISS, ERWIN: Einführung in die Film- und Fernsehanalyse. Ein ABC für Zuschauer.- Steinbach bei Giessen: Anabas-Verlag Günter Kämpf KG 1971
KOCH, GERHARD R.: Der Mystiker der Kino-Bildwelten.- Frankfurter Allgemeine Zeitung, 30. Dezember 1986
KORTE, HELMUT/ FAULSTICH, WERNER (Hg.): Filmanalyse interdisziplinär. Beiträge zu einem Symposium an der Hochschule für Bildende Künste Braunschweig.- Göttingen: Vandenhoeck & Ruprecht 1991, 2. Aufl.
KRACAUER, SIEGFRIED: Theorie des Films. Die Errettung der äußeren Wirklichkeit.- Frankfurt am Main: Suhrkamp 1964
KUHN, MICHAEL/ HAHN, JOHAN G./ HOEKSTRA, HENK (Hg.): Hinter den Augen ein eigenes Bild. Film und Spiritualität.-Zürich: Benziger 1991
LAWTON, ANNA (ed.): The Red Screen. Politics, Society, Art in Soviet Cinema.- London/ New York: Routledge 1992
LAZAREV, VIKTOR N.: Die russische Ikone.- Zürich/ Düsseldorf: Benzinger 1997
LEBEDEWA, JULIA A.: Andrei Rubljow und seine Zeitgenossen.- Dresden: VEB Verlag der Kunst 1962
LEDEL, MICHAEL: In Memoriam Andrej Tarkowskij.- Filmfaust, 59, Mai/Juni 1987, S. 18-21
LE FANU, MARK: The Cinema of Andrei Tarkovksy.- London: British Film Institute 1987
LEM, STANISLAW: Solaris.- München: dtv 1995, 10. Aufl.
LESZCZYLOWSKI, MICHAL: A Year with Andrej.- Sight & Sound, 4, autumn 1987, S. 282-284
LINHART, PAULA: Zur Umkehr geöffnet und ermutigt? Gedanken zum Tarkowskij-Seminar in München.- In: Film-Korrespondenz, Nr. 3, 3. Februar 1987, S. 6f.
LUKÁCS, GEORG: Schriften zur Literatursoziologie. Werkauswahl Band 1.- Neuwied am Rhein/ Berlin-Spandau: Luchterhand 1961
MATUSEVICH, VLADIMIR B.: Tarkovsky´s Apocalypse.- In: Sight & Sound, 1, winter 1980/81, S. 8f.
METZ, CHRISTIAN: Sprache und Film.- Frankfurt am Main: Athenäum 1973
MITCHELL, TONY: Tarkovsky in Italy.- Sight & Sound, 1, winter 1982/83, S. 54-56
MONACO, JAMES: Film verstehen. Kunst, Technik, Sprache, Geschichte und Theorie des Films.- Reinbek bei Hamburg: Rowohlt 1980
MONTAGU, IVOR: Man and Experience: Tarkovsky´s World.- Sight & Sound, 2, spring 1973, S. 89-94
NOWELL-SMITH, GEOFFREY (ed.): The Oxford History of World Cinema.- Oxford/ New York: Oxford University Press 1996
ONASCH, KONRAD: Ikone. Kirche. Gesellschaft.- Paderborn/ München/ Wien: Schöningh 1996
ONASCH, KONRAD: Lexikon Liturgie und Kunst der Ostkirche. Unter Berücksichtigung der alten Kirche.- Berlin/ München: Union 1993
ONASCH, KONRAD: Das Problem des Lichtes in der Ikonenmalerei Andrej Rublevs. Zur 600-Jahrfeier des großen russischen Malers 1960.- Berlin: Akademie-Verlag 1962
ONASCH, KONRAD/ SCHNIEPER, ANNEMARIE: Ikonen. Faszination und Wirklichkeit.- Freiburg/ Basel/ Wien: Herder 1995
OPL, EBERHARD: Das filmische Zeichen als kommunikationswissenschaftliches Phänomen.- München: Ölschläger 1990
PANFLIKOW, GLEB: In Memoriam "Zum Andenken an unseren Kollegen Tarkowskij".- Filmfaust, 59, Mai/Juni 1987, S. 22-23
PASUTO, V.G.: "Vozrozdeonnyi Rublëv" [Der wiedergeborene Rublëv].- Iskusstvo kino, 5, 1964, S. 159f.
PETRIC, VLADA: Tarkovsky´s Dream Imagery.- Film Quarterly, 2, 1989/90, S. 28-34
PROKOP, DIETER (Hg.): Medienforschung. Bd. 3. Analysen, Kritiken, Ästhetik.- Frankfurt am Main: Fischer 1986
QUENOT, MICHEL: Die Ikone. Fenster zum Absoluten.- Würzburg: Echter 1992
RATSCHEWA, MARIA: Die messianische Kraft der Bilder. Über Andrej Tarkowski.- In: medium, Okt. 1981, S. 39-41
RIEPL, HEIDI: Die Symbolik in den Filmen von Andrej Tarkowskij.- Diplomarbeit an der Universität Salzburg 1990
ROSENBAUM, JONATHAN: Inner Space.- Film Comment, 4, July/August 1990, S. 57-62
ROTH, WILHELM/ THIENHAUS, BETTINA (Hg.): Film und Theologie. Diskussionen, Kontroversen, Analysen.- Frankfurt am Main: Gemeinschaftswerk der Evangelischen Publizistik e.V. (GEP)/ Stuttgart: Steinkopf 1989
ROTHSCHILD, THOMAS: Glaube, Demut, Hoffnung (Hoffnung). Zur Kritik des Tarkowskij-Kults.- In: medium, Jan.-März 1987, S. 59-61
SCHNÖTZINGER, ARNOLD: Mit den Augen schreiben. Filmkritik als interdisziplinäres und kommunikatives Handeln.- Diplomarbeit an der Universität Salzburg 1990
SCHRADER, PAUL: Transcendental Style in Film. Ozu, Bresson, Dreyer.- New York: Da Capo 1972
SERGEJEW, VALERIJ: Das heilige Handwerk. Leben und Werk des Ikonenmalers Andrej Rubljow.- Freiburg/ Basel/ Wien: Herder 1991
SILBERMANN, ALPHONS/ SCHAAF, MICHAEL/ ADAM, GERHARD: Filmanalyse. Grundlagen - Methoden - Didaktik.- München: Oldenbourg 1980
STRICK, PHILIP: Releasing the Balloon, Raising the Bell.- Monthly Film Bulletin, Vol. 58, Nr.685, February 1991, S. 34-37
STRUGATZKI, ARKADI/ STRUGATZKI, BORIS: Picknick am Wegesrand. Utopische Erzählung.- Frankfurt am Main: Suhrkamp 1981
SURKOWA, OLGA: Ein Gigant des russischen Films. Andrej Tarkowskij im Gespräch mit Olga Surkowa.- Filmfaust, 59, Mai/Juni 1987, S. 24-35
TARKOVSKIJ, ANDREJ: "O kinoobraze" [Über das Bild im Kino].- Iskusstvo kino, 3, 1969, S. 80-93
TARKOVSKY, ANDREI: Andrei Rublev.- London: Faber and Faber Limited 1991
TARKOWSKIJ, ANDREJ: Andrej Rubljow. Die Novelle.- Berlin: Limes 1992
TARKOWSKIJ, ANDREJ: Hoffmanniana.- München/ Paris: Schirmer-Mosel 1988
TARKOWSKIJ, ANDREJ: Martyrolog. Tagebücher 1970 - 1986.- Berlin: Limes 1989
TARKOWSKIJ, ANDREJ: Martyrolog II. Tagebücher 1980 - 1986.- Berlin: Limes 1989
TARKOWSKIJ, ANDREJ: Der Spiegel. Novelle, Arbeitstagebücher und Materialien zur Entstehung des Films.- Berlin: Limes 1993
TARKOWSKIJ, ANDREJ: Die versiegelte Zeit. Gedanken zur Kunst, zur Ästhetik und Poetik des Films.- Frankfurt am Main/ Berlin: Ullstein 1991
TARKOWSKI, ARSENI: Auf der anderen Seite des Spiegels.- Berlin: Volk und Welt 1990
TAYLOR, RICHARD/ CHRISTIE, IAN (eds.): Inside the Film Factory. New Approaches to Russian and Soviet Cinema.- London/ New York: Routledge 1991
TAYLOR, RICHARD/ SPRING, DEREK (eds.): Stalinism and Soviet Cinema.- London/ New York: Routledge 1993
TUROWSKAJA, MAJA J./ ALLARDT-NOSTITZ, FELICITAS: Andrej Tarkowskij. Film als Poesie - Poesie als Film.- Bonn: Keil 1981
VERNADSKY, GEORGE: A History of Russia. III. The Mongols and Russia.- New Haven: Yale University 1953
VINOKUROVA, TATJANA: "Hozdenie po mukam 'Andreja Rublëva'" [Der Leidensweg des "Andrej Rublëv"].- In: Iskusstvo kino, 10, 1989, S. 63-76
WIESNER, INGEBORG: Andrej Tarkovskij. Faszination durch Komposition. Das Zeicheninventar in den Filmen von Andrej Tarkovskij.- Dissertation an der Universität Salzburg 1988
WILKENING, ALBERT/ BAUMERT, HEINZ/ LIPPERT, KLAUS (Hg.): Kleine Enzyklopädie. Film.- Leipzig: VEB Bibliographisches Institut 1966
WIMMER, OTTO/ MELZER, HARTMANN: Lexikon der Namen und Heiligen.- Innsbruck/ Wien/ München: Tyrolia 1982, 4., erw. Aufl.
WUSS, PETER: Die Tiefenstruktur des Filmkunstwerks. Zur Analyse von Spielfilmen mit offener Komposition.- Berlin: Henschel 1990, 2.Aufl.
WUSS, PETER: Kunstwert des Films und Massencharakter des Mediums. Konspekte zur Geschichte der Theorie des Spielfilms.- Berlin: Henschel 1990
ZEHM, GÜNTER: Bilder, die wie Wirklichkeiten sind. Poet und Erneuerer des russischen Films: Zum Tode von Andrej Tarkowskij.- In: Die Welt, 30. Dez.1986
ZIBAWI, MAHMOUD: Die Ikone. Bedeutung und Geschichte.- Solothurn/ Düsseldorf: Benziger 1994